Библиотечный комплекс. Международный университет природы, общества и человека "Дубна"

Р.И. Образцова, П.Г. Кузнецов, С.Б. Пшеничников

 

ИНЖНЕРНО-ЭКОНОМИЧЕСКИЙ АНАЛИЗ
ТРАНСПОРТНЫХ СИСТЕМ

Методология проектирования
автоматизированной системы управления

 

 

ОГЛАВЛЕНИЕ

 

Предисловие

Предисловие авторов

ЧАСТЬ 1. МЕТОДОЛОГИЧЕСКИЕ ОСНОВЫ ПРОЕКТИРОВАНИЯ АВТОМАТИЗИРОВАННОЙ СИСТЕМЫ УПРАВЛЕНИЯ ТРАНСПОРТОМ

Глава 1. Совершенствование системы управления транспортом

1.1. Точный учет имеющихся средств и их количественная оценка
1.2. Составление перечня недостаточно используемых технических средств
1.3. Выявление неполадок в системе управления
1.4. Разработка мероприятий по совершенствованию системы управления
1.5. Организация работ по реализации комплексных целевых программ

Глава 2. Цели системы транспортировки как подцели системы общественного производства

2.1. Превращение работы по изготовлению продукта в труд
2.2. Установление уровня производительной силы общественного труда
2.3. Темп роста производительности труда в системе общественного производства
2.4. Вычисление ежегодного процента на вложенный капиталл и "цена" изобретений, открытий и "ноу хау"

Глава 3. Измерение эффективности всеобщего труда в системе общественного производства

3.1. Всеобщий труд как категория творческого труда
3.2. Идея, замысел, проект - формы результатов всеобщего труда
3.3. Скорость доставки и потребная мощность транспортных средств
3.4. Поддержание транспортного потока на постоянном уровне
3.5. Абстрактная и конкретная мощность транспортных систем и технических средств

Глава 4. Количество, качество и мера в автоматизированных системах управления

4.1. Уравнения существования, применения и производства летательных аппаратов
4.2. Уравнение существования летательного аппарата
4.3. Связь между удельной мощностью и скоростью
4.4. Переход от одной нормы к другой. Перенормировка
4.5. Основы тензорной методологии Г. Крона
4.6. Обобщающие постулаты Г. Крона
4.7. Закон или мера при математическом описании реальных систем

 

Часть 2. КОНКРЕТНАЯ ПРОГРАММА СОВЕРШЕНСТВОВАНИЯ СИСТЕМЫ УПРАВЛЕНИЯ ЖЕЛЕЗНОДОРОЖНЫМИ ПЕРЕВОЗКАМИ

Глава 5. Точный учет и оценка имеющихся технических средств

5.1. Технические возможности и реальная величина транспортного потока
5.2. Разработка карты организационной обстановки
5.3. Предельные технические возможности
5.4. Связь эффективности с полнотой использования технических возможностей
5.5. Эффективность тяги и величина руководящего уклона

Глава 6. Методологические основы формирования комплексной целевой программы развития железнодорожного транспорта

6.1. План материально-технического снабжения как план перевозок
6.2. Система материально-технического снабжения как система установления связей
6.3. Автоматизация системы управления
6.4. Графическое представление плана в форме сетевой модели

Часть 3. СПИНОРНАЯ ТЕОРИЯ НЕЛИНЕЙНЫХ ТРАНСПОРТНЫХ СИСТЕМ

Глава 7. Уравнения транспортных сетей

7.1. Нелинейные транспортные системы и потребность в адекватном математическом аппарате
7.2. Линейное приближение транспортной задачи
7.3. Итерационные методы расчета транспортных сетей
7.4. Метод Эйлера-Сильвестра-Кронекера решения системы Уравнений
7.5. Пример восстановления линейности П.А.М. Дираком

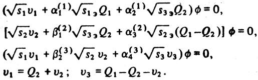
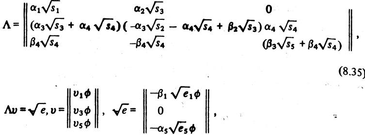
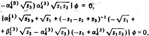
Глава 8. Спинорное восстановление линейности систем нелинейных Уравнений

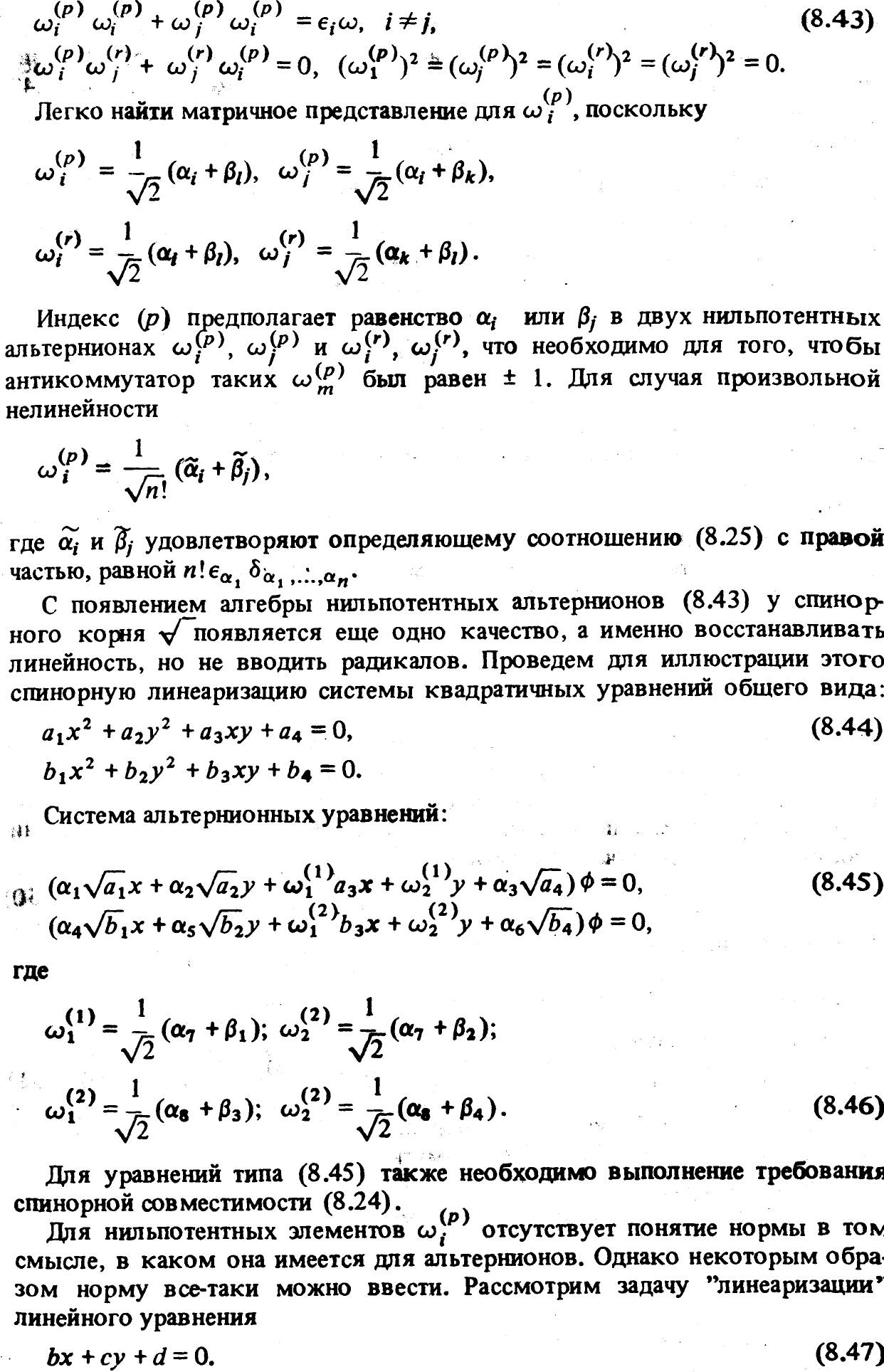
8.1. Алгебра альтернионов и многомерные спиноры
8.2. Альтернионный метод исключения неизвестных в системах нелинейных алгебраических уравнений
8.3. Нелинейная диакоптика
8.4. Исключение неизвестных в системах уравнений, описывающих нестационарные режимы транспортных сетей

Приложение 1. Сравнительная транспортная мощность технических средств и их связь с абстрактной мощностью

Приложение 2. Система СПУТНИК

Процедуры в системе СПУТНИК
Планирование в системе СПУТНИК
Управление в системе СПУТНИК

Приложение 3. Технические средства отображения в системе СКАЛАР-2

 

 

ПРЕДИСЛОВИЕ

Представляя читателям данную работу, считаю важным высказать следующие соображения.

Во-первых, правильный и точный выбор критериев эффективности функционирования любой сложной технической или организационной системы составляет важнейшее условие современной научной методологии ее проектирования, анализа и оценки. То, что критерии следует искать в социально-экономической сфере, убедительно показано в этой книге, и экономические обобщения в ней отнюдь не являются чужеродным элементом: они обеспечивают нацеленность инженерно-экономического анализа на формулирование, а также выявление путей достижения конечной цели организационно-управляющей деятельности. При этом даже не столь важно, создается ли автоматизированная информационно-управляющая система для отраслей промышленного производства или транспорта или речь идет о совершенствовании "безмашинных" компонентов хозяйственного механизма.

Во-вторых, центральная идея книги состоит в формулировании таких показателей качества транспортной системы, которые были бы соизмеримы с показателями (или легко приводимы к ним) затрат общественно полезного труда на создание и развитие этой системы. Минимизируя номенклатуру этих показателей и опираясь на их ясный физический смысл, авторы существенно расширяют возможности количественного обоснования и выбора организационных решений при формировании и проведении в жизнь генеральных планов развития транспортной системы страны.

Наконец, в-третьих, в книге разумно и взвешенно определена роль машинной поддержки решений, принимаемых руководителями. Это обстоятельство оказывается существенным, поскольку и по сей день распространены подходы к проектированию автоматизированных систем управления как к средству, спасающему от всех бед.

В книге представлен широкий спектр проблем, волнующих сегодня руководителей народнохозяйственных объектов, экономистов и специалистов по управлению. Конечно, не все они достаточно глубоко проработаны, но первый шаг сделан - читатель получил оригинальное и плодотворное исследование.

Академик В. С. Семенихин

 

 

ПРЕДИСЛОВИЕ АВТОРОВ

Применение вычислительной техники открывает большие возможности в совершенствовании управления общественным производством, которые в настоящее время используются далеко не полностью. Поскольку вычислительная машина обрабатывает только те данные, которые в нее вводят, от качества вводимых данных и зависит эффективность ее использования. От разработчика информационных систем требуются ответы на вопросы, касающиеся экономической науки и теории научного управления обществом в целом. Причем ответы должны иметь форму, понятную не только человеку, но и вычислительной машине.

Такими вопросами являются:

1. Что такое рост производительности труда как объективный закон исторического развития?

2. Как измеряется уровень производительности труда в системе общественного производства в целом?

3. Как измеряется темп роста производительности труда в системе общественного производства?

4. Как измеряется влияние конкретных решений на темпы роста производительности труда в системе общественного производства?

Чтобы ответить на первый вопрос, вспомним, что каждая социально-экономическая формация характеризуется по отношению к предыдущей более высоким темпом роста производительности труда. Таким образом, наиболее общий закон исторического развития может формулироваться как закон возрастания темпа роста производительности труда в системе общественного производства.

Наш ответ на второй вопрос состоит в том, что уровень производительности труда определяется энергопотреблением на душу населения.

Вопрос об измерении темпа роста производительности труда является ключевым. Здесь мы имеем дело с единицами измерения: вместо учета всех реальных промышленных мощностей и степени их использования учет ведется опосредованно через систему цен, которые могут расти "быстрее", чем растет реальный прирост мощности. Прямой учет реальных мощностей и их полное использование ведет к увеличению и фондоотдачи, и темпов роста производительности труда. Все физические мощности измеряемы и могут быть поставлены на учет имеющимися средствами вычислительной техники. Решение любого руководителя приводит к тому, что имеющиеся мощности используются либо полностью, либо не полностью. Анализ причин, по которым те или иные мощности не используются тем или иным руководителем, дает возможность судить о качестве руководства. Из всего сказанного следует, что темп роста производительности труда определяется полнотой использования всех без исключения производственных мощностей. Это и есть ответ на третий вопрос.

Вопрос о влиянии конкретных решений на темп роста производительности труда лежит за рамками существующих методик определения срока окупаемости, так как ответ на вопрос о том, когда страна вернула вложенные средства, не может рассматриваться как ответ на вопрос о темпе роста производительности труда. Вычисление темпа роста возможно лишь после окончания срока окупаемости. Определение "времени удвоения" вложенных средств или "времени удвоения" энерговооруженности на душу населения и может рассматриваться как ответ на четвертый вопрос.

Использование машинных информационных систем будет в наибольшей степени способствовать совершенствованию управления отраслями народного хозяйства только в том случае, если в качестве критерия эффективности экономики используется темп роста производительности труда в системе общественного производства в целом.

Наличие четкого критерия эффективности экономики дало возможность правильно поставить и решить вопрос о соизмерении затрат и результатов в системе транспорта. Введены новые характеристики - "транспортная мощность" и "транспортная работа", полученные из закона движения. Показателем транспортной работы является полученная в данной монографии единица измерения "тран". Для перехода к новой единице измерения (трану) традиционная единица измерения работы на транспорте тонно-километры нуждается в поправочном коэффициенте, который пропорционален квадрату скорости доставки.

Сравнивая фактически используемую транспортную мощность, выраженную в транах в час, с мощностью всего парка технических средств, мы можем судить о полноте его использования. В практических решениях, ориентированных на более полное использование всего парка технических средств, проявляется стремление руководителей к увеличению фондоотдачи, т. е. такие решения оказываются ориентированными на увеличение темпа роста производительности труда во всей системе общественного производства.

Использование новой единицы измерения дает возможность соизмерить транспортные услуги различных транспортных министерств, производительность как старой, так и новой техники, что открывает путь к разработке долговременной комплексной программы развития транспорта. Об этом и говорится во второй части монографии; Для решения транспортных задач с использованием предлагаемой единицы трана необходим адекватный математический аппарат, изложению которого и посвящена третья часть книги.

Учитывая новизну вопроса и большой круг еще не решенных проблем, o авторы рассчитывают, что имеющиеся недостатки настоящей работы будут исправлены при дальнейшем формировании указанного направления. Данную работу можно рассматривать лишь как более точную формулировку задач, подлежащих решению, но не само их решение. Авторы заранее благодарят читателей за возможные советы и критику, которые помогут в их дальнейшей работе.

 

ЧАСТЬ 1

МЕТОДОЛОГИЧЕСКИЕ ОСНОВЫ ПРОЕКТИРОВАНИЯ АВТОМАТИЗИРОВАННОЙ СИСТЕМЫ УПРАВЛЕНИЯ ТРАНСПОРТОМ

Проектирование и внедрение машинных информационных систем, ориентированных на повышение уровня управления различными областями общественного производства, стало профессиональной деятельностью тысяч научных работников. В условиях, когда накоплен большой конкретный опыт проектирования автоматизированных систем управления, появление новой книги может быть оправдано только тем, что в ней рассматривается вопрос, который до сих пор не получил нужного научного освещения. Многолетняя работа авторов в области использования вычислительной техники в системах управления транспортом показала, что множество проблем проектирования сводится к решению одной - проблемы соизмерения затрат и результатов в системе общественного производства.

Попытка решения этой проблемы и составляет содержание настоящей работы. Пытаясь осмыслить проблему соизмерения затрат и результатов в системе транспортировки грузов, авторы обратили внимание на отсутствие связи между скоростью доставки грузов от поставщика к получателю и существующей единицей измерения результатов транспортного процесса - тонно-километром. Изучение этого вопроса привело к выводу о необходимости изменения методологии проектирования машинных информационных систем, ориентированных на проблемы транспортировки грузов.

В качестве конечной цели процесса проектирования был выбран важнейший показатель эффективности экономики в виде критерия - темпа роста производительности труда в системе общественного производства в целом. Комплекс машинных информационных систем на всех стадиях проектирования должен подчиняться одной и той же цели - способствовать более высокому темпу роста производительности труда в системе общественного производства. Конкретное решение в правильно спроектированной машинной системе управления должно оцениваться по его влиянию на темп роста производительности труда. В этом смысле всякая оптимизация осуществляется только по отношению к этому, а не какому-нибудь другому критерию.

Если в качестве конечной цели выбран другой критерий, то машинная система из информационной превращается в "дезинформационную". К сожалению, такое игнорирование важнейшего показателя эффективности экономики до сих пор встречается в отдельных разработках.

широкий круг проблем, связанных с установлением уровня производительности труда и с измерением темпа роста производительности труда, оказалось необходимым решить для установления правильного соотношения между затратами и результатами в системе транспортировки грузов. Особое внимание было обращено на возможность получения экономической оценки введения новой техники.

 

Гл ав а 1

СОВЕРШЕНСТВОВАНИЕ СИСТЕМЫ УПРАВЛЕНИЯ ТРАНСПОРТОМ

Основным направлением экономического развития нашей страны на современном этапе является повышение эффективности и качества общественного производства. В решении этой проблемы важное значение имеег наряду с ускорением научно-технического прогресса и улучшением технологии производства совершенствование систем и методов управления народным хозяйством.

Современное управление должно базироваться на знании объективных экономических законов и конкретных форм их проявления. Использование этих законов лежит в основе управления производством. Управление является одной из необходимых функций организованного общества, представляет собой сознательное воздействие на процесс труда для достижения высшей цели - обеспечения неуклонного подъема материального и культурного уровня жизни трудящихся. Производство по отношению к этой высшей цели выступает средством ее достижения. В вопросе о средствах и способах достижения поставленной цели на передний план выдвигаются задачи повышения эффективности общественного производства.

Транспорт - важная составляющая материально-технической базы общества. Без него невозможно современное производство. Он объединяет в единое целое многочисленные удаленные друг от друга районы страны и обеспечивает ее внешнеэкономические связи. Решение крупномасштабных экономических и социальных задач тесно связано с развитием и повышением эффективности всех видов транспорта.

По своему значению и роли в народном хозяйстве транспорт не уступает промышленности и сельскому хозяйству. Особенностью транспорта является то, что его "продукция", состоящая из перемещения грузов и людей, создается и потребляется одновременно. Транспортный процесс является обязательным продолжением любого производственного процесса, так как продукт, созданный в промышленности или сельском хозяйстве, только тогда готов к потреблению, когда он доставлен к месту назначения.

Связь транспорта с народным хозяйством определяется потребностями в перевозках, ресурсами, используемыми транспортом (живой труд, материалы, энергия, оборудование), а также объемом, структурой и качеством выполняемых перевозок. Транспорт оказывает прямое воздействие на конечные результаты труда во всех отраслях народного хозяйства. В нашей стране создана единая транспортная система, все отрасли которой планомерно развиваются в соответствии с потребностями народного хозяйства.

Различные виды транспорта (железнодорожный, морской, автомобильный, речной, воздушный, трубопроводный) должны согласованно функционировать как целостная общегосударственная система. Их единство предопределено общественной собственностью на средства производства, а успешное развитие - планированием, предусматривающим использование каждого вида транспорта на тех перевозках грузов и пассажиров, где это наиболее экономически целесообразно.

Ведущее место в транспортной системе СССР принадлежит железнодорожному транспорту. На его долю приходится около 61% грузооборота страны, около половины мирового железнодорожного грузооборота и почти четверть мирового пассажирооборота железных дорог.

В решении задачи совершенствования системы управления транспортом заметную роль должны выполнить машинные информационные системы. Тем не менее, как теперь стало очевидно, простая передача на вычис1итель-ные машины функции формирования машинных документов не дает нужного эффекта. Требуется более основательный анализ способов применения вычислительной техники в системе совершенствования всей стсте-мой управления транспортом. В настоящей работе мы намерены сосредоточить внимание на методологических основах успешного применения электронно-вычислительной техники в системе управления транспортам.

Одной из работ, в которой предлагается программа совершенствовавдя систем управления, является монография В.Г. Афанасьева, в которой автор пишет: "Оптимизация использования имеющихся научно-технических средств осуществляется последовательно, поэтапно. Первый этап - точный учет имеющихся средств и их количественная оценка. Второй этап - составление перечня неиспользуемых или недостаточно используемых средств, с тем чтобы оценить эффективность всех имеющихся технических возможностей. Третий этап работы по оптимизации состоит в выявлении неполадок в системе управления, сдерживающих оптимальное использование научно-технических средств. Четвертый этап - разработка мероприятий по совершенствованию системы управления, с тем чтобы устранить факторы, сдерживающие эффективное использование научно-технических средств. Заключительный этап - организаторская работа по реализации этих мероприятий".

Приведенный пример относится к оптимизации системы управления морским флотом, но как мы полагаем, может быть применен в системе управления железнодорожным транспортом. Последовательная реализация указанных этапов может рассматриваться как методологическая основа проектирования автоматизированных систем управления транспортом.

 

1.1. ТОЧНЫЙ УЧЕТ ИМЕЮЩИХСЯ СРЕДСТВ И ИХ КОЛИЧЕСТВЕННАЯ ОЦЕНКА

Начало работы по проектированию автоматизированных систем управления - это уяснение цели. Имеется многочисленная литература по программно-целевому планированию, которая посвящена составлению так называемых деревьев целей. Нам тоже необходимо некоторое дерево целей для точного учета имеющихся средств и их количественной оценки.

Рассматривая дерево целей не как цель, а как средство совершенствования системы управления, обратим внимание на основную функцию системы транспортировки грузов - перевозку. Точный учет имеющихся средств и их количественная оценка получатся только тогда, когда мы установим мощность соответствующей транспортной системы. В каких единицах измеряется мощность транспортной системы в целом?

ЦСУ СССР публикует сведения об объеме перевозок, выражая этот объем в тонно-километрах за год. Этот же объем перевозок, в форме средней величины, может быть приведен к одному часу работы транспортной системы. Таким образом, мы можем получить часовой объем перевозок всей транспортной системы. Необходимо установить максимально допустимый объем перевозок за один час. Эту величину для железнодорожного транспорта можно установить в предположении, что весь списочный состав транспортных средств исправен, полностью загружен, находится в пути с максимальной скоростью движения. Мы сделали три допущения, каждое из которых фактически не выполняется. Но мы и не устанавливаем фактический объем перевозок за один час, а устанавливаем предельную величину часового объема перевозок. Такой часовой объем перевозок возможен как предел, который мы и будем называть предельной технической возможностью анализируемой транспортной системы.

Техническая возможность транспортной системы, определяемая как произведение суммарной грузоподъемности всего списочного состава технических средств на техническую скорость их движения, может оказаться значительно больше пропускной способности железнодорожной сети. Используя известные данные о "среднем поезде" с грузоподъемностью нетто 1500 т, технической скоростью перемещения 50 км/ч и средним расстоянием между поездами 10 км, можно рассчитать, что на 130 тыс. км железнодорожной сети может быть в пути 13 тыс. поездов. Это дает величину технической возможности порядка 1 млрд т o км/ч. Поскольку число часов в году равно 8760, можно при этих условиях принять величину технической возможности, равной 8760 млрд т o км/год. Фактическая величина годового грузооборота является лишь некоторой долей от величины технической возможности.

Грузооборот в любой транспортной системе всегда может быть приведен к часовому грузообороту, что дает возможность для прямого сравнения фактического грузооборота с предельной технической возможностью транспортной системы. Например, предположим, что грузооборот железнодорожного транспорта составил 2274 млрд т o км/год, что составляет от приведенного значения технической возможности около 25%. Разрыв между технически возможным и фактическим объемом перевозок вызван некоторыми причинами. Это может быть вызвано тем, что средняя грузоподъемность поезда оказывается - меньше 1500 т, техническая скорость движения поезда меньше 50 км/ч, в пути находится меньше 13000 поездов.

Во всяком случае, приведенный пример расчета технической возможности железнодорожного транспорта еще не составляет действительно "верхнего предела", но является достаточно реальной величиной для измерения "пропускной способности" всей сети.

Часовой грузооборот может быть положен в основу дальнейшего анализа как базовая величина. Эта величина должна находиться под контролем руководителя любого транспортного ведомства как один из нескольких показателей.

Например, если годовой объем перевозок железнодорожным транспортом составляет 2 274 млрд ткм, то часовой объем равен около 260 млн т o км/ч. Этот часовой объем перевозок можно разделить на 26 железных дорог, что дает 10 млн т o км/ч на одну дорогу. Учитывая, что у нас имеется 170 отделений железных дорог, мы получим часовой объем на отделение порядка 600 тыс. т*км.

Взяв в качестве основного показателя часовой объем, мы можем на каждый час иметь величину "часового объема" по всем дорогам. Если эта величина начинает заметно отклоняться от заданной, то всегда имеется возможность установить, по каким именно железным дорогам фактически произошло снижение объема.

Такая "статистика" часового объема грузооборота может рассматриваться как исходная информация для обнаружения "узких мест" в системе управления транспортировкой грузов. Соответствующие службы получают возможность следить за правильностью использования имеющихся технических средств.

Фиксируя имеющиеся технические средства транспортировки грузов на всех уровнях управления, мы создаем основу единой информационной базы. Наша задача формулируется теперь так: как влияет каждый фактор (или параметр) на часовой грузооборот?

Фактически на железных дорогах осуществляется целый ряд других операций, влияющих на процесс перевозки. Наша задача состоит в выяснении как раз этого влияния. Для начала мы можем предположить, что любой из сопутствующих факторов может быть причиной неполного использования технических возможностей транспортных средств. Это означает, что вычисляя техническую производительность как своеобразный верхний предел, мы переходим к фактической часовой производительности, утрачивая часть технической возможности.

Приведенный расчет числа поездов - 13 000 для верхнего предела - приводит к максимальному количеству поездов на одно отделение - около 75 поездов с массой нетто 1 500 т, которые движутся со скоростью 50 км/ч. Фактическая величина, как отмечалось, составляет около 25%, поэтому поездов уже будет не 75, а только около 20.

Положим, что количество грузов, которое было перевезено за год, равно 2 700 млн т. Это приводит к "часовому объему" погрузочных работ, равному 310 тыс. т/ч. Очевидно, что такой же объем разгрузочных работ должен быть выполнен во всех отделениях железных дорог. Принимая что погрузка и выгрузка равны между собой (иначе будет иметь место накопление грузов), мы получаем требуемую мощность погрузочно-разгрузочных средств, равную 620 тыс. т/ч. Разделив эту величину на 170 отделений железных дорог, получим фактическую реализованную мощность порядка 3700 т/ч. Это означает, что на 20 фактических поездов на участке отделения дороги 1,25 состава находится под погрузкой и столько же под выгрузкой. Не представляет особого труда по техническим характеристикам погрузочно-разгрузочных средств найти их предельную производительность и оценить степень использования погруэочно-разгрузочных мощностей.

При расчетах следует руководствоваться одним и тем же принципом: любая основная или вспомогательная функция системы транспортировки грузов всегда ограничена производительностью технических средств. Эта величина подлежит определению для каждой операции. Отношение фактической производительности технических средств к их паспортной дает нам указание на полноту использования технических возможностей. Соизмеримость всех видов технических средств по производительности достигается их приведением к базовой величине - часовому объему перевозок. Сам часовой объем рассматривается как фактическая услуга транспорта всей системе общественного производства.

 

1.2. СОСТАВЛЕНИЕ ПЕРЕЧНЯ НЕДОСТАТОЧНО ИСПОЛЬЗУЕМЫХ ТЕХНИЧЕСКИХ СРЕДСТВ

Вся совокупность технических средств транспорта выполняет фактический объем перевозок. Эта совокупность в стоимостном выражении представляет собой фонды. Каждый факт, когда технические возможности этих средств оказываются не задействованными для фактического выполнения перевозки, мы будем квалифицировать как экономический фактор снижения фондоотдачи. Конкретные мероприятия по увеличению фондо-отдачи и являются мероприятиями по более полному использованию технических возможностей. Описанная предельная техническая возможность в экономическом смысле соответствует максимальной фондоотдаче. Если подвижной состав, который простаивает под погрузкой и выгрузкой, не находится в пути с технической скоростью, то это может рассматриваться как "дефект" в использовании подвижного состава. Экономическая эффективность здесь входит как альтернатива: либо увеличивать подвижной состав для увеличения объема перевозок, либо увеличивать мощность погрузочно-разгрузочных механизмов, которые сократят время простоя подвижного состава.

Что является более выгодным по отношению к росту часовой произвол дительности транспортной системы? Для ответа на поставленный вопрос мы должны будем прибегнуть к более тщательному экономическому анализу. Здесь же достаточно отметить, что погрузка и выгрузка подвижного состава - необходимые операции и их занесение в список "дефектов" не означает, что они вообще не нужны: они являются "дефектом" по отношению лишь к часовому объему перевозок. Подобного рода "дефектом" является неисправность технического средства, устранение которой связано с созданием весьма разветвленной ремонтной службы. Такую же роль играет другой "дефект" - неисправность пути, когда для ремонтных работ закрывается какой-то участок.

Указанная техническая производительность транспортных средств дает предельную часовую величину объема перевозок. Фактическая величина часового объема перевозок меньше предельной на величину суммы различных "дефектов". В рассмотренном примере часовой объем перевозок по железным дорогам был определен (по весьма скромной оценке) в 1 млрд т *км/ч. Фактический объем был равен 260 млн т o км/ч. Дополнением этого фактического объема до 1 млрд т - км/ч и является сумма "дефектов" в размере 740 млн т o км/ч. Где они "потерялись"? Как поставить эти "дефекты" под контроль машинной информационной системы?

Рис. 1. Номограмма зависимости часового объема перевозок от скорости

Ответы на эти вопросы и составят второй этап нашей работы.

Составим список этих "дефектов". В первую очередь к ним относятся простои подвижного состава под погрузкой и выгрузкой. Произведение грузоподъемности всего вагонного парка на техническую скорость движения поездов будет верхним пределом, который мы условно отождествили с объемом 1 млрд т * км/ч.

Суммируя простои каждого вагона под погрузкой и выгрузкой за год по всем вагонам и умножая на техническую скорость движения поезда, получим недостающий годовой объем перевозок по причине простоя под погрузкой и выгрузкой. Разделив эту величину на число часов в году 8760, получим потерю часового объема перевозок по причине простоя под погрузкой и выгрузкой.

Аналогичные сведения можно собрать о всех причинах простоя, но очень желательно иметь документ, в котором удобно представлять результаты такого анализа. Этот документ должен быть удобен для работы в министерстве, управлении железной дорогой, в каждом отделении железной дороги. Создание такого документа является обязательным компонентом правильного методологического подхода. Нам представляется такой документ в следующем виде: на оси ординат отложим логарифм грузоподъемности вагонного парка, по оси абсцисс - логарифм скорости. В таких координатах, например, точки пересечения логарифмов максимальных грузоподъемностей вагонных парков и логарифмов максимальных технических скоростей есть часовые объемы перевозок, соответствующих "предельным возможностям" (рис. 1).

Благодаря тому что в начале координат стоят соответствующие "единицы", логарифм которых равен нулю (1 млн т по оси ординат и 1 км/ч по оси абсцисс), шкала грузоподъемности технических средств является одновременно и шкалой часового объема в тонно-километрах в час. Это видно по линии, которая пересекает грузоподъемность вагонного парка, равную 20 млн т, и скорость 50 км/ч. Произведение этих величин 1 млрд т o км/ч и показывает на отметку 1000 млн т. На этой же номограмме представлен фактический объем перевозок (пунктирная линия), соответствующий часовому объему 260 млн т o км/ч. Пересечение этой линии с линией грузоподъемности дает точку, соответствующую скорости 13 км/ч. Скорость, полученная таким образом, соответствует понятию "удельная скорость транспортировки грузов на единицу грузоподъемности технических средств". Разница между технической скоростью (50 км/ч) и фактической "удельной скоростью на единицу грузоподъемности" (13 км/ч) равна 37 км/ч. Составление "дефектной ведомости" считается законченным, если нам удастся найти полную величину часового объема в 740 млн т o км/ч, что равносильно потери удельной скорости на 37 км/ч.

Недополученный за счет простоя вагонов под погрузкой и выгрузкой часовой объем можно положить равным 180 млн т * км/ч. Для перехода от этой величины к потере удельной скорости нужно часовой объем разделить на грузоподъемность вагонного парка - 20 млн т, получим 9 км/ч.

Другим "дефектом" может быть неисправность вагонного парка. Рассмотрим вагонный парк, который находится в ремонте. Умножив грузоподъемность вагона на число часов пребывания в ремонте и на техническую скорость, просуммировав полученную величину по всем вагонам, которые были в ремонте за год, и разделив полученную сумму на число часов в году, найдем потерю часового объема перевозок по причине ремонта. Предположим, что эта величина в нашем примере равна 200 млн т o км/ч. Разделив ее на общую грузоподъемность вагонного парка, получим потерю удельной скорости 10 км/ч.

Указанные "дефекты" нам дали потерю удельной скорости 19 км/ч, но общая потеря из-за всех "дефектов" нам известна - 37 км/ч. Надо искать вклад в потери от других факторов. Допустим, что у нас не хватает тяги, т. е. нет тепловозов или электровозов, поэтому вагоны простаивают. Правила расчета те же самые, что и в предыдущих случаях. Положим, потери часового объема из-за недостатка тяги составляют 30 млн т * км/ч. Пересчет в потерю удельной скорости дает нам еще 1,5 км/ч.

Подобный расчет дает величины потерь удельной скорости транспортировки грузов на единицу грузоподъемности технических средств и от других "дефектов", например от задержки на станции при переформировании поездов или по причине ремонта пути.

Мы видим, что составление "дефектной ведомости" предпринимается для полноты анализа работы транспортной системы. Важным фактором является то, что все величины выражаются через один и тот же показатель - уменьшение часового объема перевозок всей транспортной системой. Это дает возможность выделить более тонкую структуру организации производства в транспортной системе.

Посмотрим на нашу "дефектную ведомость" с другой стороны. Мы видели, что имеют место потери часового объема перевозок из-за простоя под погрузкой и выгрузкой. Не подлежит сомнению, что имеется подразделение, назначение которого сокращать такие потери. Выражая потери через величину удельной скорости, мы можем проследить по годам, что именно делается для сокращения пребывания вагонов под погрузкой и выгрузкой.

Рассматривая аналогично другие "дефекты", мы Можем следить по годам, как изменяются величины потерь удельной скорости из-за них. Удельная средняя скорость на единицу грузоподъемности в отличие от часового объема перевозок не зависит от общей грузоподъемности технических средств.

Обратим еще раз внимание на универсальный характер "дефектной ведомости": с ней можно работать и в министерстве, и в управлении железной дорогой. На разных дорогах, хотя и с различными значениями, проявляются те же самые "дефекты". Такое представление данных в "дефектной ведомости" делает все виды потерь грузооборота соизмеримыми, т. е. они приводятся к унифицированной единице измерения. Представление данных на номограмме (которая может выдаваться на дисплей) позволяет проводить детальную расшифровку как типа контролируемого дефекта, так и уровня управления: от министерства, через управление отдельной дорогой до отделения дороги. Нужная детальность представления указанных данных в машинной информационной системе определяется руководством министерства, для которого и делается соответствующая система управления.

Обычная ошибка разработчиков подобных систем - отсутствие двух указанных этапов разработки машинной информационной системы. Результатом является отсутствие единицы измерения, которая может использоваться в отдельной подсистеме и на разных уровнях системы управления.

 

1.3. ВЫЯВЛЕНИЕ НЕПОЛАДОК В СИСТЕМЕ УПРАВЛЕНИЯ

В самом процессе установления причин, по которым грузоподъемность технических средств используется неполностью, мы фактически создаем необходимую структуру управления. Каждая причина, по которой технические средства используются не полностью, порождает управленческую функцию. Таким образом, если мы хотим получить эффективную систему управления, то должны двигаться в нашем анализе от производства. Сам производственный процесс, рассчитываемый по верхнему пределу или по предельно достижимому техническому уровню, полностью предопределяет все функции проектируемой системы управления.

В этой главе мы только наметим общие функции в системе управления. Если бы мы не ввели такой показатель, как предельный часовой объем перевозок при данной грузоподъемности технических средств, то'не смогли бы определить величину влияния качества выполнения той или иной функции.

Выполняя нормировку часового объема перевозок на удельную скорость транспортировки грузов, разработчик системы управления дает основу для количественного описания результатов деятельности руководителей различных уровней. Это и является базой для объективной оценки качества руководства. Рассмотрим исходную характеристику - удельную скорость транспортировки грузов. В рассматриваемом примере она равна 13 км/ч. Будет ли она иметь то же значение по управлению железных дорог? Можно заранее сказать, что различные руководители дорог обеспечивают заметно отклоняющиеся величины. Можно ли на уровне министерства проследить изменение этого показателя с течением времени? Без всякого сомнения.

Мы не беремся обсуждать вопрос о том, является ли эта величина контролируемой на всех уровнях системы управления в железнодорожном транспорте (то же можно сказать и о других видах транспорта - морском, речном, автомобильном, авиационном, трубопроводном). Если взять справочник "Технико-экономические показатели эксплуатационной работы железных дорог" (М.: Транспорт, 1977), то обнаружим около 300 (!) показателей, каждый из которых, конечно, можно вычислять с помощью ЭВМ. Если такую таблицу показателей давать руководителям, то им некогда будет руководить!

Сокращая показатели до одного, мы обязаны "развертывать" этот один показатель с той степенью детальности, которая необходима на соответствующем уровне управления. Такое "развертывание" может быть получено регулярным путем, когда каждое уточнение, каждая конкретизация ориентированы на руководителя, от решений которого зависит изменение этого показателя.

Соотнесение функции каждого руководителя с соответствующим показателем использования технических средств в системе транспортировки грузов и является содержанием данного этапа работы по проектированию системы управления.

Не исключена ситуация, при которой за некоторые виды простоя технических средств некому отвечать. В этом случае мы встречаемся с так называемым организационным дефектом системы управления.

Работа на этом этапе завершается отнесением каждого вида "дефекта" к компетенции соответствующего руководителя системы управления.

 

1.4. РАЗРАБОТКА МЕРОПРИЯТИЙ ПО СОВЕРШЕНСТВОВАНИЮ СИСТЕМЫ УПРАВЛЕНИЯ

Результаты научных исследований служат основой совершенствования систем управления. Учеными предлагаются системы мероприятий - конкретные планы изменения показателей.

Вернемся к нашему примеру. Будем считать, что для увеличения объема перевозок на 10% нам понадобится увеличить на 10% объем технических средств, т. е. обеспечить увеличение грузоподъемности парка вагонов (в соответствии с примером) на 2 млн т и дополнительно приобрести еще и парк тепловозов и электровозов. Объем затрат на приобретение этого парка может быть оценен. При сохранении удельной скорости на единицу грузоподъемности 13 км/ч мы получим прирост объема перевозок на 10%. Можно сказать, что мы не стали принимать во внимание увеличение на 10% мощности погрузочно-разгрузочных механизмов.

Для указанного увеличения парка подвижного состава нам понадобятся какие-то капиталовложения. Примем эту величину равной 260 млн руб. Тот же самый эффект роста объема перевозок может быть получен, если удельная скорость на единицу грузоподъемности (за счет сокращения простоев) будет увеличена с 13 до 14,3 км/ч.

Теперь можно рассчитать стоимость прироста удельной скорости по всей сети железных дорог: прирост 1,3 км/ч = 1300 м/ч обходится 260 млн руб. Таким образом, стоимость увеличения удельной скорости на 1 м/ч по всей сети равна 200 000 руб.

В приведенном примере мы потеряли на всех "дефектах" 37 000 м/ч, а стоимость каждого "возвращенного" метра в час скорости соответствует 200 000 руб.

Мероприятия по совершенствованию системы управления отличаются от мероприятий по увеличению фонда технических средств (т. е. по увеличению грузоподъемности технических средств транспортировки грузов) тем, что они не предполагают изменения технических средств, а предполагают сокращение времени простоя технических средств. Значит, применение вычислительных машин и имеет своей конечной целью более интенсивное использование технических средств, что и измеряется ростом "скорости доставки", которую приводят к виду "удельной скорости" на единицу грузоподъемности технических средств.

На увеличение "удельной скорости" транспортировки грузов оказывают влияние отдельные мероприятия. Возникает задача - оценить это влияние.

Любая система мероприятий по совершенствованию системы управления может быть охарактеризована количественно - через увеличение удельной скорости транспортировки грузов. Это количественное выражение может быть сопоставлено с соответствующим увеличением фондов, что и позволяет оценивать целесообразность той или иной системы мероприятий.

Любая система мероприятий может быть представлена полным планом работ, который предполагает точное указание сроков и персональную ответственность каждого руководителя за порученное дело. Хорошее описание таких планов дано в работе В.Г. Афанасьева и B.C. Чеснокова.

Контроль и управление реализацией целевых программ целесообразно осуществлять с помощью ЭВМ. Использование вычислительной техники для контроля за ходом программы удобно, однако не следует забывать, что успех всякого дела определяется людьми.

 

1.5. ОРГАНИЗАЦИЯ РАБОТ ПО РЕАЛИЗАЦИИ КОМПЛЕКСНЫХ ЦЕЛЕВЫХ ПРОГРАММ

Рассмотренные этапы программы совершенствования системы управления являются необходимой предпосылкой большой организаторской работы. Описанный первый этап - установление предельной производительности имеющихся технических средств - дает возможность ввести понятие идеальной организации. При идеальной организации полностью используются все возможности технических средств, т. е. нет простоев оборудования. На языке экономики этому определению соответствует предельная величина фондоотдачи. Существующие системы управления складывались стихийно, под влиянием запросов практики. Некоторые элементы этих систем в настоящее время уже утратили смысл. Поскольку элементами систем управления являются люди, требуется максимум такта в процессах совершенствования системы и конструирования организационных механизмов.

Необходимо сразу отметить, что часть технических средств может оставаться неиспользуемой, так как особенность технологического процесса требует других пропорций технических средств (нельзя грузить уголь в цистерны и т. п.). Эта диспропорциональность технических средств может приводить к тому, что фактическая транспортировка груза занимает 15- 20% времени от момента сдачи груза до момента выдачи его получателю.

Основой анализа на первом этапе является понятие транспортного потока, т. е. фактического объема услуги транспортной системы народному хозяйству в единицу времени. Снижение транспортного потока может наблюдаться . в результате несвоевременной подачи грузов отправителями. Нарушение ритма работы промышленных предприятий может приводить к нарушению ритма работы и транспортной системы.

Составление полного перечня факторов, обусловливающих снижение производительности транспортной системы по причинам, которые лежат вне этой системы, является весьма важной работой. Эта работа исключает неверную оценку деятельности системы управления транспортом.

Значительно более трудным является формирование целей и критериев для самой системы управления. Основная функция руководителя-организатора - разработка плана, ориентированного на достижение поставленных целей. В условиях общественной собственности на средства производства и централизованного планирования вся экономика образует одно целое. Оценка деятельности любой подсистемы общественного производства оказывается связанной со всем общественным производством. Здесь требуется выводить цели подсистем из целей всей системы общественного производства.

Поскольку любая подсистема является лишь частью всей системы общественного производства, сама процедура целеполагания не вытекает и не следует из рассмотрения конкретной части системы общественного производства. Любая подсистема общественного производства является лишь средством для достижения целей общественного развития. Это означает, что организация работы внутри данной подсистемы, игнорирующая запросы общественного производства, может обернуться его дезорганизацией.

Значит, мы должны найти цели системы транспорта как подцели системы общественного производства.

 

Глава 2

ЦЕЛИ СИСТЕМЫ ТРАНСПОРТИРОВКИ КАК ПОДЦЕЛИ
СИСТЕМЫ ОБЩЕСТВЕННОГО ПРОИЗВОДСТВА

В системе общественного производства существует необходимость перемещения некоторых продуктов из одной части пространства в другую. Необходимость перемещения тех или иных продуктов определяется общественной целесообразностью. Во всех случаях перед общественным производством стоит проблема выбора: либо перевозить нужный продукт из другого места, либо производить на месте. Если местное производство требует больших затрат общественного труда, чем затраты общественного труда на перевозку и изготовление в другом месте, то принимается решение о целесообразности перевозки.

Рассматривая целесообразность перевозки с точки зрения системы общественного производства, мы стоим перед необходимостью сравнивать затраты общественного труда на изготовление предмета на месте и затраты общественного труда на перевозку с другого места изготовления. Для такого сравнения мы должны выразить то и другое в одних и тех же единицах. Если единицы измерения будут различны, то мы не сможем сравнить и дать ответ на вопрос, в каком случае затраты общественного труда будут больше. Не следует забывать, что мы должны передать правило вычисления общественной целесообразности (т. е. экономический расчет эффективности) вычислительной машине.

Использование вычислительной техники в нашей стране встретилось с целым рядом трудностей, связанных, в частности, с проблемами ценообразования. Экономический расчет, проведенный вычислительной машиной, выполняется до точности исходных данных. Исходными данными для такого расчета являются цены. Точность установления последних пока еще оставляет желать лучшего. Поэтому необходимо измерять уровень и темпы роста производительности труда в системе общественного производства, не используя цены (т. е. не затрагивая категорию стоимость).

В данной главе рассмотрим выведение целей в подсистеме транспортировки грузов и целей всей системы общественного производства как социально-экономической целостности.

 

2.1. ПРЕВРАЩЕНИЕ РАБОТЫ ПО ИЗГОТОВЛЕНИЮ ПРОДУКТА В ТРУД

В условиях планового ведения хозяйства и общественной собственности на средства производства акт признания работы по изготовлению продукта актом общественно полезной деятельности осуществляется планом. Если данная работа содержится в плане, то она, по определению, считается общественно полезной деятельностью. Отсюда следует, что если некоторое предприятие в плановом порядке производит продукт, который не удовлетворяет никакой общественной потребности, то мы имеем дело с дефектом планирования. Возможность возникновения дефектов планирования подтверждается и самим ходом общественного производства. Место, где этот вид дефекта планирования может быть легко обнаружен, - склад продуктов, не нашедших потребителя. Эти неходовые товары подвергаются уценке и реализуются (если это удается) по сниженным ценам.

Совершенствование планирования может начинаться с разбора каждого факта, когда от лица общества заказывается (в плановом порядке) производство тех изделий, в которых система общественного производства не испытывает действительной потребности. Анализ показывает, что эффективным средством для устранения этих дефектов планирования и являются системы управления на базе ЭВМ.

Одной из наиболее трудных проблем в совершенствовании планирования является проблема адекватного описания всей системы общественного производства. Наиболее распространенные экономико-математические модели были развиты на основе математических моделей динамических систем, используемых физиками. В работе Б.С. Разумихина* хорошо показано, что это математические модели, заимствованные из динамики голономных систем. Динамика голономных систем не охватывает тех классов динамических систем, в которых время входит в явном виде в связи или связи осуществляются не по координате, а по скорости. Эти связи по скорости, приводящие к динамике неголо номных систем, типичны для социально-экономических систем. Применительно к системе общественного производства эти связи могут быть сформулированы так: скорость изготовления любого продукта в системе общественного производства должна быть согласована со скоростью его общественного потребления. Любое рассогласование скорости выпуска и скорости общественного потребления сразу же дает наблюдаемый эффект в виде либо роста запаса, либо возникновения дефицита. Таким образом, и дефицит и запас - два проявления одной и той же причины - наличия дефектов планирования.

Рассмотренное положение о превращении работы по изготовлению продукта в труд, опирающееся на понятие плана как баланса скоростей выпуска и потребления продуктов, позволяет рассмотреть и более детально саму цель общественного производства. Этой целью является повышение темпа роста производительности труда в системе общественного производства. При согласовании скоростей выпуска и общественного потребления это дает максимальный темп роста скорости удовлетворения общественных потребностей. Но просто баланс скоростей выпуска и потребления еще не предполагает, что обеспечивается максимальный темп роста производительности труда. Каждый дефект плана, являющийся нарушением этого баланса, приводит к снижению темпов роста производительности труда в системе общественного производства.

Учитывая скромную задачу - рассмотрение методологии проектирования автоматизированных систем управления для транспорта, мы только кратко коснемся необходимых нам связей между общественным производством и транспортом.

 

2.2. УСТАНОВЛЕНИЕ УРОВНЯ ПРОИЗВОДИТЕЛЬНОЙ СИЛЫ ОБЩЕСТВЕННОГО ТРУДА

Время, необходимое на изготовление любого продукта, не остается постоянным: с развитием человеческого общества это время уменьшается. Если продукт остается тем же самым, а время, необходимое для изготовления, уменьшается, то существует еще некоторая характеристика общественного производства - производительная сила труда, которая с течением времени увеличивается. Эта производительная сила труда может расти стихийно, а может стать предметом научного анализа, и общество может сознательно управлять темпом ее роста. Для сознательного управления темпом роста производительной силы труда нам необходимо установить, что это такое.

Поскольку производительная сила труда присутствует в любом трудовом акте, для выяснения сущности или субстанции производительной силы мы можем выбрать любой трудовой процесс, включающий и внеэкономическую категорию работы в физическом смысле. Не каждая работа в физическом смысле является трудом, а только такая работа по изготовлению продукта, которая удовлетворяет общественную потребность. Для любого производственного процесса существует теоретический предел необходимых затрат энергии. Определение этой теоретической величины является необходимой предпосылкой для определения производительной силы труда.

Поскольку время для выполнения данной работы поддается измерению, то величина производительной силы труда измеряется отношением теоретически необходимой затраты энергии ко времени, в течение которого выполняется данная работа. Поскольку отношение энергии ко времени есть мощность, то измерение производительной силы труда должно осуществляться в единицах мощности.

Теперь мы можем перейти к математической записи производительной силы труда в любом технологическом процессе.

Производительная сила труда есть скорость выполнения работы, или скорость выпуска продукта. Ее двойственный характер состоит в том, что она является конкретной производительной силой, измеряется в единицах скорости выпуска продукта в натуральных единицах и в то же время она является абстрактной производительной силой, так как измеряется мощ-. ностью, вычисляемой из теоретически необходимых затрат энергии. Хотя эти два проявления и отличаются друг от друга, но они оба проявления одной и той же субстанции.

Конкретная производительная сила труда известна под названием "производственная мощность". Мы говорим о производственных мощностях, характеризуя их возможной скоростью выпуска конкретной продукции, например установка по синтезу аммиака мощностью 40 000 т в год; производственная мощность металлургического комбината, которая равна выпуску 5 млн т стали и 4 млн т чугуна в год.

Производственные мощности транспортных предприятий выражают возможный объем перевозок в тонно-километрах за год. Это выражение, как будет видно из последующего рассмотрения, является некоторым приближением к действительности, но не совпадает точно с понятием производительной силы труда в транспортных системах. Рассогласование вызвано тем что для определения конкретной производительной силы мы должны убедиться, что она выражена со своей абстрактной стороны в единицах физической мощности.

Ффактическая конкретная производительная сила любого производственного процесса при использовании для выпуска продукта всегда потребляет некоторую мощность. Казалось бы, что эта мощность может представлять абстрактную производительную силу. Но это не так. Каждый процесс преобразует в продукт только часть потребляемой мощности. По этой причине между потребляемой физической мощностью и абстрактной производительной силой существует связь, которая указывает, что абстрактная производительная сила труда составляет некоторую долю от потребляемой мощности. Эта доля определяется как произведение фактической величины потребляемой мощности на обобщенный коэффициент полезного действия, или на обобщенный коэффициент совершенства технологии. Точное установление абстрактной производительной силы труда требует вычисления теоретически необходимых затрат энергии на выпуск данного продукта.

Если такой расчет выполнен, то каждый продукт может быть представлен в двух формах: конкретной и абстрактной работы. Представление продукта в форме конкретной работы есть описание единицы продукта: тепловоз, электростанция, гвоздь, электрическая лампочка. За каждым продуктом "скрыта" и его абстрактная работа - число киловатт-часов, - теоретически необходимая на изготовление единицы проудкта. В этом случае мы можем записать:

1 тепловоз = 6 млн кВт *ч

1 электростанция =12 млрд кВт* ч

1 гвоздь = 0,1 кВт *ч

1 электрическая лампочка = 5 кВт*ч.

Если тепловозов выпускается 50 штук в год, то со своей абстрактной стороны это составляет 300 млн кВт *ч/год. Принимая для всех скоростей выпуска продукции единицу времени один час, мы можем вычислить часовую производственную мощность тепловозостроительного завода;

300 млн кВт* ч: 8760 ч = 34 000 кВт.

В этих условиях фактическая величина потребляемой мощности тепловозостроительным заводом может быть равна 150000 кВт. Тогда коэффициент совершенства технологии будет равен 34000:150000 = 0,23. На выпуск одного тепловоза предприятию требуется время, равное 6000000:34000=186ч.

Подобного рода расчет может быть выполнен и для другой продукции.

Если конкретные вещи - тепловоз, электростанцию, гвоздь - можно увидеть, потрогать руками, то абстрактный компонент необходимых затрат энергии на их изготовление можно лишь вычислить.

Введение абстрактной производительной силы труда позволяет описывать скорость выпуска всех видов продукции в одних и тех же единицах измерения - единицах потребляемой мощности.

Принимая за "единицу" абстрактную работу по изготовлению 1 электростанции, мы можем написать ряд равенств:

1 электростанция = 2000 тепловозов =120 млрд гвоздей = 2,4 млрд электрических лампочек.

Рассмотренная нами, необходимая для изготовления предмета, теоретическая затрата энергии, связанная в форме определенного продукта, потребляется при использовании предмета. Этот процесс потребления, сопровождающийся снашиванием предмета, при условии нормальной эксплуатации протекает в течение некоторого времени, которое можно назвать расчетным, или гарантийным, сроком службы предмета. Любой названный предмет - тепловоз, электростанция, гвоздь или электрическая лампочка - обладает таким расчетным, или гарантийным, сроком службы. Увеличение этого расчетного срока службы в обыденной жизни принято называть качеством продукта. Известно, что изменение таких характеристик, как ходимость шин или надежность двигателя, есть изменение качества соответствующих изделий. Мы указывали, что плановое хозяйство обладает возможностью согласовывать скорость выпуска каждого продукта со скоростью его общественного потребления. Это достигается тем, что для удовлетворения одной и той же общественной потребности при повышении качества продукции необходимо уменьшить скорость выпуска той же продукции.

Связь общественного производства по скоростям предполагает контроль со стороны общества как за временем изготовления предмета, так и за временем его использования. Одной из фундаментальных является проблема определения (вычисления) рационального времени использования предмета. Несколько ниже, после завершения вопроса об измерении уровня производительной силы общественного труда, мы вернемся к вопросу о рациональном сроке службы изделия.

Зафиксировав для каждого производственного процесса теоретически необходимые затраты энергии на изготовление единицы продукта, мы имеем возможность любой производственный процесс охарактеризовать ско-oростью выпуска продукта двояким образом: в форме натурального выражения (число штук в час, число тонн в час, число литров в час и т.д.) и в абстрактной форме - в форме полезной мощности.

Обозначим величину теоретически необходимого расхода энергии на единицу продукта через Аi (t), а фактические затраты энергии на изготовление этого же самого продукта через Bi(t). Обобщенный коэффициент полезного действия машины, механизма, технологической установки, т.е. обобщенный коэффициент совершенства используемой технологии производства данного продукта, определяется отношением

(2.1)

С другой стороны, зная фактическую величину потребляемой мощности соответствующей машиной, механизмом, технологическим процессом Ni(t), мы можем определить конкретную производительность данного процесса, характеризующуюся конкретной скоростью выпуска продукта, разделив фактическую величину потребляемой мощности на фактические затраты энергии на единицу данного продукта:

(2.2)

где Кi(t) - конкретная скорость выпуска продукции в натуральном измерении (штук в час, тонн в час и т.д.).

Таким образом, любой производственный процесс может быть записан в унифицированной форме: производственная мощность, определяемая из фактической мощности, потребляемой технологическим процессом, равна конкретной скорости выпуска i-го продукта, умноженной на величину фактических затрат энергии на единицу i-го продукта:

(2.3)

Выражение (2.3) показывает, что если техническая мощность оборудования используется не полностью, то фактическая скорость выпуска продукции в силу постоянства фактических затрат энергии на единицу продукции уменьшается. Этот факт известен как неполное использование производственной мощности. Его экономическим следствием является падение фондоотдачи.

С другой стороны, в выражении (2.3) можно заменить фактические затраты энергии на единицу продукции теоретически необходимыми. В этом случае мы получим выражение вида

(2.4)

Приведенное выражение показывает, что при той же самой величине потребляемой мощности выпуск продукции в натуральном выражении может быть увеличен лишь при условии, что увеличивается обобщенный коэффициент совершенства технологии. Эта связь становится особенно наглядной, если обобщенный коэффициент совершенства технологии пере" нести в правую часть выражения (2.4) :

(2.5)

Произведение фактически потребляемой мощности на обобщенный коэффициент совершенства технологии дает полезную мощность, которая воплощается в конкретной скорости выпуска продукта. Обратим внимание на размерность используемых величин - правая часть дает нам абстрактную мощность, которая выражается в скорости выпуска данного продукта. В левой части мы имеем ту же самую мощность, которая (если игнорировать множитель теоретически необходимых затрат энергии) имеет вид конкретной мощности, выраженной через скорость выпуска продукции в натуральном измерении.

Теперь мы имеем унифицированную форму записи, где скорость выпуска любого продукта представляется одновременно в виде конкретной и абстрактной мощности.

Мы отмечали, что условия планового хозяйства предполагают согласовав ние скорости выпуска каждого продукта со скоростью его потребления! Если скорость выпуска /-го продукта совпадает с традиционным представлением о валовом выпуске, то скорость реализации продукта по отношению к скорости выпуска может составлять лишь некоторую часть. Это отношение скоростей реализации продукта и его выпуска характеризует социальный коэффициент полезного действия, или коэффициент качества плана:

(2.6)

где €i(t) - коэффициент качества плана; li(t) - скорость реализации i-го продукта; Ki(t)- скорость выпуска i-го продукта.

Заменяя в выражении (2.5) скорость выпуска продукта отношением скорости его реализации к коэффициенту качества плана, имеем

(2.7)

Если в выражении (2.7) коэффициент качества плана перенести в правую часть, то получим выражение для скорости реализации i-го продукта, т.е. выражение для скорости удовлетворения общественной потребности в i-м продукте. Таким образом, скорость удовлетворения общественной потребности в i-м продукте может быть записана для любого продукта общественного производства в виде

(2.8)

Рассматривая все общественное производство как целое, можно говорить о скорости удовлетворения всех общественных потребностей общества как о сумме скоростей удовлетворения отдельных, частных, общественных потребностей:

(2.9)

где n - число процессов в системе общественного производства.

Обратим внимание на тот факт, что за счет коэффициента качества плана при суммировании скоростей выпуска продукта выделяется только та часть выпуска общественного продукта, которая идет на удовлетворение общественной потребности. Этот факт и дает возможность говорить о скорости удовлетворения общественных потребностей. В этом случае мы записываем не формальный выпуск продукции, который известен под названием "вал", а только ту его часть, которая идет на удовлетворение общественных потребностей. С учетом сказанного выражение (2.9) принимает вид

(2.10)

где Xi(t) - скорость выпуска i-го продукта, согласованная со скоростью его общественного потребления; ni (t) - обобщенный коэффициент полезного действия; €i(t) - коэффициент связи с общественным производством.

Полученное выражение для скорости удовлетворения общественных потребностей можно отнести к "совокупному рабочему", т.е. к числу лиц, занятых в системе общественного производства, М (t):

(2.11)

где п(t) - уровень производительности труда в системе общественного производства.

По отношению к величине п(t) и действует объективный закон общественного развития - закон роста производительности труда в системе общественного производства.

Приведенное описание, опирающееся на отдельные производственные процессы, не очень удобно для описания общественного производства как целого. Для такого описания удобно использовать понятия, которые введены в монографии* М.И. Гвардейцева с соавт. Эти понятия являются базовыми для любой подсистемы общественного производства. К ним относятся:

1. Потенциальная возможность общественного производства, которая определяется как суммарное энергопотребление (мощность) во всей системе общественного производства:

(2.12)

Величина S1(t) доступна прямому измерению для топливно-энергети-ческого баланса всей системы общественного производства.

2. Техническая возможность общественного производства, которая определяется как сумма произведений мощности на обобщенный коэффициент полезного действия машин и механизмов:

(2.13)

3. Экономическая возможность, или скорость удовлетворения общественных потребностей, ранее представленная в соотношении (2.10) :

(2.14)

Приведенные понятия могут быть представлены следующими соотноше ниями. Рассмотрим отношение технической возможности к потенциальньиу возможностям общества. Это отношение характеризует среднее по общест венному производству качество технологии, т.е. своеобразный обобщенный коэффициент полезного действия всех машин и механизмов:

(2.15)

Очевидно, что в отдельных отраслях промышленности такой коэффициент характеризует совершенство технологических процессов.

Отношение скорости удовлетворения общественных потребностей к технической возможности общественного производства дает коэффициент совершенства общественной организации. Этот коэффициент и может рассматриваться как коэффициент качества плана:

(2.16)

С использованием этих укрупненных показателей системы общественного производства выражение для уровня производительности труда принимает вид

(2.17)

Темп роста производительности труда в системе общественного производства и может быть надежно определен изменением уровня производительности труда.

Поскольку само понятие производительность труда относится к системе общественного произ1водства в целом, то можно говорить об относительной производительности труда в той или иной подсистеме общественного производства. Физический выпуск продукции еще не означает роста производительности труда, так как это может быть выпуск продукта, который не обеспечен общественным потребителем. Связность, целостность всей системы общественного производства и учитывается коэффициентом качества плана.

 

2.3. ТЕМП РОСТА ПРОИЗВОДИТЕЛЬНОСТИ ТРУДА
В СИСТЕМЕ ОБЩЕСТВЕННОГО ПРОИЗВОДСТВА

Для любой социально-экономической системы существует максимально возможный темп роста производительности труда, который зависит как от внешних, так и от внутренних факторов.

Поскольку темп роста производительности труда является темпом роста скорости удовлетворения общественных потребностей, то мы можем сказать, что каждое решение в любой области экономики оказывает некоторое влияние на темпы роста производительности труда в системе общественного производства. Установить связь между ними - основная проблема оценки эффективности принимаемых решений.

Уровень производительности труда в системе общественного производства в целом дается выражением (2.17). Абстрактное выражение закона роста производительности труда следующее:

(2.18)

Это символическая запись утверждения: производительность труда в системе общественного производства не уменьшается с течением времени.

Что же является причиной того, что производительность труда увеличивается с течением времени. Такой причиной является сам труд. Но труд есть не что иное, как исторический процесс совершенствования орудий труда. Каждое усовершенствование орудий труда, каждое усовершенствование системы общественного производства есть рождение нового, акты творчества, которые сами являются трудом, но трудом всеобщим. Всеобщим трудом являются научный труд, открытия, изобретения. Он обусловливается частью кооперацией современников, частью использованием труда предшественников. Однако процесс "материализации" изобретений ограничивается лишь теми изобретениями, которые обеспечивают повышение темпа роста производительности труда выше некоторой минимальной грани.

Оценка эффективности изобретений вычисляется в форме "ожидаемого процента на вложенный капитал". Можно показать, что связь "ожидаемого процента на вложенный капитал" и темпа роста производительности труда состоит в том, что "средневзвешенный" процент на вложенный капитал по всем капиталовложениям в системе общественного производства и является той величиной, которая дает темп роста производительности труда. Введем в рассмотрение величину темпа роста производительности труда в системе общественного производства, используя выражение (2.17). Положим, что темп роста производительности труда в системе общественного производства постоянный и равен Р процентов в год. Получим выражение

(2.19)

где п(tn) - производительность труда в системе общественного производства через п лет; п(to) - производительность труда в системе общественного производства в исходном (нулевом) году; tn- to - временной интервал между наблюдаемой величиной и исходным годом.

Это выражение довольно громоздко и не очень удобно для оценок. Гораздо удобнее использовать введенную М.И. Гвардейцевым с соавт. величину - время удвоения: "Ежегодный процент роста производительности труда и время, за которое уровень производительности труда увеличивается вдвое, относятся к одному и тому же явлению, поэтому между ними можно установить некоторую зависимость. Если темп роста производительности труда остается постоянным, то между "временем удвоения" и ежегодным темпом роста существует приближенная зависимость: произведение величины ежегодного темпа роста в процентах и "времени удвоения" есть величина приблизительно "постоянная" (с точностью ± 5 процентов) и равна 72"*.

В этом случае выражение (2.19) принимает вид

(2.20)

Величина (tn -to) есть время, за которое производительность труда в системе общественного производства становится в 2 раза больше. Именно это время и называется "время удвоения". Связь между ежегодным темпом роста производительности труда и "временем удвоения", вычисляемая по уравнению (2.20), может быть следующей:

 
Р, %/год Время удвоения, лет
2
10
20
35
7,3
3,8

Составляя парные произведения из ежегодного темпа роста и времени удвоения, можно заметить, что хотя ежегодный темп роста изменяется в 10 раз, тем не менее парные произведения весьма мало отличаются от средней величины 72. Полученное выражение "среднего" произведения ежегодного темпа роста на время удвоения и может быть использовано для быстрой оценки значимости изобретений. Если время удвоения 12 лет, то вычисляемый темп роста производительности труда 72 : 12 = 6% в год.

Общее "время удвоения" в конкретных капиталовложениях в подсистемах общественного производства является суммой из трех характерных времен: время строительства; срок окупаемости; время наработки на "второй рубль".

Принимая время строительства - 3 г., срок окупаемости - 4 г. и время наработки на второй рубль - 5 лет, мы получим сумму 12 лет, что и соответствует темпу роста производительности труда 6% в год. Увеличение этих характерных времен в 2 раза даст в 2 раза меньший темп роста производительности труда.

Обратим внимание на тот факт, что правило расчета темпа роста производительности труда в системе общественного производства и правило конкретного вычисления - одно и то же. Постоянство правил вычисления на всех уровнях экономической системы и является признаком согласованности критериев различных уровней.

Планируемый по народному хозяйству темп роста производительности труда в системе общественного производства является тем ориентиром, которым пользуются руководители всех уровней во всех отраслях народного хозяйства. Этот же самый критерий правила расчета положен в основу единого алгоритма оценки эффективности капиталовложений и новой техники во всех машинных системах, обеспечивая единство оценки всех решений.

Выводя критерий эффективности решений из интересов народного хозяйства, мы можем им уверенно пользоваться и в системе управления транспортом, не попадая в ловушку местнических и ведомственных интересов. Только имея такое единство представления общественного производства и можно говорить о методологических основах проектирования автоматизированной системы управления той или иной подсистемой.

 

2.4. ВЫЧИСЛЕНИЕ ЕЖЕГОДНОГО ПРОЦЕНТА НА
ВЛОЖЕННЫЙ КАПИТАЛ И "ЦЕНА" ИЗОБРЕТЕНИЙ, ОТКРЫТИЙ И "НОУ ХАУ"

Объективные законы общественного развития, действуя помимо воли и желания отдельных лиц, преломляются в сознании предпринимателя как требование: вкладывать капитал только в те области общественного производства, которые гарантируют наиболее высокий ежегодный процент.

Рассмотрим поведение абстрактного предпринимателя с неявным предположением, что он относится к категории "самых умных". Тот предприниматель, который окажется менее умным, рано или поздно будет устранен в конкурентной борьбе. "Умный" предприниматель составляет план капиталовложения. Этот комплексный план сам состоит из нескольких частей, каждая из которых является планом. В первом приближении составляется шесть планов: план строительства; план продаж; план эксплуатации при исправном оборудовании; план выхода из строя оборудования (план надежности); план текущего ремонта; план ликвидации дела.

Совокупность этих шести планов и позволяет предпринимателю вычислить ожидаемый ежегодный процент на вложенный капитал. Для удобства рассмотрения этих шести планов мы дадим график, в котором будет представлено шесть различных функций времени, за каждой из которых и стоит план. Этот график представлен на рис. 2. Первый план, который на графике будет представлен как "скорость затрат", является планом строительства. Он начинается в момент времени to и идет ниже оси абсцисс. Интегральная величина всех затрат на строительство предприятия и срок окончания строительства определяются этим планом. Для упрощения расчетов мы представим вычисляемую величину ежегодного процента на вложенный капитал в виде

где продаж - кумулятивная (накопленная) сумма всех продаж; затрат - кумулятивная (накопленная) сумма всех затрат; - время от начала капиталовложений.

Рис. 2. График функции "ежегодный процент на вложенный капитал"

Если теперь по завершении плана строительства попытаться вычислить "ожидаемый ежегодный процент на вложенный капитал", то мы убедимся, что этот процент, имеет отрицательное значение! Но процесс планирования капиталовложения на этом этапе не окончен.

Вступает в действие второй план - план продаж. Исходя из предельной производительности установленного оборудования (а за каждую единицу производительности уже уплачены деньги - это означает, что оборудование должно использоваться по проектной производительности, иначе резко упадет фондоотдача!) и из допустимой цены продукта, получим график продаж, который представлен прямой, параллельной оси абсцисс. Этот график включает в себя первый вид "предпринимательского риска": может случиться так, что данный продукт не будет иметь спроса на рынке и его придется продавать по более низкой цене (если вообще это будет возможно). С учетом этого и проводится прямая скорости продаж.

Третий план рассматривается при условии исправного оборудования. Здесь в расчет принимается как стоимость сырья и энергии для производственного процесса, так и стоимость рабочей силы. Здесь мы встречаемся со вторым видом "предпринимательского риска" - может случиться так, что изменятся цены на сырье и энергию или изменятся требования персонала к оплате труда.

Поскольку никакое оборудование не может работать бесконечно долго без поломок, то требуется составить четвертый план - план вероятных отказов оборудования. Здесь предприниматель обращается за научной консультацией к специалистам по надежности, которые с достаточно высокой вероятностью дают ему сведения о темпе нарастания поломок и потребности в замене оборудования, т.е. сведения о необходимых запасных частях.

Используя данные по надежности оборудования, о необходимых заменах и сведения о нужной рабочей силе для ремонта оборудования, предприниматель составляет план ремонтных работ.

Совместное рассмотрение всех пяти планов позволяет найти на графике функции "ежегодный процент на вложенный капитал" точку на оси времени, когда ежегодный процент на вложенный капитал переходит от возрастания к убыванию. В этой точке и вступает в действие шестой план - план ликвидации производства.

Каждому виду плана действий сопоставлена та или иная функция времени, и сами номера представленных функций соответствуют номерам элементов общего плана.

Допустим, что считается приемлемым вкладывать капитал в "дело", если оно дает 8% на вложенный капитал, что в пересчете на "время удвоения" означает 9 лет. Однако при некоторых изобретениях ожидаемое время удвоения может быть заметно меньше: встречаются и такие изобретения, которые дают "время удвоения" порядка 3 лет, что соответствует ежегодному проценту на вложенный капитал 24%/год. Если объем капиталовложений в такое предприятие составляет 10 млн долл., то предприниматель может выпустить акций на фонды своего предприятия не на 10, а на 30 млн долл. и на каждую акцию платить по 8% годовых. В этом случае наблюдается возникновение "фиктивного капитала" в размере 20 млн долл. Этот фиктивный капитал и образует "цену" использованного изобретения - он возник как результат всеобщего труда, который совершен изобретателем, а присваивается предпринимателем. Если изобретателю в этом случае уплатили за патент 200 тыс. долл., то он получил только один процент от того, что досталось собственнику средств производства. Вычисляемая для этого примера в денежном выражении норма прибавочной стоимости достигает фантастической величины - 10 000%. Такая норма прибавочной стоимости за счет результатов всеобщего труда и является экономической основой наблюдаемого в современном мире явления "утечки мозгов".

Эти же фантастические цифры нормы прибавочной стоимости и образуют экономический фундамент явления, известного под названием "научно-техническая революция".

Заканчивая рассмотрение вопроса о вычислении ожидаемого процента на вложенный капитал предпринимателем, мы видим, что наиболее развитая форма современного капитала предъявляет весьма жесткие требования к планированию и организации производства. Вычисление ожидаемого ежегодного процента на вложенный капитал позволяет оценивать эффективность использования научно-технических идей.

Система транспорта, как и любая другая подсистема народного хозяйства, совершенствуется за счет внедрения результатов научно-технических разработок, открытий, изобретений, рационализаторских предложений.

Специфической особенностью транспорта является то, что развиваемая двигателем транспортного средства мощность позволяет транспортировать груз с постоянной скоростью (при постоянной величине мощности), что и составляет услугу транспорта. При условии полного использования мощности любого транспортного средства справедлива установленная в технических науках зависимость: для увеличения скорости в 2 раза необходимо увеличить мощность двигателя в 8 раз, т.е. имеет место кубическая функция скорости транспортировки от мощности двигателя.

С другой стороны, потребителю услуг транспорта (которым и является наше общественное производство) совершенно безразлично, чем вызвана задержка груза в пути - малой скоростью перемещения или значительной задержкой на станции отправления или на станции назначения.

Общественное производство заинтересовано в сокращении времени пребывания грузов в пути при сохранении затрат на прежнем уровне. Это и есть то требование, которому должно удовлетворять усовершенствование всей системы транспортировки грузов. Тем не менее сам вопрос измерения общественной полезности всякого изобретения, открытия (не только на транспорте, но и во всей системе общественного производства) является достаточно трудным. Без решения вопроса об измерении общественной полезности изобретения или открытия мы лишены возможности эффективно использовать вычислительную технику в системе управления нашим общественным производством. Этому вопросу, т.е. проблеме измерения общественной полезности всякого технического усовершенствования, мы и посвятим следующую главу.

 

Глава 3

ИЗМЕРЕНИЕ ЭФФЕКТИВНОСТИ "ВСЕОБЩЕГО ТРУДА"
В СИСТЕМЕ ОБЩЕСТВЕННОГО ПРОИЗВОДСТВА

Проведенное обсуждение проблемы измерения эффективности всеобщего труда приводит нас к выводу, что для измерения его эффективности мы нуждаемся в измерении как существующего общественно необходимого времени, так и его изменения под влиянием открытий и изобретений. Мы нуждаемся в своеобразном бюджете общественно необходимого времени на удовлетворение каждой общественной потребности. Этот бюджет ' общественно необходимого времени представляет собой не что иное, как бюджет рабочего времени общества. Каким же бюджетом рабочего времени обладает общество на любой ступени его развития?

Например, на 1970 г. население страны составляло 241,7 млн чел. Численность занятых в системе общественного производства составляла 90,2 млн чел. Это означает, что на 1 млн жителей работало 373 тыс чел. Поскольку практически во всех отраслях народного хозяйства мы имеем в среднем 40-часовую рабочую неделю и имеем 50 недель в году, то весь бюджет рабочего времени на каждый (средний) миллион жителей составлял 746 млн чел. o ч/год. Поскольку это все, чем мы располагали на 1 млн жителей/год, то возможно установить и точное количество человеко-часов в год, которое общество расходовало прямо или косвенно на транспортировку как грузов, так и людей. Благодаря нормировке на 1 млн жителей мы получаем возможность работать только с относительными числами.

Какова же доля от "полного бюжета" общественного рабочего времени, расходуемая обществом на транспортные нужды? Статистические данные показывают, что прямоиспользуемых на транспорте 8,85% общественного рабочего времени, т.е. 66,02 млн чел. o ч на каждый миллион жителей. Из этих затрат рабочего времени на транспорт 2,58%, т.е. 1,7 млн чел. o ч, мы расходуем на нужды железнодорожного транспорта на каждый миллион жителей. Очевидно, что имеют место и косвенные затраты рабочего времени, которые связаны с транспортом. Во всяком случае, при наличии мощной вычислительной техники не представляет особого труда найти фактические затраты рабочего времени на удовлетворение любой общественной потребности. Мы же знаем, что на все возможные общественные потребности мы можем расходовать только то, что у нас есть. А у нас есть 746 млн чел. o ч/год на каждый миллион жителей.

Общественная полезность каждого открытия и каждого изобретения и может быть выражена как экономия рабочего времени при удовлетворении той же самой общественной потребности.

 

3.1. ВСЕОБЩИЙ ТРУД КАК КАТЕГОРИЯ ТВОРЧЕСКОГО ТРУДА

Всякое усовершенствование транспортной системы выражается только через изменение времени, которое продукт находится в пути между местом производства и местом потребления. Разумеется, что сокращение этого времени представляет собой результат идеи - что и как именно надо сделать, чтобы увеличить скорость доставки? Но такая идея усовершенствования транспортного процесса не имеет "телесного существования". Ее единственным свойством является то, что она (после реализации) приводит к тому, что на удовлетворение той же самой общественной потребности будет расходоваться меньше рабочего времени.

Вернемся к выражению (2.17): числитель представляет скорость удовлетворения общественных потребностей. Преобразуем это выражение к виду, который дает постоянную скорость удовлетворения общественной потребности, с одной стороны, а с другой - произведение общественно необходимого времени на уровень производительности трудам

 

(3.1) (3.2)

где П (t) - скорость удовлетворения общественных потребностей, найдем зависимость между скоростью изменения производительности труда и .числом лиц, занятых в системе общественного производства при неизменном уровне скорости удовлетворения общественных потребностей.

Рассмотрим относительную производительность труда в системе транспортировки грузов. Роль постоянной для одной и той же услуги транспорта играет полезная мощность. Эту постоянную нам и необходимо выразить через массу груза и скорость его транспортировки. При этом и проявляется несостоятельность измерения услуг транспорта тонно-километрами. Здесь же мы обнаруживаем и другой факт, что все общественные потребности удовлетворяются потоком энергии. Так же как и любая другая система, система транспортировки грузов выполняет свою работу за счет снашивания технических средств. Заметим, что у нас отсутствует время жизни технического средства как характеристика времени его использования. Это означает, что для получения надежных характеристик планирования в системе транспортировки грузов необходимо относить все расчеты на единицу транспортного потока. Сокращение потребности в рабочем времени при постоянной величине скорости удовлетворения общественной потребности в перевозках и открывает возможность вычислять полезный эффект от изобретений и открытий (рис. 3).

Рис. 3. Зависимость общественно необходимого времени от уровня производительности труда "

Согласно выражению (3.2), скорость удовлетворения общественных потребностей представляет собой произведение трех величин: энерговооруженности, коэффициента совершенства технологии, коэффициента качества плана.

Для сокращения общественно необходимого времени мы можем избрать различные методы: можем наращивать мощность машин и механизмов на одного работающего; увеличивать коэффициент совершенства технологии, т.е. использовать более совершенные технические средства; совершенствовать систему управления транспортом, т.е. более полно использовать имеющиеся мощности технических средств.

В системе транспортировки грузов мы встречаемся с двумя видами мощности: с мощностью собственно транспортного потока и с мощностью погрузочно-разгрузочных средств. Обе мощности в реальной жизни имеют одно и то же назначение: обеспечить необходимую народному хозяйству скорость доставки. Наращивание этих мощностей сопровождается увеличением капиталовложений, т.е. затратами рабочего времени в смежных отраслях. В силу названного обстоятельства при оценке эффективности изобретений нам необходимо учитывать все компоненты общественно необходимых затрат.

Здесь-то нам и становится необходимым бюджет рабочего времени.

Логично выбрать такую форму для бюджета рабочего времени, которая позволяет вычислять и относительные изменения в уровне производительности труда. Исходя из полного бюджета рабочего времени на 1 млн жителей, который равен 746 млн чел. o ч/год, мы должны установить существующую, но пока не известную нам величину - общее число человеко-часов в год, которое расходует каше народное хозяйство на нужды транспорта.

Как бы ни росла численность населения нашей страны, как бы ни увеличивался объем услуг транспорта, мы ставим границу той доле общественного времени, которая расходуется обществом на удовлетворение общественной потребности в услугах транспорта.

Этот зафиксированный нами бюджет общественного времени на нужды системы транспортировки не подлежит увеличению, т.е. неизменным, или инвариантным, объектом в математическом описании транспортных систем мы принимаем число лиц, занятых в системе транспортировки.

Следовательно, все изменения в объеме услуг транспорта мы можем получать лишь за счет всеобщего труда, т.е. за счет темпа роста производительности труда. Положим, что прямые затраты на услуги транспорта, как указано выше, определены в 8,85%. Мы можем принять, что в смежных отраслях затраты на транспорт составляют еще 1,15%. Это означает, что 10% общественного бюджета времени занято у нас на транспортные нужды. Возвращаясь к абсолютным числам на 1 млн жителей это составит 74,6 млн чел. * ч/год.

Будем считать, что дальнейшее развитие системы общественного произ- Я водства никогда не потребует увеличения доли лиц, занятых в системе | транспортировки. Во все будущие времена наш бюжет общественного времени будет ограничен этими же самыми 10% от общего бюжета общественного рабочего времени. При фиксированной численности занятых в системе транспортировки каждый научный результат может быть оценен через уменьшение общественно необходимого времени, которое общество расходует на удовлетворение той же самой потребности.

 

3.2. ИДЕЯ, ЗАМЫСЕЛ, ПРОЕКТ - ФОРМЫ РЕЗУЛЬТАТОВ ВСЕОБЩЕГО ТРУДА

Все научно-технические идеи сравнимы между собой по их влиянию на темпы роста производительности труда в системе общественного производства.

В силу этого обстоятельства основной проблемой использования закона | роста производительности труда и является измерение результатов всеоб- | щего труда. В своей простейшей форме эта связь характеризуется сокращением общественно необходимого времени на удовлетворение одной и той же потребности. В приведенном выражении, которое получено из (2.17), удовлетворение одной и той же потребности означает постоянство потока энергии при сохранении неизменной численности. Если та же самая величина потока обеспечивает ту же потребность общества, а численность сокращается, то мы имеем дело с ростом производительности труда.

Удовлетворение потребности представляет собой действие, некоторую форму движения, процесс, который характеризуется некоторой интенсивностью. В условиях транспортной системы мы удовлетворяем общественную потребность не тогда, когда груз покоится на станции отправления или станции назначения, а тогда, когда он перемещается. Это перемещение может осуществляться с различной скоростью. Для выражения скорости удовлетворения общественной потребности в услугах транспорта мы можем считать постоянными массу каждого груза, намеченного к перевозке, и расстояние, на которое должен быть перемещен груз.

Очевидно, что парные произведения - массы груза на расстояние, сум-мированные по всем видам грузов, дадут нам общее число тонно-километ-пов. В этом расчете мы не использовали скорость доставки этих грузов. Очевидно, что, увеличивая в 2 раза скорость доставки, мы не изменим общего числа тонно-километров, но сократим в 2 раза время, в течение которого грузы "вырваны" из сферы удовлетворения общественных потребностей. В этом смысле (при фиксированной величине тонно-километров) скорость доставки может служить специфической мерой скорости удовлетворения общественной потребности в услугах транспорта. Фиксированная величина тонно-километров является величиной потребности народного хозяйства в услугах транспорта. Скорость транспортировки (при фиксированной в тонно-километрах потребности народного хозяйства) и является скоростью удовлетворения общества в этой потребности, она характеризует работу собственно транспортной системы. Если потребность народного хозяйства в перевозках грузов уменьшится или останется постоянной, то рост производительности труда на транспорте по-прежнему будет измеряться через увеличение скорости доставки. Перспективная программа совершенствования транспорта и может рассматриваться как программа, показывающая что и как именно следует делать, чтобы при заданной потребности народного хозяйства удовлетворять эту потребность при постоянной численности, но с растущей скоростью доставки.

Здесь мы и получаем "качественную определенность" для измерения идей, замыслов и проектов: каждая идея и может содержать указание на то, что и как именно надо сделать, чтобы увеличить скорость доставки, не увеличивая численности.

 

3.3. СКОРОСТЬ ДОСТАВКИ И ПОТРЕБНАЯ МОЩНОСТЬ ТРАНСПОРТНЫХ СРЕДСТВ

Отделив потребность народного хозяйства в услугах транспорта, выражаемую парными произведениями массы груза на расстояния между пунктом отправления и пунктом назначения, от скорости доставки, мы можем более основательно разобрать связь между скоростью транспортировки и потребной для этой скорости мощностью двигательной установки. Мощность двигательной установки всегда связана с той или иной величиной капиталовложений, т.е. с фактическими затратами труда в системе общественного производства. Пропорционально фактически используемой мощности двигательной установки растет расход горючего и смазочных материалов. Это означает, что нормирование расхода горючего и смазочных материалов в расчете на тонно-километр не имеет под собой основы.

Напомним, что в технических науках уже давно установлено, что для увеличения скорости движения (при одних и тех же количестве груза и расстоянии) любого транспортного средства по горизонтали в 2 раза необходимо увеличить удельную мощность двигателя в 8 раз. Во столько же раз возрастает расход горючего и износ двигателя. Наоборот, при сокращении скорости движения в 2 раза все расходы сокращаются в 8 раз. Это позволяет использовать ту же мощность при сокращении скорости для Удовлетворения той же самой потребности народного хозяйства, которая, будучи выражена в тонно-километрах, в 8 раз больше. Этот факт уже наблюдался на перевозках зерна с поля: водители автопоездов перевозят (на прицепах) груз, который в 8 раз больше паспортной грузоподъемности, теряя в скорости только в 2 раза.

Однако в процесс транспортировки груза входят и так называемые вспомогательные операции (погрузка, выгрузка и др.), занимающие до 80% времени, т.е. груз находится в пути лишь 20% времени. Компенсировать задержку груза на вспомогательных операциях большей скоростью движения бессмысленно, так как это приводит к резкому увеличению расхода топлива и износу двигателя. Только хорошо зная связь между фактическим ростом потребной мощности и ростом скорости транспортировки, можно обсуждать целесообразность тех или иных улучшающих предложений.

Поскольку величины транспортной мощности и полезной услуги транспорта требуют введения новой единицы измерения, мы подробнее рассмотрим зависимость между скоростью транспортировки и технической мощностью транспортной системы.

В качестве наиболее изученной модели транспортного потока возьмем трубопроводный транспорт. Здесь мы имеем дело с транспортным процессом в наиболее чистом виде. Если отвлечься от неровностей местности и принять постоянной скорость движения продукта по трубопроводу, то обнаружим, что величина потребной мощности растет линейно с увеличением длины трубопровода. Хотя компрессорные станции сосредоточены в определенных пунктах, всегда известны как полная мощность всех компрессорных станций (в кВт), так и полная длина трубопровода. Это дает возможность говорить об удельной мощности на единицу длины трубопровода, которая "рассеивается" в процессе транспортировки. При движении продукта по трубопроводу через любое поперечное сечение (скорость постоянная) проходит определенная масса продукта. На конце трубопровода, как и в его начале, это количество - величина постоянная.

Представим себе, что нам удалось увеличить скорость движения продукта через продуктопровод в 2 раза. Это скажется на том, что погрузка и выгрузка в единицу времени удвоились. Поскольку общая длина трубопровода осталась без изменения, количество тонно-километров в час также увеличится в 2 раза. Можно ли в этом случае сказать, что услуга транспорта стала в 2 раза больше?

Нет, этого сказать нельзя. Можно было бы сказать, что услуга транспорта увеличилась в 8 раз, хотя число тонно-километров в час стало больше только в 2 раза. Любой инженер, знакомый с техникой трубопроводного транспорта, отметит, что для такого изменения режима транспортировки необходимо увеличить удельную мощность на единицу длины трубопровода (а следовательно, и полную мощность компрессорных станций) в 8 раз. Здесь мы обнаруживаем ту особую "транспортную мощность", которая растет пропорционально кубу скорости транспортировки. Сопротивление движению любого транспортного средства пропорционально квадрату скорости движения. Умножая силу сопротивления на скорость перемещения точки приложения силы, мы получим необходимую для транспортировки груза мощность.

Приведем выдержку из книги Дж. Орира, подтверждающую выдвинутое положение:

"...вычислим мощность, необходимую для преодоления сопротивления воздуха при движении автомобиля с постоянной скоростью. Сила сопротивления воздуха возрастает пропорционально квадрату скорости и, следовательно, преобладает при высоких скоростях. ...Воздух, находящийся непосредственно перед автомобилем, приобретает кинетическую энергию - масса воздуха, увлекаемого за интервал V - СКОРОСТЬ автомобиля; A- среднее значение площади поперечного сечения автомобиля. Потеря мощности, обусловленная сопротивлением воздуха, равна

Заметим, что требуемая мощность возрастает пропорционально кубу скорости".

Эта квадратичная зависимость силы сопротивления от скорости не была заметна, пока на транспорте мы имели дело с малыми скоростями. Теперь справедливость этого факта отмечена для всех транспортных систем, а впервые он был обнаружен на флоте и в авиации. Интересно отметить, что не только расход топлива и изнрс двигателей пропорциональны кубу скорости, но даже износ рельсов на железной дороге.

Проведенное рассмотрение показывает, что услуга транспорта при неизменной массе груза увеличивается в 8 раз с ростом скорости транспортировки в 2 раза. Эту специфическую транспортную мощность мы и выделяем как меру мощности транспортного потока. Эта мера пропорциональна физической мощности используемых транспортных средств. От этой меры транспортной мощности можно переходить и к специфической для транспорта единице измерения работы которую мы назвали траном.

В рассмотренном примере с трубопроводом мы можем легко найти работу транспортной системы, если умножим мощность на время, в течение которого эта мощность была задействована. Подобная работа, совершенная трубопроводом за один час при увеличении скорости движения продукта в 2 раза, представлена в двух видах: в 2 раза увеличилось число тонно-километров за тот же час, но в то же время еще в 2 раза увеличилась скорость движения. Общая работа увеличилась в 8 раз - в 2 раза за счет увеличения числа тонно-километров и еще в 4 раза за счет квадрата скорости доставки.

Приведенный пример позволяет ввести практическую меру для услуг транспортной системы в виде полезной работы транспорта, фактически это означает, что объем услуг, измеряемый в тонно-километрах, необходимо учитывать с сомножителем, который характеризует квадрат скорости доставки.

Необходимо установить базовую величину скорости доставки, от которой могут отличаться как в большую, так и в меньшую сторону фактические скорости доставки. Используя базовую скорость доставки (положим, 10 км/ч), можно сравнивать эффективности всех транспортных систем. Для этого работу, выраженную в традиционных тонно-километрах, необходимо умножать на отношение фактической скорости доставки к базовой величине, т.е. 10 км/ч, возводя это отношение в квадрат.

Заметим, что большой разброс в экономической оценке различных видов транспорта заметно сокращается. Если проанализировать изменение себестоимости работы 10т- км в различных видах транспорта, то можно видеть, что в автомобильном она в 10 раз выше, чем в остальных видах транспорта. Зачем же мы строим автомобильные заводы?

Положение существенно меняется, если принять во внимание скорость доставки. Скорость доставки грузов по железной дороге довольно редко отличается от 10 км/ч (достигая 14-16 км/ч в отдельных случаях). Другое дело - автомобиль. Он выезжает из ворот предприятия и приезжает в ворота предприятия. Груз находится все время в пути. В междугородных перевозках нормальная скорость продвижения достигает и 30-40 км/ч. Это означает, что каждый тонно-километр в этом случае более весом 30:10 = 3. Возведя эту величину в квадрат, получим сомножитель, равный 9. При 40 км/ч этот сомножитель равен 16. После умножения числа тонно-километров на такие сомножители мы увидим, что услуга транспорта, измеряемая транами, примерно одинакова по "себестоимости". Кажущийся разрыв в "себестоимости" возникает от использования тонно-километров в качестве меры для услуг транспорта .

Еще заметнее это для трубопроводного транспорта. Так как скорость движения продуктов в трубопроводах имеет величину порядка 5 км/ч (а иногда и 3 км/ч), то после умножения числа тонно-километров на квадрат относительной скорости доставки (на 0,25 при 5 км/ч и на 0,09 при 3 км/ч) услуга этих видов транспорта оказывается не столь экономичной.

 

3.4. ПОДДЕРЖАНИЕ ТРАНСПОРТНОГО ПОТОКА НА ПОСТОЯННОМ УРОВНЕ

Измеряя транспортную работу количеством тран в час, мы сможем учесть все виды труда по поддержанию транспортного потока на постоянном уровне. Фактически обсуждая поддержание постоянного уровня удовлетворения той или иной общественной потребности, мы обсуждаем такую категорию, как простое воспроизводство. В процесс поддержания входит замена всех видов технических средств, когда каждое из этих средств уже отслужило свой срок.

С одной стороны, мы можем знать, какое количество общественного рабочего времени расходуем на ремонт и замену вагонного парка, на ремонт и замену отслуживших рельсов и шпал и т.д. Точно так же мы можем знать, какое количество общественно необходимого времени мы расходуем на выпуск тяги, которая приходит на смену списанной технике. Все это мы можем знать лишь тогда/когда для каждого изделия установлен его гарантийный срок службы.

Вопрос о гарантийном сроке службы является другой стороной вопроса об экономичном использовании каждого вида техники. В предыдущей главе мы показали, что для всякого капиталовложения существует точка на оси времени, когда необходимо отказаться от дальнейшей эксплуатации данного технического средства. Эта точка и дает нам гарантийный срок службы. Точные правила расчета этой величины для каждого технического средства будут приведены ниже.

Используя понятие "поддержание транспортного потока на постоянном уровне", мы имели в виду, что вычисление роста производительности труда в общественном производстве возможно только тогда, когда сокращается общественно необходимое время* на выполнение одной и той же работы. Если отсутствует единица измерения этой работы, то нет возможности определять для нее и общественно необходимое время.

 

3.5. АБСТРАКТНАЯ И КОНКРЕТНАЯ МОЩНОСТЬ ТРАНСПОРТНЫХ СИСТЕМ И ТЕХНИЧЕСКИХ СРЕДСТВ

В заказе народного хозяйства указывается: масса груза, его номенклатура, пункты отправления и назначения, желательная скорость транспортировки (т.е. скорость доставки). Принятый заказ необходимо согласовать с мощностью транспортной системы. Наличие в заказе такой характеристики, как скорость доставки, требует анализа пропускной способности транспортной системы.

Обратим внимание на необходимость четкого разграничения того, за что несет ответственность транспортная система, а за что - совокупность плановых органов и органов материально-технического снабжения. Транспортная система должна быть обеспечена конкретным заказом с указанными характеристиками. Она несет ответственность за сохранность груза и скорость доставки. Например, вопрос о встречных перевозках, которые снижают эффективность использования транспорта, не является вопросом для руководства транспортной системой. Однако и ответственного иногда не удается найти**.

Приняв характеристики заказа по всей номенклатуре, мы можем вычислять потребную транспортную мощность в транах в час. Эта потребная транспортная мощность может быть вычислена при "опускании" номенклатуры конкретных грузов. Пользуясь массой груза, скоростью доставки и расстоянием транспортировки, мы можем вычислять необходимую мощность транспортной системы. Действительно, мы приходим к выражению

где Pi - масса i-го груза; Li - расстояние транспортировки i-го груза; - квадрат относительной скорости доставки i-го груза; m - число грузов, подлежащих перевозке; N - необходимая мощность, тран/ч.

Поскольку данный объем перевозок должен быть выполнен за заданное время (например, за один год), разделив полученную величину на число часов в году, мы получим часовую величину транспортной мощности. Очевидно, что эта величина может быть представлена как график часовой нагрузки по потребностям народного хозяйства с учетом конкретных путей транспортировки.

Чтобы не загромождать запись индексами (индекс пути, по которому пойдет груз, индекс интервала времени, когда пойдет груз, индекс типа груза, который характеризует его номенклатуру), воспользуемся записью, которая отражает заказ народного хозяйства. Все компоненты заказа приведены к транспортной мощности, выраженной в транах в час, и просуммированы. Таким образом, заказ представлен одним числом.

Очевидно, что возможность измерять заказ на транспортировку грузов в одних и тех же единицах - единицах транспортной мощности - сразу же открывает нам возможность проектирования транспортной системы страны как целого. Результаты работы всех транспортных систем оказываются сравнимыми по их транспортной мощности.

Рассмотрим другой аспект этой же проблемы. Как именно согласуются заказ народного хозяйства и возможности транспортной системы для выполнения этого заказа?

Для этого необходимо технические возможности транспортной системы сравнить по транспортной мощности с заказом народного хозяйства. Это означает, что в рамках машинной системы каждому заказу народного хозяйства должен соответствовать набор технических средств, который обеспечивает заданную величину транспортной мощности. Можно ли для любого транспортного средства указать согласованную с потребностью величину транспортной мощности? Именно для этой цели и введена новая единица измерения. Следует различать две величины: транспортную мощность и транспортную работу. Они связаны между собой но отличаются размерностью. Транспортная мощность выражается через массу груза и куб скорости транспортировки. Транспортная работа выражается через число тонно-километров (следующих из заказа) и относительный квадрат скорости доставки. Последняя величина не включает в себя время в явном виде.

Рассмотрим движение грузового состава. При вычислении транспортной мощности мы берем произведение массы груза (нетто) на куб скорости перемещения. Положим, что масса груза нетто 1500 т и техническая скорость движения составляет 50 км/ч, тогда часовая производительность будет состоять из двух сомножителей:

1. Произведение массы груза на его перемещение за 1 ч:

1500*50 =75 000 т* км/ч.

2. Квадрат относительной скорости доставки:

(50:10)2= 25.

3. Общая величина транспортной мощности равна

75 000 *25 = 1875000 тран/ч.

Подобным же образом можно вычислить транспортную мощность любого другого технического средства.

Используя полученные данные, можно рассчитывать транспортную работу. Умножая транспортную мощность на число часов "занятия" транспортного средства, мы получим транспортную работу, выраженную в транах. Наличие в расчете сомножителя, выраженного в тонно-километрах, не портит предлагаемого метода расчета, он здесь необходим, но недостаточен: ему нужно добавить номенклатуру груза (что не делает его новой величиной) и добавить скорость доставки. При этих добавлениях он не перестает быть выраженным в тонно-километрах, но выполняет роль "заказчика". Этот сомножитель имеет в заказе и столь желанную номенклатуру, и... новое требование - желательную скорость доставки. Последнее представляет собой неявное указание заказчику, что тариф будет расти пропорционально квадрату скорости доставки.

Фактическая услуга транспорта измеряется с учетом фактической скорости доставки. Последнее требование, которое соответствует выполнению графика движения,-всякое нарушение графика движения есть чрезвычайное происшествие - и подлежит строгому контролю со стороны управления транспортной системой. Фактически только в графике движения и "спрятана" услуга транспорта. Его расчет, т.е. согласование необходимой и фактической транспортной мощности, требует использования вычислительной техники.

 

Глава 4

КОЛИЧЕСТВО, КАЧЕСТВО И МЕРА
В АВТОМАТИЗИРОВАННЫХ СИСТЕМАХ УПРАВЛЕНИЯ

Возможность любых количественных сравнений открывается только при условии, что все сравниваемые величины являются величинами одного и того же качества. Однако отнесение величин к одному и тому же качеству представляет собой лишь внешнее проявление того, что эти количественно различные величины измерялись одной и той же мерой. Нет вопроса более трудного в получении математического описания тех или иных систем, как нахождение такого рода мер. Один из методов: берется множество разнородных величин, которые с помощью экспертов, квантифируются. Этот путь довольно часто встречается, и если другого нет, то им пользуются. Очевидно, что квантификация осуществляется с точностью до ошибок экспертизы.

В настоящей главе рассмотрим два "эмпирических пути" для получения адекватных мер. Избранный способ разработки методологических основ проектирования системы управления развитием транспорта является обобщением этого опыта.

"Эмпирические пути" связаны с именами советского авиаконструктора В.Ф. Болховитинова и американского инженера Г. Крона. В настоящей работе нет смысла воспроизводить многочисленные иллюстрации работоспособности этих внутренне родственных методов. Гораздо более важным является их родство, обеспечивающее их универсальность. В.Ф.Болховити-нов рассматривал множество летательных аппаратов, а Г. Крон - множество машин и механизмов. И первый и второй обсуждали такие вопросы теории, которые должны охватывать как известные, так и неизвестные летательные аппараты, машины и механизмы. Этот подход к разработке теории, включающей как старые, так и новые, еще не существующие, технические средства, представляет интерес для разработки системы управления развитием транспорта.

В рамках известных подходов, таких, как системный подход или системный анализ, указанные пути можно было бы назвать функциональными. Однако мы не хотели бы их так называть, ибо количество функциональных подходов столь же велико, сколь велико число авторов. В работах указанных исследователей можно выделить основную функцию технического средства, которую можно назвать основным процессом, или основным рабочим процессом. Технической системой назьюается в этом случае все то, что необходимо для реализации основного рабочего процесса. В предшествующем изложении таким основным рабочим процессом был процесс постоянной транспортной мощностью.

Не предрешая ответа на вопрос о классификации, можно заметить, что основные процессы могут считаться различными, если различны их меры. Очевидно, что если несколько процессов характеризуются одной и той же мерой, то их различие является чисто количественным. Если же меры нескольких процессов различны, то мы можем говорить об их несоизмеримости, т л. об их качественном различии. Качественное подобие основных процессов позволяет говорить, что мы имеем дело с процессами того же типа или того же рода и что наблюдаемое различие их является чисто количественным.

Так, в работах В.Ф. Болховитинова мы имеем дело с множеством летательных аппаратов (как многоразовых, так и одноразовых), которые сравнимы, так как реализуют один и тот же процесс. Можно показать, что очень небольшое видоизменение схемы Болховитинова позволяет включить в этот основной процесс все технические средства всех транспортных систем.

В работах В.Ф. Болховитинова мы находим этот элемент, который ближе всего к эмпирически наблюдаемому, т.е. дает нам возможность представить процесс формирования функционального свойства. В работах Г. Крона более высокий уровень абстракции, когда сами функциональные свойства в электротехнических системах уже заданы в виде конструкционных констант в уравнениях движения. Тем не менее оба подхода оказываются эквивалентными, когда основной рабочий процесс описывается с помощью такой величины, как мощность.

 

4.1. УРАВНЕНИЯ СУЩЕСТВОВАНИЯ, ПРИМЕНЕНИЯ И ПРОИЗВОДСТВА ЛЕТАТЕЛЬНЫХ АППАРАТОВ

В уравнениях существования и производства, которые входят в метод В.Ф. Болховитинова, легко различаются виды используемых мер: в первом случае роль такой меры играет масса летательного аппарата, а во втором -трудоемкость (в человеко-часах) изготовления летательного аппарата.

Все уравнения В.Ф. Болховитинова содержат процедуру нормирования на единицу. Эта же процедура в тензорном анализе Г. Крона известна как "жонглирование индексами".

В.Ф. Болховитинов в уравнении существования летательного аппарата рассматривает четыре функциональных элемента: массу двигателя; массу запаса горючего; массу "планера" (массу "тары" технического средства); массу полезной нагрузки.

Перечисленные характеристики суммируемы, так как представляются в этом "уравнении" одним и тем же свойством - массой. Сумма перечисленных компонентов образует полную массу (взлетная масса) летательного аппарата. Разделив уравнение на взлетную массу аппарата, мы получим в правой части единицу, а в левой сумму долей.

В данном случае мы хотели продемонстрировать лишь тот факт, что мера устанавливается до получения уравнения. Если мера выбрана правильно, то полученное уравнение оказывается "работоспособным". Другой вариант: давайте соберем специалистов, перечислим различные свойства летательных аппаратов и пусть они дадут нам набор коэффициентов, т.е. долей, с которыми каждое свойство будет входить в "формулу качества" летательного аппарата. Последний подход известен как метод экспертных оценок.

Остается открытым вопрос, почему в качестве меры выбрана именно масса?

На этот вопрос В.Ф. Болховитинов отвечает следующим образом:

"Наши знания о природе и происходящих в ней процессах выражаются многими законами разных наук. Эти науки стали очень многочисленны и потребовали специализации людей, занимающихся ими. Однако техника усложняется настолько, что требует участия в ее создании большего и большего количества разных специалистов.

Каждый из этих специалистов (для самолета это специалисты по аэродинамике, прочности, конструкторы, технологи, производственники, двигателисты, электрики, радисты, вооруженны и т.д.) обеспечивает надежность и эффективность работы своей отрасли техники. В самолете же все эти отрасли работают совместно. Последнее обстоятельство требует таких обобщений, которые, не вдаваясь в детали,Относящиеся к компетенции узких специалистов, давали бы возможность установить основные условия и связи, по которым в самолете взаимодействуют различные специальные виды техники. К таким обобщениям относятся условия существования, применения и производства рассматриваемого аппарата в целом"*.

Таким образом, мы видим, что главный конструктор ищет обобщения, позволяющие обозревать, контролировать разработку летательного аппарата в целом, не обременяя себя деталями, которые входят в компетенцию узких специалистов. Мы понимаем, чтобы сократить количество "элементов" летательного аппарата до четырех, практически работая с десятками различных специалистов, требуется нечто вроде "идеи". В нашем предшествующем изложении мы используем в транспортных системах мощность двигательной установки. Почему этот шаг не был сделан В.Ф. Болхо-витиновым?

Вот ответ на этот вопрос:

"Потребность в установлении этих условий существует в любой отрасли техники, но в одной она менее остра, в другой может быть очень острой. Например, в машиностроении в результате несоблюдения требований экономии металла станок может быть перетяжелен, но он будет работать. Иное наблюдается в тех областях техники, где образцы и степень использования их возможностей достигли высокого уровня развития и совершенства. В таких областях техники без знания условий существования образца нельзя удовлетворить требованиям практически и обеспечить дальнейшее быстрое ее улучшение. Например, практическое применение самолета возможно только при его высоком техническом совершенстве. Перетяжеленный самолет может и не взлететь".

Здесь мы и находим ответ на вопрос о том, почему в качестве меры в летательных аппаратах была принята масса: перетяжеленный автомобиль (пароход, трубопровод) будет обладать худшими техническими характеристиками, но самолет может не взлететь.

Рассмотрим уравнение существования летательного аппарата, ибо здесь ярко проявляется умение конструктора выделять главное из колоссального количества различных свойств. Более того, мы считаем, что этот метод рассуждения может и должен быть использован для описания всех видов транспортных средств.

"Смысл первого условия, - пишет В.Ф.Болховитинов, - условия существования самолета, сводится к следующему. Различные свойства самолета изучаются различными науками: аэродинамические - аэродинамикой, прочностные - строительной механикой, тепловые процессы - термодинамикой и т д. Углубленное изучение какого-либо одного свойства самолета всегда требовало отвлечения от многих других его свойств, так как в противном случае изучение просто было бы невозможно из-за обилия свойств и сложности их взаимосвязей. Так, аэродинамика отвлекается от прочности, веса, эксплуатации, применения, производства и т.д. Но такое изучение, давая закономерности и связи только определенных свойств, оставляло открытым вопрос взаимодействия их со свойствами, которые при рассмотрении были исключены. Такое изучение, естественно, не давало ответа на вопрос, какой комплекс свойств мы могли бы считать реально осуществимым в отдельном объекте при данном уровне развития техники. Ответ на этот вопрос и должны дать условия существования объекта".

Мы видим, что "простота", или "примитивность", уравнения существования порождена не незнанием автором сложности многих научных дисциплин, а потребностью в ответе на вопрос о реализуемости некоторого набора свойств при данном уровне техники. Здесь и решается проблема выделения сущности, т.е. такого существенного свойства, которое позволяет фиксировать уровень развития техники. Следующий шаг и показывает, как именно делается выбор этого существенного свойства.

"Конструкция самолета - это прежде всего материал, соответствующим образом обработанный человеком. Отдельные части конструкции взаимодействуют согласно желанию человека, основанному на знании им законов природы. Весь самолет, таким образом, можно рассматривать как некоторое овеществление этих законов человеком.

При выбранном способе овеществления любого свойства тела всегда справедливо следующее положение: каждое из свойств пропорционально массе вещества, которой были приданы формы" обеспечивающие возникновение и существование этого свойства. Коэффициент же пропорциональности выражает уровень техники, соответствующий рассматриваемому времени. Таким образом, эквивалентом количества рассматриваемого свойства является та масса вещества, которая подверглась формированию".

Именно здесь мы и находим прием, позволяющий соединить теоретические положения науки с реальным уровнем развития техники. Фактически здесь следующее утверждение: за изменение каждого свойства летательного аппарата конструктор "платит" массой технического средства. Задаваясь количеством свойства, можно определить массу, которой необходимо "заплатить" за данное свойство в заданном количестве.

Применительно к транспорту подобное положение отличается от приведенного тем, что "платить" за изменение каждого свойства приходится не массой, а мощностью. Так как и саму массу (Добытую и оформленную) мы получаем, расходуя мощность.

Переход от массы к мощности содержится и в самой работе В.Ф. Болховитинова. Он пишет:

"Так, если запроектировать двигательную установку мощностью N л.с. с удельным весом на л.с., то для ее осуществления (овеществления) потребуется килограммов материала. Таким образом" мощность N как основное свойство двигательной установки, определяется уровнем ее технического совершенства..."

Обратим внимание на использованный В.Ф. Болховитиновым метод получения описания: все свойства конструкции представляются как удельные свойства, отнесенные к единице измеряемой физической величины. В данном случае, т.е. при получении уравнения существования, роль физической величины играет масса. Когда же речь идет об уравнении производства летательного аппарата, роль величины, на которую относятся все свойства конструкции, играет рабочее время, т.е. время, которое необходимо для придания формы. Придание формы, "формирование" массы, сообщающее некоторое свойство летательному аппарату, требует рабочего времени. Удельное рабочее время, расходуемое на каждое свойство, характеризует технологичность данной конструкции самолета.

В каждом случае мы начинаем с выбора некоторой величины, которая играет роль меры, на единицу которой мы потом и относим все необходимые свойства. Заметим, что попытка экспертного установления "весов", которые измеряют качество летательного аппарата, сразу лишает нас возможности использовать фактические данные, которые имеются в распоряжении специалистов.

Операция нормирования на единицу по всем видам свойств летательного аппарата связывает эмпирические экспериментальные данные с тем, что математики называют нормой, или длиной, вектора. Само правило нормирования предполагает, что мера, с помощью которой выполняется нормирование, уже выбрана тем, кто составляет математическое описание. Адекватная мера - это и есть то, что гарантирует работоспособность математической модели любого процесса,

 

4.2. УРАВНЕНИЕ СУЩЕСТВОВАНИЯ ЛЕТАТЕЛЬНОГО АППАРАТА

Проведенное рассмотрение показывает, что первым шагом к получению математического описания работоспособных конструкций был выбор, единицы нормирования. Мы используем понятие масса как меру для. выражения всех свойств летательного аппарата. В.Ф. Волхов итинов пишет.

"Таким образом, масса самолета определяет количественно комплект его качеств. Обычно мы рассматриваем массу или вес самолета как сумму нескольких слагаемых, представляющих собой либо вес частей самолета, либо его полезную нагрузку. Так, мы можем рассматривать вес самолета как вес конструкции его планера, двигательной установки, топлива и, полезной нагрузки, т.е.

Это уравнение выражает баланс весов самолета. Если в правой части этого уравнения выразить веса слагаемых через соответствующие свойства самолета, то мы получим уравнение, связывающее вес самолета с его разноч образными свойствами.

Такое уравнение, связывающее в единое целое свойства самолета и притом в определенных количествах, будет уже не уравнением баланса весов, а уравнением существования самолета, так как в нем будут отображены не только связи различных свойств и качеств самолета, но и возможность осуществления их в определенных количествах в одном самолете".

Рассматривая составные части как компоненты вектора свойств самолета, можно видеть, что они суммируемы. Вопрос о норме, или длине, вектора мы рассмотрим ниже.

"Но в этом виде уравнение существования для применения и анализа неудобно, так как, выражая абсолютный вес самолета, оно не позволяет сравнивать различные самолеты из-за различия в их весах, мощностях, сопротивлениях и пр. Необходимо, не отвлекаясь от смысла и сущности уравнения существования самолета - этого критерия реальности, - найти другую форму его, приводящую все самолеты к одному масштабу и поэтому позволяющую сравнивать их между собой.

Если мы разделим обе части уравнения существования на вес самолета, то получим уравнение в форме относительных весов:

...В этом уравнении свойства самолета отнесены к килограмму его веса, и поэтому им можно пользоваться для сравнения самолетов друг с другом по степени использования единицы массы, т.е. по степени их совершенства.

В таком виде уравнение существования удобно для анализа и для оценки как существующих, так и будущих самолетов...

"Повторим еще раз, смысл этого уравнения заключается в том, что любое интересующее нас качество самолета обязательно будем связывать массой, определяющей условие существования этого качества в необходимом нам количестве".

Обратим внимание, что, после того как была выполнена операция нормирования, всякая видимость массы уже исчезла, но смысл уравнения и состоит в том, что все характеристики отнесены к единице массы.

Мы назвали слагаемые в уравнении компонентами вектора. Чтобы избежать недоразумений, сделаем некоторые пояснения. В технических науках, теоретической механике часто используется сферическая норма вектора, которая является обобщением теоремы Пифагора на случай п измерений. Однако такая сферическая норма не является единственной. Более того, как в данном случае, так и в других экономических вопросах более удобна так называемая октаэдрическая норма. Известно, что "норму можно вводить различными способами, и в различных случаях та или другая норма оказывается более удобной.

Вообще, нормой вектора Х называется сопоставляемое этому вектору неотрицательное число \\Х\\, удовлетворяющее следующим требованиям:

...Каждая норма определяет "единичную сферу" - множество векторов, норма которых не превосходит 1. Единичная сфера есть центрально симметричное выпуклое тело, т.е. такое множество, которое вместе с каждым вектором Х содержит вектор -X (центральная симметрия) и вместе с любыми векторами X1 и X2 содержит вектор опирающийся на отрезок, соединяющий концы векторов X1 и X2 (выпуклость)>>.

В нашем случае условие 3 превращается в "равенство треугольника", т.е. сумма всех компонентов вектора постоянна и равна +1.

Если сферическую норму можно записать символически так:

то интересующая нас октаэдрическая норма может быть записана следующим образом:

Такая аддитивность компонентов и достигается тем методом, к которому мы хотели привлечь внимание: отнесением всех свойств к одной и той же единице измерения.

Второй вопрос, который также заслуживает внимания, это вопрос о способе "изображения" многомерных пространств. Известно, что многомерные пространства с трудом поддаются визуализации: о них говоря как о "фигуре речи", т.е. что это способ выражения, но не образ.

Р и с. 4. Изображение четырехмерного вектора существования самолета

Из-за этой трудности даже простейшие задачи линейного программиро вания, где встречаются многомерные пространства, интерпретируются неким "гиперконусом" в многомерном пространстве. Используя норми' рование вектора свойств летательного аппарата на единицу, можно дать хорошее "визуальное представление" таких векторов: провести отрезок линии, равный единице длины, и замкнуть концы этого единичного отрезка ломаной, число звеньев которой равно числу компонент нашего вектора.

Проекции звеньев такой ломаной на наш отрезок единичной длины и будут представлять собою "компоненты" единичного вектора. Очевидно, что подобный способ изображения можно применять и при числе звеньев более четырех, но при выполнении условия: сумма проекций компонент остается постоянной. Это постоянство суммы компонент иногда представляется как инвариантность линейной формы, которая и является математическим выражением подобного рода нормирования.

Вместо изображения четырех звеньев ломаной можно рассматривать и дальнейшую конкретизацию каждого звена, разбивая его на собственные подкомпоненты. Такое разбиение на собственные подкомпоненты, которое сохраняет нормирование на единицу (или сохраняет "линейную форму"), приводит нас к понятию линейного пространства переменной размерности, которое возникает в предложениях, использующих метод В.Ф. Болховитинова или метод Г. Крона.

Например, компонента уравнения существования - доли массы двигателя - представлена как компонент целого самолета. Однако мы можем и свойства двигателя представить (как и целый самолет!) в виде подобного списка свойств и относить свойства двигателя на массу конструкции двигателя. Фактически мы повторяем процедуру нормирования на единицу, но единицей нам служит не полная масса самолета, а полная масса самого двигателя.

Изображение четырехмерного вектора существования самолета и изображение разложения доли двигателя на подкомпоненты представлено на рис.4.

Очевидно, что при написании "уравнения производства" летательного аппарата, где мы будем суммировать рабочее время на изготовление каждой части, мы сможем найти долю этого времени на изготовление двигателя. Рассматривая список свойств двигателя, мы найдем долю рабочего времени от полного времени на изготовление двигателя.

Теперь, когда мы познакомились с методом, который позволяет получить уравнение существования (или производства) летательного аппарата, мы можем заметить, что этот же метод можно применять не только к летательным аппаратам.

Возвращаясь к рассмотренным вопросам, можно заметить, что использованный прием с установлением предельных (технических) возможностей транспортной системы как целого, есть не что иное, как описанный метод. Можно суммировать транспортные мощности технических средств и принимать эту величину за единицу. В этом случае полная транспортная мощность делится на используемую и неиспользуемую. Эти два компонента предельных (технических) возможностей транспортной системы и представляют собой уравнение существования транспортной системы. Поскольку все компоненты суммируемы, то нет необходимости искать экспертные оценки. Только потому, что само понятие транспортной мощности является новым, к нему еще не привыкли, вводится понятие скорости доставки как скорости продвижения груза на единицу грузоподъемности технических средств. Эта обобщенная характеристика суммируема: ее верхний предел определяется технической скоростью. Отклонение реальной скорости доставки от технической скорости является мерой дефектов системы управления транспортной системой.

Транспортная мощность как сумма транспортных мощностей технических средств тесно связана с физической мощностью двигательных установок. Однако связь физической мощности со скоростью движения имеет нелинейный характер. Этот факт и был обнаружен ранее всего в авиации, Уравнение существования В.Ф. Болховитинова позволило избавиться от парадоксов этой связи. Хотя связь между мощностью двигателя и скоростью движения самолета подчинялась кубической зависимости, тем не менее требовалось увеличивать не просто мощность, а удельную мощность двигательной установки.

 

4.3. СВЯЗЬ МЕЖДУ УДЕЛЬНОЙ МОЩНОСТЬЮ И СКОРОСТЬЮ

Связь между мощностью двигательной установки транспортного средства и технической скоростью определяется силой сопротивления движению транспортного средства. При малых скоростях движения можно пользоваться линейным приближением и считать, что сила сопротивления движению пропорциональна скорости. По мере роста скоростей движения транспортных средств было обнаружено, что сила сопротивления движению пропорциональна квадрату скорости. Поскольку величина мощности, расходуемой на движение, определяется произведением силы сопротивления на скорость перемещения точки приложения силы, мы получаем зависимость между мощностью и скоростью: необходимая мощность пропорциональна кубу скорости технического средства.

Даже у специалистов здесь возникают недоразумения. По этому поводу В.Ф. Болховитинов пишет:

"Мы часто встречаем в различных курсах аэродинамики" конструкции самолетов, двигателей и т.д. такое выражение: "Для того чтобы увеличить максимальную скорость в два раза, необходимо увеличить мощность в восемь раз". Основанием для этого служит известное уравнение

 

Таблица 1

Летно-технические данные самолетов разных типов

Тип
Самолет
Gэ.о.в, кг
G, кг
е э.o.в
е пл
е т
е д.у
Vm, км/ч
Hm,м
Истребитель

"Фоккер Д-УП"

155
920
0,16
0,32
0,08
0,44
200
5700
Разведчик "Де Хевеленд ДН-9"
250
1510
0,16
0,34
0,17
0,33
180
5000
Бомбардировщик "Фридрихсгафен"
1490
4980
0,30
0,35
0,13
0,22
140
3600

 

В такой формулировке это выражение просто неверно.

Действительно, если мы увеличим мощность в восемь раз, т.е. возьмем восемь двигателей вместо одного, мы увеличим вес двигательной установки в восемь раз; для достижения той же дальности и времени полета количество расходуемого топлива тоже возрастет в восемь раз; чтобы нести увеличенный вес двигательной установки и топлива, вес планера возрастет тоже почти в восемь раз; все это приведет к возрастанию веса самолета и, следовательно, его несущей площади тоже в восемь раз. В результате Ртах почти не изменится.

Таким образом, увеличение мощности не ведет к увеличению скорости.

Если сказать, что возрастание мощности при том же весе двигательной установки, т.е. что уменьшение удельного веса двигательной установки, ведет к увеличению скорости - это будет верно, так как только в этом случае на каждый килограмм веса самолета будет приходиться большая мощность и, следовательно, скорость его будет больше. Это следует и из уже известного нам выражения для скорости

которое показывает, что Vmax обратно пропорционально корню кубичному из удельного веса двигательной установки".

Уточнение связи между скоростью технического средства и удельной мощностью двигателя позволяет выразить основную идею метода В.Ф. Бол-ховитинова. Описание целого, которое представлено как единица, дается через доли этого целого так, что конструктор может перемещать границы между ними. Каждому сознательному изменению границ между долями этого целого соответствуют различные изменения технических характеристик летательных аппаратов (табл. 1).

Мы видим, что соответствующие компоненты уравнения существования несколько изменяются, но сумма долей всегда равна единице. Изменения долей приводят к изменению типа летательного аппарата от истребителя до бомбардировщика. Эти изменения типов летательных аппаратов можно представить следующим образом.

Введем унифицированное представление для всех летательных аппаратов в форме единичного вектора: суммы долей по оси ординат, а по оси абсцисс будем откладывать куб скорости.

Используем это представление для установления соотношений между долями массы летательного аппарата, выделяемыми конструктором, - массой двигательной установки и массой топлива. При этом мы считаем, что сумма долей на массу планера и на полезную нагрузку (экипаж, оборудование, вооружение) остается без изменения.

"Построим график, по оси абсцисс отложим Vm3, а по оси ординат относительные веса частей самолета ei (рис. 5). Тогда прямая, параллельная оси абсцисс и отстоящая от нее на расстоянии e=1, будет изображать полный вес самолета. Прямая, параллельная ей, но проведенная от первой на расстоянии, равном разделит вес нашего самолета на две части: верхнюю

Положим теперь, что мы совсем не выделили веса на двигатель, т.е.

максимальным относительным весом топлива и поэтому минимальным весом двигательной установки.

Рис. 5. Распределение относительных весов по скорости

Недалеко от точки А расположится самолет, рекордный по скорости (PC), так как у него очень малое время полета, и следовательно е т, и максимально возможный относительный вес двигательной установки, т.е. e д.у. Между рекордными самолетами расположатся истребитель, разведчик и бомбардировщик, у которых требующаяся им дальность заставляет против самолета, рекордного по скорости, увеличивать относительный вес топлива е т, и тем самым уменьшать относительный вес двигательной установки ед.у, т.е. максимальную скорость.

Таким образом, уравнение существования самолета показывает, что при данном уровне техники различные типы самолетов получают различные летно-технические данные благодаря различию в распределении массы самолета между его частями".

Обращая внимание читателя на введение "идеальных" самолетов ^ рекордной дальностью и рекордной скоростью, мы показываем методический прием, который и характеризует понятие предельных технических возможностей. Если мы отталкиваемся от технического предела, который определяется уровнем развития техники, то получаем возможность все конкретные случаи находить внутри установленных границ. При эмпирическом подходе наше описание технической системы всегда страдает неполнотой.

Рассматривая идеальную транспортную мощность транспортной системы, мы вводим представление о верхнем пределе использования технических средств системы. Совершенно очевидно, что этот предел не достигается ни при каком фактическом использовании технических средств, но мы получаем меру, которая показывает нам долю используемых технических возможностей системы.

В табл. 1 летно-технических данных самолетов для истребителя и разведчика доли масс на топливо и двигательную установку остаются практически постоянными (0,52 - для истребителя и 0,50 - для разведчика). Однако эта доля для бомбардировщика стала заметно меньше - 0,35. Хотя доля массы на планер меняется незначительно от 0,32 до 0,35, мы видим, что 0,14 массы перешло в раздел полезной нагрузки. Действительно, в последнем случае доля полезной нагрузки возрастает почти в 2 раза, что приводит к тому, что скорость самолета падает до 140 против 180 Гдля разведчика) и 200 км/ч - для истребителя.

Нетрудно показать, что с увеличением удельной мощности двигателя можем получить большую скорость, если все остальные характеристики останутся без изменения.

Проведенная В.Ф. Болховитиновым нормировка всех летательных аппаратов на общую массу технического средства весьма удобна только для самолетов. Для таких технических средств, как трубопроводный или железнодорожный транспорт, это правило нормирования на единицу может оказаться весьма далеким от реальных характеристик. Не следует требовать от авиаконструктора, чтобы он расширил свое изложение на все транспортные системы. В данном подразделе мы конкретнее познакомились с такими понятиями, как потенциальная возможность и техническая возможность в применении к техническим средствам транспортировки грузов. "Идеальные самолеты", которые не могут летать, являясь крайним случаем того, что допускает уровень развития техники, и дают наглядный пример потенциальной возможности. Все виды технических усовершенствований-поддаются осмысливанию авиаконструктором именно потому, что каждое (через изменение массы при сохранении свойства) может быть выражено как уменьшение соответствующей доли в уравнении существования. Любое усовершенствование только перераспределяет эти доли, что и позволяет оценивать его значение по отношению к целому.

В заключение отметим, что наиболее важным для разработчика систем управления является аддитивность используемых в методе В"Ф.Болховитинова характеристик. Заметим, что эти удельные характеристики, отнесенные к одной и той же физической величине, могут быть пересчитаны по отношению к любой другой физической величине, если она присутствует в уравнении существования.

 

4.4. ПЕРЕХОД ОТ ОДНОЙ НОРМЫ К ДРУГОЙ. ПЕРЕНОРМИРОВКА

Когда мы имеем описание некоторой системы, в которой уже выполнено нормирование на единицу по одной физической величине, можно перейти к другому виду нормирования, заменяя одну физическую величину Другой. Такой переход возможен только тогда, когда одно описание, нормированное на единицу, уже существует.

Из уравнения существования летательного аппарата видно, что совершенствование конструкции заключается в том, чтобы заданные качества обеспечить при использовании минимальной массы. Ставя задачу уменьшения массы при сохранении характеристик, мы получаем уменьшение взлетной массы самолета при той же самой мощности двигателя. Это изменившееся соотношение между массой и мощностью двигателя и дает нам выигрыш в скорости. Если все характеристики летательного аппарата остались теми же (полезная нагрузка осталась без изменения), то более высокое совершенство приводит к росту скорости доставки при той же мощности двигательной установки. Конструктор летательного аппарата может неявно контролирован совершенство конструкции самолета п6 росту скорости доставки.

В уравнении существования самолета имеется член, который связывает полную мощность двигательной установки с ее массой. Этот член принято называть удельной мощностью на единицу массы двигателя. С другой стороны, мощность двигателя расходуется на перемещение самого двигателя, горючего, планера и полезной нагрузки. Если уравнение существования летательного аппарата перенормировать на единицу мощности двигательной установки, то мы получим уравнение мощности, которое показывает, какие доли мощности расходуются на то, чтобы перемещать горючее, планер и, наконец, (но не в последнюю очередь!) полезную нагрузку.

В данном случае выполнение перенормировки не встречает особых затруднений. Доля массы, которая соответствует полезной нагрузке, является показателем совершенства технического средства, так как те доли массы; которые обеспечивают работу технического средства, сами по себе не составляют услуги транспорта. Более того, можно выделить два вида коэффициента полезного действия двигательной установки,

1. Коэффициент полезного действия самого двигателя, который определяется отношением мощности на валу двигателя к мощности, потребляемой двигателем. Величина потребляемой мощности определяется расходом горючего на единицу мощности, либо электрической мощностью, преобразуемой в мощность на валу.

2. Коэффициент полезного действия по отношению к массе полезной нагрузки, который определяет мощность, приходящуюся на действительное перемещение полезного груза.

Поскольку уровень производительности труда в народном хозяйстве определяется через полезную мощность на одного занятого в системе общественного производства, то повышение этих двух коэффициентов дает возможность повышать производительность труда при постоянном значении энерговооруженности.

С другой стороны, проведенный прием нормирования на единицу массы или мощности имеет смысл, если в сумму входит все, что составляет рассматриваемый объект. Даже очень хороший самолет не может быть использован, если он не обеспечивается хорошей службой аэродромного обслуживания. В силу названного обстоятельства переход от технического средства к транспортной системе требует расширения уравнения существования. Уравнение существования летательного аппарата - только иллюстрация использования метода. Подобно тому как можно осуществить переход от относительных масс летательного аппарата к относительным долям мощности внутри отдельного технического средства, можно рассмотреть суммарную мощность всей транспортной системы. В этом случае полная мощность транспортной системы может быть представлена как сумма всех мощностей, обеспечивающих работу транспортной системы.

Один компонент этой суммы - физическую мощность мы уже рассмотрели при анализе отдельного технического средства. В любой транспортной системе имеются производственные мощности (и соответствующая им физическая мощность) погрузочно-разгрузочных средств, на поддержание в исправном состоянии трассы и пунктов погрузки-выгрузки, по ремонту подвижного состава и т д. Уравнение существования транспортной системы и является суммой этих мощностей, где каждое свойство системы - конкретная мощность - представлено по отношению к абстрактной мощности. Суммированию подлежат абстрактные (т.е. физические) мощности. Сумма этих мощностей, как и в уравнении В.Ф.Болховитинова, поинимается за единицу. Каждое отношение мощности к абстрактной имеет же вид, как, допустим, отношение массы двигательной установки к мощности, что дает величину, которая связывает необходимую мощность с массой двигателя.

Эта нормировка и была нами сделана на величину удельной средней скорости транспортировки грузов. Переход от одного вида нормирования к другому позволяет переходить от "потерь" удельной скорости доставки к пропорциям мощностей технических средств.

Переход в описании всех видов технических систем с нормированием на единицу мощности связан с работами американского инженера Г. Крона. Примерно к 1930 г. было обнаружено, что любая машина и любой механизм выполняет свое производственное назначение лишь в условиях передачи потока энергии от источника к нагрузке. В этом смысле все технические системы обладают подобными свойствами в том смысле, что все они потребляют физическую мощность и все они обладают полезной мощностью, которую мы и отождествили с конкретной мощностью. Именно по этой причине нормирование на единицу мощности обладает своеобразной универсальностью.

Подобно тому как перераспределение массы самолета между массой двигательной установки и массой топлива меняет характеристики летательного аппарата, перераспределение физической мощности между мощностью подвижного состава и мощностями на погрузочно-разгрузочные работы, поддержание пути, мощностью ремонтных предприятий приводит к росту транспортной мощности системы при одной и той же величине потребляемой мощности.

Переход к унифицированному описанию всех технических систем как сетей распределения мощности связан с созданием и разработкой Г. Кроном тензорной методологии.

 

4.5. ОСНОВЫ ТЕНЗОРНОЙ МЕТОДОЛОГИИ Г. КРОНА

Колоссальное разнообразие технических систем, различие их размеров и целевого назначения ставят перед разработчиком автоматизированной системы управления множество взаимосвязанных проблем. В этих условиях желательно иметь такой метод, который позволяет переходить от одной части системы к другой без изменения подхода. Заметное продвижение в указанном направлении и связано с тензорной методологией Г. Крона.

Сделаем существенную оговорку: тензорная методология Г. Крона является лишь названием подхода и, хотя в реализации этого подхода используется и тензорная алгебра, и тензорный анализ, но эти математические инструменты не характеризуют суть дела. Суть дела характеризует наличие инварианта, т.е. положение о том, что при всех допустимых изменениях имеется "нечто", что остается без изменения. Подробно рассмотренный метод В.Ф.Болховитинова также включает в себя этот же элемент - уравнение существования можно рассматривать как инвариантную "линейную форму", что и было представлено как октаэдрическая норма вектора долей массы.

В работах Г. Крона роль такой линейной формы, остающейся инвариантной при всех преобразованиях, играет мощность. Принимая к рассмотрению все конструкции с единичной величиной мощности, он позволяет находить долю полезной мощности, которая и имеет место на выходе технического средства. Этот переход от нормирования летательных аппаратов на единицу массы к нормированию всех технических систем на единицу потребляемой мощности образует фундамент тензорной методологии Г. Крона.

Для поддержания постоянной скорости выпуска любого продукта требуется постоянство потребляемой мощности. В силу названного обстоятельства даже такое специфическое, характерное для экономических систем понятие, как простое воспроизводство, характеризуется (при неизменных условиях производства) постоянством величины потребляемой мощности.

Наличие существенной связи между скоростью выпуска любого продукта и потоком энергии образует первый элемент связи между техникой и экономикой. Роль второго элемента связи играет связь между полезной мощностью (т.е. скоростью выпуска продукта) и расходом общественного рабочего времени. Работы В.Ф.Болховитинова и Г. Крона и обеспечивают выполнение этого первого шага.

Рассмотрим основные положения работ Г. Крона. Эти положения изложены Г. Кроном в виде постулатов обобщения *. Их последовательность и является последовательностью решения проблем, С одной стороны, rf проектирования систем - с другой,

В предисловии к работе ** "Применение тензорного анализа в электротехнике" Г. Крон писал:

"Одно из назначений этой и других книг автора состоит в том, чтобы показать, как можно организовать составление, преобразование и решение уравнений сложных технических систем и как использовать эту организацию для получения новых сведений о системах. В дальнейшем подробно изучается только составление уравнений и рассматривается только одно из многих преобразований - исключение переменных.

...Ниже коротко излагается сущность предлагаемого метода анализа технических задач как электрического, так и механического характера...

...Последовательность действий должна быть такова:

1.He анализируйте непосредственно данную систему, так как она сложна. Вместо этого составьте сперва уравнения другой, родственной системы, которую гораздо легче анализировать или уравнения которой уже были получены в другом случае.

2. Затем перейдите от уравнений простой системы к уравнениям сложной системы путем стандартных преобразований.

Правила преобразования уравнений более простой или известной системы в уравнения данной системы дает тензорный анализ.

Немедленно возникает вопрос: как выбираются более простые системы? Существуют два способа, которые могут быть применены каждый в отдельности или оба одновременно.

1. Разбейте сложную систему на несколько составляющих систем удалением некоторых, определенным образом выбранных связей так, чтобы каждую составляющую систему можно было легко анализировать. Это разложение может быть выполнено в несколько последовательных приемов.

...Если уравнения каждой из этих составляющих систем не были выведены ранее, то каждая составляющая снова подразделяется на еще более мелкие части, уравнения которых могут быть получены.

Группа составляющих систем, получающихся в результате последнего из необходимых делений, называется элементарной системой.

Если уравнение какого-либо элемента однажды составлено, нет необходимости повторять все выводы с самого начала, когда этот элемент используется как часть иного технического устройства. Таким образом, результаты всех исследований, выполненных с помощью тензоров, могут быть заготовлены для будущего использования в задачах различных типов, подобно тому как стандартизованные детали машин заготовляются для сборки разнообразных конструкций.

2. В дополнение к разложению сложной системы на несколько составляющих систем примите новые, более простые" координаты для исходной или для составляющих систем.

...Правила перехода от уравнений "элементарной системы" к уравнению действительной системы составляют содержание так называемой теории преобразования, или преобразования координат.

Это преобразование представляет собой основу тензорного анализа"*.

Сложность транспортной системы заставила нас искать элементарный акт в транспортировке грузов. Описанием такого элементарного акта может служить уравнение движения любого транспортного средства. Это Уравнение движения характеризуется тем, что сила сопротивления движению имеет две составляющие: первая зависит от скорости движения линейно, а вторая меняется по квадратичному закону. Из уравнения движения элементарной системы следуют выражения для транспортной мощности и транспортной работы. В качестве единицы измерения последней мы и вводим новую единицу - тран. Нам не понадобилось выводить уравнения движения, так как они уже давно получены.

Следует обратить внимание на то, что единицы измерения относятся к специфике самого движения, а не к технической реализации. Здесь мы имеем дело с транспортным аналогом так называемой машины Карно, с которой сравниваются все конкретные машины. Эта фиксация в качестве мер физических измеряемых величин и составляет отличие работ Г. Крона от тензоров математики. Он отмечал, что тензоры - это другое имя для физических измеряемых величин. Эти физические измеряемые величины и наделяют жизнью безжизненные формулы математических уравнений. Он пишет:

"Непосредственной задачей настоящей книги является введение в технические исследования только таких понятий, которые разработаны физиками для изучения простейшего элемента системы.

Предлагаемые формулы и методы решения основаны на убеждении, что технические науки отличаются от физических наук только следующим:

1) применением большого числа переменных;

2) большим разнообразием координатных систем;

3) построением более сложных пространств.

Основные символы, применяемые в обеих науках, идентичны. Они и должны быть идентичны в силу идентичности рассматриваемых физических явлений" *.

Мы полагаем, что указанное отличие технических наук от физики еще более сильно сказывается в области инженерно-экономического анализа технических систем.

Завершая цитированную работу, Г. Крон отмечает:

"Главной задачей настоящей книги является разработка строгого способа составления уравнений, определяющих поведение электротехнических систем. Для этого были введены некоторые элементарные понятия тензорного анализа.

Задачей тензорного анализа, однако, является не только составление строгим способом уравнений, определяющих поведение системы. Это только второстепенная задача. Значительно более важной задачей тензорных понятий является представление поведения физических систем при помощи измеряемых величин, т.е. при помощи только тензоров. ...Вообще уравнение физической системы может быть представлено при помощи модели (эквивалентная цепь), только если оно является тензорным уравнением" **.

В этом смысле описание всяких технических и социально-экономических систем при помощи измеряемых величин только в силу того, что это описание опирается на измеряемые величины, и является тензорной методологией в том смысле, как это понималось Г. Кроном.

 

4.6. ОБОБЩАЮЩИЕ ПОСТУЛАТЫ Г. КРОНА

Последовательное продвижение в анализе и синтезе систем, характеризующее методологию тензорного анализа у Г. Крона, можно представить в виде последовательности постулатов. Эти постулаты играют роль "километровых столбов" на пути к решению проблемы. Если вы идете по указанной дороге, то не можете выйти к столбу с указателем 2, не пройдя столба с указателем 1, не можете дойти до столба 3, не пройдя столбов 1 и 2.

В данном подразделе мы пройдем только два "указателя" на этой дороге.

Стартовой точкой для анализа любой системы является нулевая отметка роль которой играет предварительный постулат. Предварительный постулат указывает, что числовые соотношения, наблюдаемые в окружающем нас мире, могут быть "свернуты" до алгебраических соотношений. Мы принимаем, что задачей математического описания является выражение возможно более длинной цепи понятий наиболее короткой цепочкой символов. В некоторых случаях нам это удается сделать, а в некоторых нет.

Устанавливая числовые соотношения между некоторыми измеряемыми величинами, мы можем иногда бесконечное множество числовых соотношений заменять одним алгебраическим уравнением. Однако такие "устойчивые" алгебраические соотношения мы обнаруживаем лишь для некоторых классов явлений, которые отождествляются с известными физическими законами.

Например, если исследуют экспериментальную зависимость между жесткостью пружины и ее растяжением под действием сил различной величины, то большое количество экспериментальных данных, связывающих растяжение с величиной действующей силы, может быть представлено одним алгебраическим уравнением

(4,1)

где f- действующая сила; х - растяжение или удлинение пружины; k - жесткость пружины.

Полученное алгебраическое уравнение описывает не только ту пружину, которую мы экспериментально изучили" но и бесконечное множество других пружин, обладающих одним и тем же свойством: удлинение пружины пропорционально действующей силе. Если это свойство имеет место, то полученное выражение можно применять к пружинам с различной жесткостью, различной величиной прикладываемой силы и различным удлинением.

Данное соотношение выражает закон Гука.

Этот привычный всем постулат, дающий некоторые соотношения, "ведет себя хорошо", если в таком обобщении мы имеем дело с физическим законом. Если мы имеем дело с некоторой таблицей, где одна величина изменяется пропорционально другой, то формально можно получить подобную запись. Но такая замена оказалась бы мало полезной: это верно для данного эксперимента, но может оказаться неверным при использовании этого выражения в новых условиях.

Предварительный постулат можно представить в следующем виде: бесконечное разнообразие арифметических уравнений может быть заменено одним алгебраическим уравнением того же самого вида, если каждую "цифру" заменить соответствующей "буквой".

Сохранение формы уравнения или его вида является сохранением размерности тех величин, которые входят в запись. Буквы алгебраического уравнения являются символами размерностей физических величин, связанных данным законом физики.

Такая замена численных значений алгебраическими соотношениями облегчает решение задач и дает большую наглядность, так как смысл (или размерность) используемых физических величин остается во всех случаях без изменения. Применение алгебры на промежуточных этапах расчета не означает, что мы избавляемся от некоторого минимума вычислительной работы. В конце анализа все буквы должны быть заменены числами и с этими числами должны быть выполнены арифметические операции.

При рассмотрении множества подобных элементов, различающихся (в соответствии с приведенным примером) приложенными силами, жест-костями пружин, удлинениями, соединенными между собою произвольным образом, можно записать матричное уравнение, которое имеет тот же вид, что и исходное скалярное. Это означает, что для любой совокупности взаимосвязанных пружин, которые деформированы произвольными (но не выводящими за действие закона Гука) силами, вид уравнения остается тем же самым. Это и есть постулат первого обобщения Г. Крона.

В нашем случае, при анализе транспортных систем, мы имеем дело со скалярным уравнением, выражающим зависимость силы от скорости движения любого транспортного средства в виде

(4.2)

где f- сила сопротивления движению; v - скорость движения; k1 - коэффициент, зависящий от скорости линейно; k2 - коэффициент, зависящий от скорости квадратично.

Это же самое скалярное уравнение может быть обобщено до матричного уравнения, поскольку от увеличения числа пружин и способа соединения пружин закон Гука не зависит. Такое обобщение имеет смысл только тогда, когда мы знаем, что увеличение числа элементов и введение связей между ними (которые "изменяют" только "вид" физической системы) не приводят к возникновению нового физического закона. Именно это тензорное свойство физических законов и позволяет получать столь необходимое обобщение, способствующее описанию и синтезу технических систем. В данном случае изменяется число степеней свободы технической системы, но не изменяется, т.е. остается инвариантным, физический закон данного процесса,

Перейдем от скалярного уравнения одной пружины к матричному уравнению с п пружинами. Представим все силы, которые действуют на сеть взаимосвязанных пружин, в виде вектора сил:

Представим все удлинения всех пружин в виде вектора смещений:

Наконец, все жесткости пружин представим в виде матрицы жесткостей:

В этом случае матричное уравнение имеет вид

(4.1а)

Мы видим, что внешний вид уравнения не изменился, но вместо каждой "буквы" скалярного уравнения у нас теперь стоит матрица. Компоненты этого уравнения представляют те же сущности - вектор сил соответствует силе, вектор смещений соответствует одному смещению, а матрица жесткостей соответствует жесткости одной пружины.

Если мы знаем о существовании электромеханической аналогии, то мы можем построить "электрический аналог" такой взаимосвязной сети пружин в виде подобной сети, например, из электрических конденсаторов. Решение последней задачи содержится в работах Г. Крона.

Переход от уравнений движения для транспортных систем к его электрическому аналогу представляется довольно сложным уравнением Больц-мана-Гамеля, составляющим основу неримановой динамики:

 

(4.2а)

В данном случае наши потребности инженерно-экономического анализа не распространяются на конкретные методы решения подобных систем. Для нас существен другой факт: нужное для инженерно-экономического анализа описание существует. Необходимо использовать в экономическом анализе основные идеи этого метода. Сравним уравнения (4.1) с (4.1 а) и (4.2) с (4.2а): каждой букве скалярного уравнения соответствует матрица в матричном уравнении. Кроме того, физический смысл каждого символа в матричном уравнении остался тем же самым. Нам не нужно вспоминать, что означает тот или иной символ уравнения, так как физический смысл каждого символа остается тем же самым, а текущий индекс или индексы не изменяют этого смысла.

В уравнении (4.1) у нас встречаются три понятия, каждому из которых соответствует определенный физический смысл:

1)f - действующая сила;

2) х - растяжение пружины;

3) К - жесткость пружины.

В уравнении (4.1 а) у нас встречаются те же самые три понятия, каждому из которых соответствует определенный физический смысл:

1)fа - множество действующих сил;

2) хb - множество растяжений пружин;

3) Каb - множество жесткостей пружин.

Аналогично в уравнении (4.2) у нас встречаются четыре понятия:

1) f - сила сопротивления движению;

2) V - скорость движения;

3) К1 - коэффициент, зависящий от скорости линейно (трение);

4) K2 - коэффициент, зависящий от скорости квадратично (лобовое сопротивление).

В уравнении (4.2а) опять сохраняются те же самые физические понятия

Этот переход от скалярного уравнения (т.е. от одной степени свободы) к матричному уравнению (т.е. к множеству степеней свободы или к множеству элементов той же самой природы) и составляет суть постулата первого обобщения.

Обратим особое внимание на то, что уравнения (4.2) и (4.2а) имеют смысл для любого транспортного средства: самолета, корабля, трубопровода, автомобиля и железнодорожного состава.

Постулат первого обобщения формулируется так:

N алгебраических уравнений, описывающих физическую систему с N степенями свободы, могут быть заменены одним матричным уравнением, имеющим тот же самый вид, что и исходное алгебраическое уравнение, если каждую букву скалярного уравнения заменить соответствующей N-й матрицей. Все действия, которые можно делать с матричными уравнениями, весьма похожи на действия, которые можно делать с алгебраическими уравнениями.

Такая замена сокращает анализ и сохраняет физический смысл выполняемых действий. Операции, которые можно осуществлять с п матрицами, соответствуют известным операциям матричной алгебры. Тем не менее в конце анализа в каждую N-ю матрицу необходимо подставить ее элементы, которые состоят из алгебраических символов; затем каждую букву в алгебраическом выражении надо заменить числом и проделать необходимые операции.

Уже на стадии постулата первого обобщения Г. Крон предупреждает нас о возможности попасть в тупик.

Многомерные матрицы, содержащие два, три и большее число индексов, соответствуют многомерным массивам чисел, характеризуя "банки данных". Если придерживаться тензорной методологии Г.Крона, то требуется весьма тщательно следить, чтобы каждый компонент списка был одной и той же размерности. В этом и только в этом случае работа с многомерными матрицами позволяет использовать весьма развитый аппарат .алгебры, т.е. работать со стандартными преобразованиями.

Переход от скалярного уравнения к матричному вовсе не означает переход от "однопродуктной" к "многопродуктной" модели. Изменение числа компонентов не выводит нас за содержание физики явления. Мы пользуемся одним и тем же законом, когда работаем и со скалярным и с матричным уравнением.

Использование многомерных матриц, как и использование индексных обозначений, не имеет ничего общего с тензорами: тензорная природа скрыта в размерностях величин. Для перехода от матричного исчисления или от матричной алгебры к тензорной необходим еще один постулат, который Г. Крон называет постулатом второго обобщения.

Постулат второго обобщения можно назвать постулатом "включения взаимодействия", т.е. постулатом, который дает возможность отличать элементы системы от связей, которые соединяют элементы.

В задачах физики мы находим численные значения компонент одного а того же вектора в новой системе координат, имея в своем распоряжении численные значения компонент этого вектора в исходной системе координат и правило, которое позволяет по компонентам исходного вектора найти компоненты того же вектора в новой системе координат.

Здесь неявно предполагается, что вектор тот же. Это предположение требует сохранения некоторой величины, имеющей смысл длины вектора. Длину вектора можно задавать с помощью линейной, квадратичной Аорм. В тензорном анализе в отличие от тензорной алгебры сохраняются линейная дифференциальная форма, квадратичная дифференциальная форма и т д.

Сохранение той или иной формы и означает, что до и после преобразования координат мы имеем дело с тем же самым объектом.

Г. Крон рассмотрел задачу о преобразовании одной конструкции машины в другую (эти машины можно моделировать эквивалентной электрической сетью) как преобразование координат. Для того чтобы изменение связей в технической или экономической системе можно было описывать так же, как преобразование координат, необходимо найти такую линейную форму, которая остается постоянной, или инвариантной. Такой инвариантной линейной формой у Г. Крона является инвариантность мощности, которая на языке физики звучит как закон сохранения мощности.

Роль отдельных предприятий, как и отдельных технических средств, играет мощность. "Преобразование координат" соответствует соединению в систему общественного производства. При различных способах соединения одних и тех же предприятий с одной и той же производственной мощностью (т.е. с теми же самыми технологическими коэффициентами) полезная мощность всей социально-экономической системы будет различна. Это положение можно представить как "соединение предприятий" таким способом, чтобы иметь максимальное количество встречных перевозок. Те же самые предприятия могут быть соединены и таким способом, что минимизируется количество встречных перевозок. Мощности предприятий остаются теми же самыми, а темпы роста производительности труда в системе общественного производства будут различными. "Соединение предприятий" представляется математически как матрица, элементы которой состоят из ± 1 и нулей. Экономический смысл этих элементов весьма прост: нули означают, что взаимных связей между элементами (предприятиями, техническими средствами) нет, а положительные и отрицательные единицы означают направления связей между поставками и потребителями. Задание различных способов соединения и позволяет работать с одними и теми же мощностями, но с различными компонентами матриц, определяемыми способом соединения.

В представленном описании уровня производительности труда (см. формулу (2.16)) мы встречались с коэффициентом качества плана - е, который характеризует согласованность скорости выпуска продукта со скоростью его потребления. Эта согласованность по потокам продуктов является согласованностью по мощности. Математическая шшсь этого понятия и дается тензором соединения, использованным Г. Кроном в постулате второго обобщения. Достаточно отказаться от выражения всех скоростей выпуска продуктов через "абстрактную" и "конкретную" мощ. ности, как мы лишимся возможности записывать изменение связей как преобразование системы координат. Инвариантность технических BO]. можностей социально-экономической системы не означает инвариантности ее экономических возможностей, или скорости удовлетворения общественных потребностей.

Возвращаясь к постулату второго обобщения, заметим, что существует возможность продолжить "развертывание" теории, если у нас есть закон, или мера. Роль этой меры играет сохранение той или иной формы. Наля. чие формы и уравнений движения гарантирует существование группу преобразований. Таким образом, как замечает Г. Крон:

"...Может быть постулировано:

если известно матричное уравнение отдельной физической системы, то то же уравнение применимо для большого числа физических систем той же природы (для которых может быть образована группа матриц преобразования Caa, если каждую N-ю матрицу заменить соответствующим тензором.

...Если решение задачи выражено тензорным уравнением, то для полу чения численного ответа:

1. Каждый тензор должен быть заменен его составляющими в принятом системе отсчета, т.е. п матрицами.

2. Каждая N-я матрица должна быть заменена соответствующими ал. гебраическими символами.

3. Каждый алгебраический символ должен быть заменен числом"*.

Последовательное использование тензорной методологии исключает введение большого количества символов, физический смысл которьц трудно удержать в памяти при анализе систем. Количество символов точно равно количеству физических величин, которые используются в анализе системы. Качественное своеобразие компонент выражается не основными символами (изображающими тензоры), а переносится на индексы. Так, в уравнении существования летательного аппарата В.Ф. Болховитинова все доли массы могут быть обозначены индексами, а основная буква сохраняет физический смысл массы соответствующей части. Аналогичное положение мы встречаем и в работах Крона - качественное своеобразие каждого потока энергии выражается индексом, а основная или базовая буква по-прежнему отражает мощность.

Знакомство с тензорной методологией Крона позволяет более подробно рассмотреть понятие меры или закона при математическом описании технических и социально-экономических систем.

 

4.7. ЗАКОН ИЛИ МЕРА ПРИ МАТЕМАТИЧЕСКОМ ОПИСАНИИ РЕАЛЬНЫХ СИСТЕМ

Изложенное показьюает, что инженерный анализ является первым этапом инженерно-экономического анализа той же системы. На втором этапе в рассмотрение вводится численность обслуживающего персонала.

Действительно, как только определено оборудование для того или иного производственного процесса, составляется нечто -вроде "штатного расписания". Это "штатное расписание", например, для таких объектов, как ВАЗ или КамАЗ, зависит от оборудования, так как наличие той или иной операции предполагает наличие человека. Если на данной операции человек отсутствует, то вся технологическая цепочка, которая доводит изделие до этой операции, оказывается бессмысленной: результат труда по всей цепочке не имеет потребителя, так как именно данная операция и является потребителем результатов всей предшествующей цепочки. Перед отсутствующей операцией возникает внутрипроизводственный "товарный запас", который не имеет потребителя. Эта ситуация и характеризует "дефект" планирования как результат рассогласования между производственной мощностью предприятия и численность занятых в данном технологическом процессе.

Представим себе, что организационная структура создается из умозрительных соображений: где гарантия того, что все элементы, которые необходимы для работы указанного производственного конвейера, приняты во внимание? Такой гарантии нет, это и приводит к тому, что экономический анализ без первого шага не является анализом.

В реализации первого шага мы ограничиваем наш анализ физической величиной мощности, так как скорость выполнения любого производственного процесса (при данном наборе технических средств) пропорциональна величине физической мощности. Коэффициенты этой связи между скоростью выпуска продукта и физической мощностью, обозначенные как коэффициенты совершенства технологии, известны в задачах линейного программирования как технологические коэффициенты. Получение технологических коэффициентов необходимо при использовании любых экономико-математических методов. Предлагаемый способ получения технологических коэффициентов из инженерного анализа является универсальным в том смысле, что этот же метод дает и численные значения изменений этих коэффициентов при использовании изобретений и усовершенствований.

В реализации второго шага, т.е. при введении в анализ численности занятых, мы обнаруживаем причину того, что реальный выпуск не соответствует технологическим возможностям из-за рассогласования между "техническими" и "экономическими" возможностями, или скорости удовлетворения общественных потребностей.

Эта связь между техническими средствами и численностью представляет собой еще один "тензор соединения" Г. Крона, который и дает возможность измерять коэффициент качества плана.

При оценке полноты инженерного анализа нам необходимо убедиться в том, что инженерное описание пригодно для последующего экономического описания. Это означает, что должны существовать какие-то технические условия на инженерное описание, которые гарантируют переход к экономическому описанию. Подобно тому как решение системы уравнений оказывается возможным только тогда, когда число уравнений равно числу неизвестных, так и экономическое описание требует полноты инженерных данных. Необходимую полноту инженерных данных и дает то, что было названо тензорной методологией и иллюстрировалось работами В-Ф. Болховитинова и Г. Крона. Классификация различных мер, с которыми мы имеем дело в технических науках и в физике, дана в работах P.O. Бартини и П.Г. Кузнецова*.

Если говорить формальным языком, то полнота инженерного описания означает наличие трех составных частей математического описания.

1. Дан инвариантный объект, т.е. физическая величина, которая остается постоянной, или инвариантной, в рассматриваемом классе явлений.

2. Дан закон движения, характеризующий рассматриваемый класс явлений.

3. Дан закон преобразования, который позволяет найти численное значение характеристик процесса при любом заданном способе соединений элементов этого процесса.

Поскольку эти требования вытекают из требований полноты последующего экономического описания, то они фактически выполняются лишь в очень ограниченном числе случаев. Отсутствие указанных данных в инженерном анализе технических систем и создает трудности при экономическом описании тех же самых технических систем.

При наличии указанных данных технического описания можно легко перейти к экономическому описанию. В инженерно-экономических расчетах мы широко используем систему действующих цен, поэтому необходимо обеспечить связь между экономическими и инженерными характеристиками с помощью унифицированной единицы измерения. В качестве "базы" всех измерений удобно выбрать киловатт-час. Любое выражение в экономической теории включает в себя тот или иной аспект цен, т.е. связь данного процесса или явления с категорией "стоимость". Действующая система цен выражает стоимость каждого предмета или услуги в рублях. Воспользуемся (не предопределяя численное значение предлагаемого коэффициента) следующим масштабом перехода от рублей к киловатт-часам:

1 руб.->100 кВт*ч.

Этот переход означает, что в рамках действующей системы цен мы заменяем выражение цены предмета в рублях выражением "цены" того же самого предмета в киловатт-часах. В этом случае, если наши цены установлены правильно, то полученное выражение для "цены" в киловатт-часах будет означать количество киловатт-часов, которые страна расходует на изготовление конкретного предмета. Если находится способ, позволяющий на изготовление того же предмета расходовать меньшее количество киловатт-часов, то результатом применения нового способа будет именно то, что требует экономика - себестоимость изготовления данного предмета уменьшится: инженерный и экономический расчеты теперь совпадают в каждом элементе.

Выражение величины транспортной работы в транах дает необходимую связь между затратами энергии и получаемыми результатами. Если транспортная работа остается той же самой (будучи выражена в транах), а расход энергии сократился, то мы можем говорить о росте обобщенного коэффициента полезного действия. Даже если расход энергии на ту же ' самую транспортную работу остался без изменения, но вследствие роста энерговооруженности труда на транспорте мы выполняем ту же работу с использованием меньшей величины общественного рабочего времени, то мы будем иметь рост производительности труда.

Возможность измерить затраты и результаты через физические измеряемые величины и означает возможность использования тензорной методологии как в анализе, так и в проектировании транспортных систем. Именно этот аспект методологии проектирования автоматизированных систем управления перевозочным процессом и составляет основную идею настоящей работы.

 

 

ЧАСТЬ 2

КОНКРЕТНАЯ ПРОГРАММА
СОВЕРШЕНСТВОВАНИЯ СИСТЕМЫ УПРАВЛЕНИЯ
ЖЕЛЕЗНОДОРОЖНЫМИ ПЕРЕВОЗКАМИ

В соответствии с методологическими установками, рассмотренными в первой части, конкретная программа управления железнодорожными перевозками является программой роста производительности труда, по отношению к которой все возможные программы оказываются сравнимыми: они могут различаться лишь темпом роста производительности труда. В силу названного обстоятельства каждое изменение намеченного плана развития железнодорожного транспорта оказывает одно из двух возможных влияний на темп роста производительности труда - либо он увеличивается, либо уменьшается.

Основной задачей разработки машинной системы для управления развитием железнодорожного транспорта является задача сравнения возможных решений по их влиянию на темп роста производительности труда. Это означает, что конечный результат вычислений (конечный результат оптимизации) всегда представляется в виде одной и той же величины (в данном случае речь идет о природе величины, а не о ее численном значении) - в виде ожидаемого темпа роста производительности труда. Разумеется, что приведение многочисленных показателей работы железнодорожного транспорта к вычисляемой величине - темпу роста производительности труда - не может произойти само собой. С другой стороны, рассматривая выход машинной системы управления развитием железнодорожного транспорта на любой уровень, мы обязаны гарантировать, что вся информация о работе системы приведена к виду, который и дает возможность оценивать влияние конкретных решений на темп роста производительности труда.

Фиксируя численность всех лиц, занятых в системе железнодорожного транспорта, мы можем рассчитать уровень производительности труда как число транов в час на одного занятого. Произведение транспортной мощности (число транов в час) на энерговооруженность (число киловатт на одного работающего) дает нам уровень производительности труда в транах в час на одного работающего. Рост этого показателя на некоторое число процентов в год и составляет искомую величину темпа роста производительности труда в системе железнодорожного транспорта.

Наличие программы роста производительности труда в системе железнодорожного транспорта, т.е. совокупности мероприятий, каждое из которых приводит к конкретной величине роста услуг железнодорожного транспорта, позволяет точнее определять последовательность их реализации, соответствующую общественной потребности в услугах железнодорожного транспорта. Подобное влияние будет характеризовать и развитие" hpy-гкх отраслей общественного производства.

Теперь мы имеем возможность детальнее обсудить формирование этой конкретной программы совершенствования системы транспортировки грузов железнодорожным транспортом и систему управления формированием и реализацией такой программы. Такая система управления формированием и реализацией является не чем иным, как автоматизи-пованной системой управления развитием системы железнодорожных перевозок. Ее назначение состоит в вычислении влияния конкретных решений на темп роста производительности труда в системе железнодорожного транспорта.

Такая оценка возможна только тогда, когда существует конкретная программа роста производительности труда в системе железнодорожного транспорта в целом. Так называемые трудности с критериями или с методом оценки эффективности являются не чем иным, как логическим следствием отсутствия конкретной программы, ориентированной на рост производительности труда в соответствующей отрасли. Программа роста производительности труда предполагает, что имеется возможность измерять как уровень производительности труда, так и ее темпы роста. В первой части мы ввели представление о транспортной мощности и транспортной работе, которые и являются измерителями объема услуг, предоставляемых транспортом народному хозяйству. Подобные измерители существуют во всех других отраслях, но их установление требует упорной и целеустремленной научной работы.

Основной характеристикой системы железнодорожного транспорта мы будем считать транспортный поток, который измеряется транспортной мощностью. Поскольку единица измерения транспортного потока - траны в час - еще непривычна, то иллюстративно будет показано и измерение транспортного потока так, как это возможно при использовании действующей системы показателей.

Чтобы перейти к другой единице измерения, нам нужны новые нормативы, новые расценки и масса других подготовительных мер. Каждый шаг этой гигантской работы необходимо выверять на соответствие с законом общественного развития. Этот закон должен быть конкретизирован для каждого мероприятия по совершенствованию управления транспортной системой. Рассмотрение, которое проведено в первой части, показывает, что нам предстоит сделать два шага: на первом мы оцениваем технические возможности транспортной системы, а на втором - связь технических возможностей с бюджетом рабочего времени. На первом шаге мы достигаем наилучшего соотношения между абстрактной и конкретной мощностью транспортной системы: это соотношение дается числом транов в час на один киловатт установленной мощности технических средств. На втором шаге мы обеспечиваем наиболее быстрый рост абстрактной мощности на одного занятого в системе транспортировки грузов. На первом шаге мы оцениваем эффективность имеющихся технических средств и эффективность их использования, на втором - составляем и реализуем долговременную комплексную программу совершенствования системы транспортировки грузов и системы управления развитием транспорта.

На первом шаге мы устанавливаем:

1. Производственную мощность и полноту использования технических средств.

2. Перечень причин, которые лимитируют полноту использования технических средств.

3. Перечень недостатков действующей системы управления транспортным процессом.

На втором шаге мы устанавливаем:

4. Иерархию целей комплексной целевой программы и совокупность мероприятий, обеспечивающих рост производительности труда.

5. Порядок управления комплексной целевой программой роста производительности труда в системе транспортировки грузов.

Напомним, что разработка и реализация комплексной целевой программы развития транспорта нами рассматривается с точки зрения методологии. Приведем простейший пример разработки плана: план строительства какого-нибудь дома неявно предполагает, что существуют рабочие чертежи соответствующего дома, т.е. создаваемый дом можно узнать, когда он находится в процессе строительства и когда он завершен постройкой. В нашем случае роль "дома" играет комплексная целевая программа совершенствования транспорта. Известно, что не каждый набор бумаг, даже озаглавленный "целевая комплексная программа", является в действительности таковой. Как отличать "заглавие" от того, что должно быть в "содержании"?

Мы полагаем, что содержание целевой комплексной программы достаточно хорошо определяется* в системах целевого планирования и управления СПУТНИК, СКАЛАР (приложения 1,2). Указанные системы обеспечивают фиксацию по всей иерархии целей точных ответов, используя "вопросник" философских категорий. Эта особенность указанных систем не бросалась в глаза, но по мере того как на смену одним системам приходили другие, выяснилась роль такого "вопросника". Философское основание использования категорий состоит в том, что любое суждение человека использует (сознательно или бессознательно) эти же категории. Категориальная пара "субъект-объект" фиксируется как ответ на вопрос "кому" и "что" именно поручено. Категориальная пара "пространство-время" фиксируется как ответ на вопрос "где" и "когда" указанное "что" должно быть сделано. Аналогичное положение с ответами на вопрос "сколько" средств (ресурсов) это потребует и знает ли исполнитель "как именно" практически достичь указанный результат.

 

Глава 5

ТОЧНЫЙ УЧЕТ И ОЦЕНКА ИМЕЮЩИХСЯ ТЕХНИЧЕСКИХ СРЕДСТВ

Величина транспортного потока колеблется, поэтому мы будем использовать часовую производительность, усредненную за один год.

О настоящее время транспортный поток принято оценивать тонно-километрами в час. Чтобы не порывать очень резко с имеющимися традициями, мы будем проводить все операции с двумя единицами измерения транспортного потока - в тонно-километрах в час и в транах в час.

Очевидно, что следует различать два вида транспортных потоков: брутто и нетто. Первый измеряется не только полезным грузом, но и массой технических средств; второй - измеряется только полезным грузом.

Для правильного измерения фактических услуг транспорта необходимо иметь такую величину, как скорость доставки груза, т.е. время от сдачи груза отправителем до момента предъявления груза получателю; разделив расстояние между пунктом отправления и пунктом получения груза на время от сдачи до предъявления груза получателю, мы и найдем скорость доставки. Произведение массы груза на скорость доставки образует элемент реального транспортного потока, измеряемого в тонно-километрах в час. Произведение массы груза на куб скорости доставки образует элемент транспортного (реального) потока, измеряемого транами в час.

Гарантированная скорость доставки обеспечивает связь с тарифной сеткой оплаты услуг транспорта. Соответствие тарифов существу транспортного процесса состоит в том, что удвоенная скорость доставки увеличивает тарифную ставку в 4 раза.

Опорной величиной для вычисления потенциально возможного транспортного потока, т.е. для вычисления технических возможностей системы транспортировки грузов, мы будем считать транспортную мощность подвижного состава. Это означает, что расчетная величина технических возможностей транспортной системы строится на следующих предположениях: весь подвижной состав (списочный) полностью исправен и полностью загружен, все двигательные установки работают на полную мощность.

Расчетная величина технических возможностей транспортной системы, полученная при указанных предположениях, дает нам верхний предел того, что может наблюдаться в данной транспортной системе при полном использовании всех технических средств. Эта величина может рассматри-ьаться как предельная величина фондоотдачи.

Кроме расчетной величины технических возможностей, существует Реальная величина транспортного потока, которая составляет лишь некоторую часть от расчетной величины. Эта реальная величина транспорт-Пого потока и характеризует то, что экономисты называют "фактическая величина фондоотдачи". По литературным данным известно, что в последнее время имеет место "снижение фондоотдачи". Настоящий подраздел пocвящeн анализу причин неполного использования технической возможности транспортной системы, который можно рассматривать как анализ причин "снижения фондоотдачи". Заметим, что фондоотдача в ее тради-ционном определении не предполагает конкретного анализа использования технических средств.

Очевидно, что принятые нами предположения для расчета технической возможности транспортной системы фактически не реализуются. Это дает возможность задать вопросы, на каждый из которых существует конкретный ответ:

1. Почему весь списочный состав технических средств не находится в исправном состоянии?

2. Почему весь списочный состав исправных технических средств не полностью загружен?

3. Почему при перевозке загруженных технических средств имеющаяся мощность двигательных установок используется не полностью?

В системе управления железнодорожным транспортом есть специалисты, которые способны ответить на эти вопросы. Более того, эти же специалисты и являются руководителями подпрограмм совершенствования транспортного процесса, т.е. обеспечивают конкретный ответ на вопрос: что делается, для того чтобы весь списочный состав находился в исправном состоянии, весь списочный состав исправных технических средств был полностью загружен, имеющаяся мощность двигательных установок полностью использовалась.

Разумеется, что отсутствие потребности в перевозках у народного хозяйства в целом не может быть вопросом, за который отвечают руководители железнодорожного транспорта. В этом случае "снижение фондо-отдачи" есть результат диспропорции между развитием транспортной системы и развитием других отраслей общественного производства.

 

5.1. ТЕХНИЧЕСКИЕ ВОЗМОЖНОСТИ И РЕАЛЬНАЯ ВЕЛИЧИНА ТРАНСПОРТНОГО ПОТОКА

В пределах "технических возможностей" транспорта можно рассматривать максимальную величину транспортного потока.

Как отмечалось, эта максимальная величина транспортного потока является произведением двух величин - массы перевозимого груза и скорости доставки, которая может входить линейно (это измеритель потока в тонно-километрах в час) или возводиться в куб (это измеритель потока в транах в час).

Методологическое значение максимальной величины транспортного потока состоит в том, что разность между максимальной и фактической (реальной) величинами транспортного потока может быть представлена суммой величин, образующих "дефекты" системы транспортировки грузов.

Использование в расчетах новой единицы измерения транспортного потока показывает путь увеличения скорости доставки грузов - не за счет увеличения технической возможности транспортной системы, а за счет сокращения времени хранения грузов, т.е. того времени, когда осуществляются вспомогательные операции. Известно, что 80% времени пребывания груза в пути он остается неподвижным на различных вспомогательных операциях. Но транспортная система не может рассматриваться как "склад" для хранения грузов. Груз сдается для перевозки, и в то время. когда он лежит, нет и самой услуги транспортной системы.

В отличие от материального производства, где имеется вещественный измеритель, в любой услуге, включая и транспортную, измерителем является при неизменном качестве скорость ее выполнения. Мерой же скорости выполнения любой услуги является величина полезной мощности, которая изменяется линейно от массы груза и кубически от скорости доставки. Достаточно "обратить в нуль" вспомогательные операции, как этот закон проявит себя в чистом виде - для увеличения скорости доставки в 2 раза нам придется увеличивать мощность технических средств в 8 раз.

Для получения количественной оценки общей величины транспортного потока при существующих технических средствах транспортировки грузов введем представление об идеальном грузовом составе. Подобное представление используется, когда говорят об абсолютно твердом теле, абсолютно черном теле, о пружине без массы и т.д. Идеальный грузовой состав - это обычный грузовой состав стандартных размеров. Он характеризуется следующими переменными:

1) полной массой состава Рп;

2) массой нетто полезного груза Рн;

3) мощностью двигательной установки Nn;

4) технической скоростью (при заданной массе и полном использовании мощности двигательной установки) Vт.

Для подобного идеального железнодорожного состава стандартных размеров примем следующие характеристики:

1) полная масса состава (брутто) 4 000 т;

2) масса нетто полезного груза 3 000 т;

3) мощность двигательной установки 4 000 кВт;

4) техническая скорость 60 км/ч.

Количество тонно-километров, которое получается при движении такого состава указанной скоростью за 1 ч, будет равно

3000 * 60 = 180 000 т * км/ч;

относительная скорость перемещения (отнесенная к базовой скорости 10 км/ч)

60:10=6;

произведение числа тонно-километров на квадрат скорости транспортировки

180 000 *(6)2 =6,5 * 106 тран/ч.

Теперь можно вычислить удельный транспортный поток на единицу мощности двигательной установки*.

Находим транспортную мощность, т.е. количество транов в час, которое при данном уровне железнодорожной техники можно получить на один киловатт установленной мощности двигательной установки:

 

Обратим внимание, что мы провели расчет транспортной мощности нетто. Фактически из-за массы тары, которая составляет около 25% от массы состава, транспортная мощность брутто выше, т.е. около 2,1 х 103 тран/(ч*-кВт).

Проведем сравнительный расчет потребной мощности транспортной системы при фиксированном количестве грузов и расстояний, которые характеризуют своеобразный заказ народного хозяйства на перевозку грузов, и скоростью доставки этих грузов. В качестве "базы" для вычисления этого заказа примем, что рассчитывается транспортная мощность на 5000 млрд т o км/год. Разделив эту величину на число часов в году, найдем количество тонно-километров за один час. Полученная величина будет равна 570 млн т *км/ч. Разделив эту величину на производительность стандартного состава, т.е. 180 000 т *км/ч, получим количество стандартных составов, равное 3170 шт. Так как каждый состав имеет установленную мощность двигателя 4000 кВт, то общая мощность двигателей окажется равной 12,7 млн кВт.

Вычисляемая таким образом транспортная мощность окажется в 36 раз выше, чем число тонно-километров в час, рассчитанное с учетом скорости доставки 60 км/ч. Если мы принимаем участковую скорость 30 км/ч, то нам понадобится в 2 раза больше стандартных составов, т.е. 6340. Однако полная величина потребляемой мощности в этом случае окажется в 4 раза меньше, т.е. 3,2 млн кВт. Это значит, что при установленной мощности двигателей на всех 6340 составах, равной 25,4 млн кВт, используется лишь 3,2 млн кВт. Фонды, которые вложены для получения 22,2 млн кВт, не используются. Какое это оказывает влияние на темпы роста производительности труда в системе общественного производства, мы рассмотрим ниже.

Еще хуже показатель использования имеющихся мощностей окажется в том случае, если использование производительной мощности отнести к фактической скорости доставки. Поскольку эта величина составляет только половину от указанной (около 15 км/ч), то показатель фонде-отдачи будет заметно ниже.

Предположим, что произведено 16,6 тыс. вагонов за квартал, что соответствует годовому выпуску порядка 65 тыс. Если считать грузоподъемность каждого вагона 60 т, то можно заметить, что этого количества достаточно для формирования 1100 стандартных составов. Это означает, что за 3 года мы выпускаем то количество вагонов, которое необходимо для расчетного грузооборота в 5000 млрд т *км/год. Полное использование тяги с общей мощностью порядка 13 млн кВт с указанным количеством вагонов и дает транспортную мощность,, которая соответствует указанному грузообороту. Подобная оценка технических возможностей транспортной системы позволяет не терять "за деревьями леса". Сотни и тысячи других показателей выполняют свою важную и нужную, но подсобную роль. Все они необходимы лишь тогда, когда вся совокупность показателей приведена в систему, позволяющую лучше использовать технические возможности. В силу названного обстоятельства выделение предельных технических возможностей (определяемых полнотой использования физической мощности технических средств) является первым шагом к разработке эффективной системы управления развитием и использованием транспортных средств.

Вычислительные машины не принимают участия в процессе перевозки грузов, они не предназначены для этой цели, но они позволяют лучше учитывать имеющиеся возможности технических средств и обеспечивать их более полную загрузку. Основное назначение любой машинной информационной системы состоит в сокращении разрыва между техническими возможностями и фактическим использованием этих технических возможностей в интересах народного хозяйства.

С другой стороны, если в качестве исходной методологической предпосылки мы упустим из вида, что это только первый шаг к решению проблемы увеличения темпа роста производительности труда, то наш анализ не даст экономического эффекта, который мы вправе ждать от применения вычислительной техники.

В первой части нами показана связь уровня производительности труда в системе общественного производства с величиной полезной мощности на одного работающего. Эта полезная мощность составляет некоторую долю от полной мощности (которая обозначена как абстрактная мощность) и может быть представлена как конкретная мощность. Эта конкретная мощность и измеряется величиной транспортного потока на одного занятого в системе железнодорожного транспорта. Для увеличения производительности труда в 2 раза нам необходимо увеличить величину транспортного потока на одного занятого в 2 раза. Такое увеличение транспортного потока на одного занятого может быть реально достигнуто через 12-18 лет, что соответствует увеличению транспортного потока на 6-4% в год. Разумеется, что этот рост транспортного потока возможен только тогда, когда мы имеем план развития транспортной системы на длительную перспективу. Это означает, что мы знаем результат каждого мероприятия по его влиянию на темп роста производительности труда. Такой план может быть создан как план увеличения технической возможности железнодорожного транспорта и как план сокращения разрыва между техническими и фактическими возможностями системы транспортирования грузов. Для получения таких оценок нам необходимо иметь возможность "обозревать" все положение дел в транспортной системе. Такой обзор может быть получен лишь с помощью зрительно воспринимаемой "карты" обстановки. Как создать такую "карту" организационной обстановки?

 

5.2. РАЗРАБОТКА КАРТЫ ОРГАНИЗАЦИОННОЙ ОБСТАНОВКИ

Создание базового документа всего комплекса машинных информационных систем является первым методологическим принципом проектирования любой системы управления. Требуется представить в ясно воспринимаемой форме организационную обстановку, обозревая которую руководитель любого уровня мог бы обнаружить тот элемент в системе, который требует его личного вмешательства.

Этот документ должен быть выполнен так, чтобы его форма не изменялась при переходе с одного уровня системы управления на другой. Такая стандартизация документа обычно и представляет наибольшую трудность. Очевидно, что в системе транспортировки грузов такой документ должен показывать (в соответствующем масштабе) соотношение между техническими возможностями системы транспортировки и ее реальными (используемыми) возможностями* Это означает, что одна из осей нашей системы представления данных должна показывать изменение с течением времени технических возможностей системы, а другая ось будет занята представлением соотношения между техническими возможностями (за данный интервал времени), принимаемыми за единицу, и реальными возможностями, которые образуют лишь некоторую часть от технических возможностей.

Как же сформировать такой документ, который должен иметь один и тот же вид и у министра, и у начальника отдельной дороги, и у начальника отделения дороги?

По оси ординат мы будем откладывать изменение технических возможностей транспортной системы. Необходимо выяснить размерность этой величины. Если откладывать по этой оси величину технической производительности труда, выражая ее как возможную полезную мощность на одного занятого,, то эта величина могла бы иметь размерность киловатт на человека. Она уже встречается в некоторых документах и обычно называется энерговооруженностью труда. Мы полагаем, что рост этой величины имеет место во всех областях общественного производства. Хотя рост производительности труда и связан с ростом энерговооруженности, имеющаяся энерговооруженность используется лишь частично. Только используемая часть энерговооруженности и может образовать фактическую величину транспортного потока. Устанавливая связь между абстрактной и конкретной мощностью, т.е. получая коэффициент перехода от величины мощности к соответствующему этой величине транспортному потоку, мы можем выражать производительность труда в любой системе транспортировки грузов единицами тран на человеко-час. или тран на человеко-год,

Эта размерность может получиться в результате произведения удельного транспортного потока, измеряемого в транах в час на киловатт, и энерговооруженности одного работающего, измеряемой в киловаттах на человека.

Вполне возможно, что такой показатель и может характеризовать ось ординат нашего выходного документа. Мы полагаем, что пока для большей связи с существующими показателями по оси ординат можно откладывать грузоподъемность технических средств для транспортировки грузов. Здесь мы встречаем первое затруднение: откладывать эту техническую грузоподъемность с учетом или без учета тяги? Можно откладывать суммарную грузоподъемность всего вагонного парка. В этом случае мы не будем знать, имеется ли для данной грузоподъемности необходимая тяга. Наоборот, если мы на этой оси откладываем имеющуюся тягу, то эта величина должна быть обеспечена наличием вагонного парка. Введенное в подразд. 1 понятие идеального грузового состава и может служить таким связующим звеном между величиной тяги и потребностями в вагонном парке.

По оси ординат отложим общую грузоподъемность технических средств, исходя из абсолютной величины мощности тяги, т.е, грузоподъемностьвсегда считается пропорциональной мощности тяги, выражаемой в кило-ваттах.

для более четкой визуализации изображения на "карте" организационной ситуации мы будем записывать логарифм грузоподъемности как величину, пропорциональную мощности тяги.

Базовое соотношение, которое используется в этом случае, имеет вид:

1 млн кВт. тяги -> 250 стандартных составов грузоподъемностью 750 тыс. т->12 500 вагонов.

В приведенном расчете мы исходили из мощности 10 млн кВт и общей грузоподъемности 7,5 млн т, или парка в 125 000 ваногов (60 т).

На оси абсцисс мы будем откладывать логарифм скорости доставки грузов. Эта величина не находится под нужным контролем, но вместо нее часто используют эквивалентную величину - скорость продвижения груза, измеряемую километрами в сутки. Поскольку наше изображение относится к одному часу, мы получим нужную величину, если разделим скорость продвижения груза на число часов в сутках. По данным * С .М. Резерв, в 1973 г. эта скорость равнялась 202, а в 1974 г. - 211 км/сут. Это означает, что в 1973 г. скорость доставки была равна 8,42, а в 1974 г. - 8,79 км/ч.

В 1973 г. годовой грузооборот составил 2958 млрд т o км/год, что соответствует часовому грузообороту 338 млн т o км/ч. Поскольку часовой грузооборот можно представить как произведение полной массы груза на среднюю скорость продвижения, можно найти величину груза, который "продвигается" с вычисленной скоростью. Разделив часовой грузооборот на скорость продвижения, мы и получим массу груза, который уже передан для транспортировки:

338 : 8,42 =40,1 млн т.

Поскольку скорость движения поездов на участке составляет около 33 км/ч, то полученная величина показывает, что 75% грузов, принятых железной дорогой для перевозки, фактически лежит без движения. Увеличение скорости доставки грузов может быть достигнуто двумя путями - либо увеличением скорости движения поездов, либо сокращением времени, в течение которого груз не перемещается. Здесь мы и должны вспомнить о новых единицах измерения. При увеличении скорости движения реального состава нам необходимо увеличить расход энергии пропорционально кубу скорости. Нет ли возможности увеличить скорость доставки, не увеличивая скорости движения поездов, за счет ликвидации причин, препятствующих передвижению груза? Что обойдется народному хозяйству "дешевле": увеличение скорости движения или ликвидация причин задержки груза на конечных операциях и сортировке составов?

Для сопоставимости этих величин мы откладываем по оси абсцисс скорость доставки.

Предельная производительность транспортной системы предполагает, что все грузы, передаваемые на железную дорогу, сразу вводятся в транспортный поток. Разность между технической и фактической скоростями Доставки и составляет тот организационный резерв, который должен постоянно находиться в поле зрения руководителя любого уровня.

Рис. 6. Паспорт транспортной системы (в т*км/год)

Этот эффект достигается введением своеобразного "паспорта" на транспортную систему. На номограмме представляют численные значения логарифма списочной грузоподъемности и численные значения логарифма скорости доставки грузов получателям. Разность между технической и фактической скоростями доставки объясняется рядом причин, по которым технические средства транспорта не наблюдаются в реальном транспортном потоке.

Документы у министра и начальника отдельной дороги различаются величиной грузоподъемности. Шкала скоростей доставки на всех "картах" остается той же самой. В этом и состоит различие подобной "карты" у начальников отделений той или иной дороги (рис. 6).

Название "паспорт" соответствует понятию "паспорт промышленного предприятия", в котором должна указываться предельная производительность оборудования предприятия при полной загрузке производственных-мощностей. Этой величине и соответствует предельная величина транспортного потока.

Рассмотрим изменения, которые произойдут на "карте" организационной обстановки, если мы будем измерять транспортный поток не в тонно-километрах в час, а в транах в час.

С этой целью вернемся к уже приведенному примеру. В 1973 г. часовой грузооборот был равен 338 млн т *км. Для вычисления действительной услуги транспорта, как указывалось, необходимо умножить эту величину на относительную скорость доставки, возведенную в квадрат. Так как скорость доставки меньше, чем базовая скорость 10 км/ч, то квадрат отношения фактической скорости доставки (8,42 : 10 =0,842) равен 0,71. Транспортная работа за час оказывается равной

338 * 106 * 0,71 =234 * 106 тран/ч.

Переход к новым единицам измерения позволяет соизмерять влияние служб железнодорожного транспорта по их влиянию на общую производительность всей системы. Установление тарифных ставок на оплату в оез работу транспорта в транах позволит оценивать эффективность капиталовложений в механизацию погрузочно-разгрузочных работ, в удлинение станционных путей и тл. по влиянию этих влажений на общую скорость доставки,

Очень важно освоить правила перехода от традиционных тонно-километров в час на новую единицу услуг транспорта. Новая единица отражает производительность в транах в час на один киловатт установленной мощности двигателя. Для используемой расчетной производительности на 1 млн кВт тяги (что соответствует 250 стандартным составам) по 1,6 *103 тран/(ч * кВт) мы должны иметь часовую производительность 1,6 * 109 тран/ч. Сравнивая эту величину с рассчитанной 0,234 * 109 тран/ч, мы видим "невязку" между возможностями техники и их использованием из-за "узких" мест" в обеспечивающих службах.

Работа транспортной системы определяется произведением полезной мощности на время занятия транспортного средства, т.е. при уменьшении скорости в 2 раза расход горючего (пропорциональный фактической мощности двигателя) уменьшается в 8 раз, но при этом увеличивается время в пути в 2 раза. Полная работа доставки груза к месту назначения при снижении скорости в два раза оказывается не в восемь, а в четыре раза меньше. Это означает, что объем работы, выполняемый транспортной системой, пропорционален квадрату скорости доставки.

Допустим, что "идеальный грузовой состав "перевозит 3000 т груза на расстояние 600 км. Очевидно, при скорости 60 км/ч полная мощность двигателя, равная 4000 кВт, будет использоваться на протяжении 10 ч, т.е. полный расход энергии будет равен 40 000 кВт o ч.

При уменьшении скорости в два раза, т.е. до 30 км/ч, мощность двигателя уменьшится, в восемь раз и в восемь раз уменьшится часовой расход энергии. Но теперь время, в течение которого будет расходоваться меньшая мощность, возрастет в два раза. Вычисляемая мощность при снижении скорости в два раза будет равна 500 кВт. Время в пути теперь будет равно не 10, а 20 ч. Произведение мощности на время в пути дает полный расход энергии 10000 кВт *ч, т.е. в четыре раза меньше, чем при скорости 60 км/ч.

Установленная связь между объемом работы транспортной системы и величиной потребляемого потока энергии и позволяет вычислять часовой объем работы, выражаемый транами в час. Эта квадратичная зависимость объема работы транспорта, пропорциональная квадрату скорости, представлена на рис. 7. Видно, что, используя полную мощность двигательной установки, мы могли бы перевозить в восемь раз больший груз при уменьшении скорости в два раза, но время, которое потребуется для доставки, оказывается в два раза больше, полезная работа в единицу времени только в четыре раза больше.

Увеличение затрат энергии, связанное с увеличением скорости движения, пропорциональное квадрату скорости, позволяет представить объем часовой работы транспорта в транах. Отличие нового представления часовой работы транспорта от предыдущего представления в тонно-километрах состоит в том, что масса груза, расстояние и скорость доставки входят в полезный результат иначе: масса и расстояние входят линейно, а скорость доставки в квадрате. Сохраняя массу груза без изменения и оставляя расстояние тем же самым, мы обнаруживаем, что полный расход энергии, или топлива на выполнение той же самой услуги транспорта растет пропорционально квадрату скорости. Это означает, что износ двигателя и износ пути пропорциональны этой же величине. Соответственно и аммортизационные отчисления должны производиться пропорционально квадрату скорости.

Р и с. 7. Паспорт транспортной системы (в тран/ч)

Только тщательное изучение явлений износа технических средств и выделяет особенное значение фактора скорости доставки, отличая его количественно от другого фактора, связанного с массой груза. Масса груза и скорость транспортировки по-разному влияют как на расход горючего, так и на износ основного оборудования. Именно в этом и состоит ошибочность использования тонно-километров, в которых масса и скорость входят в конечный результат услуг транспорта на равных правах.

Вычисляемая транспортная мощность потому и называется транспортной, что она вычисляется на единицу пути транспортировки. Поскольку при скорости 60 км/ч за 1 ч состав проходит 60 км пути, а при скорости 30 км/ч только 30 км пути, то расход горючего на 1 км пути и оказывается пропорциональным не кубу, а квадрату скорости. Именно на этом и основан метод измерения работы транспорта в единицах, которые мы назвали гранами. Траны измеряют специфическую полезную работу транспорта по перемещению грузов.

Одним из первых проявлений потребности учитывать скорость транспортировки грузов явились работы Н.Г. Винниченко* и К Д. Королевой.

Н.Г. Винниченко для оценки работы железных дорог предложил показатель, включающий три величины измерения транспортного процесса: массу, расстояние и время (перемещение одной тонны груза на один километр за минуту). Тысяча таких единиц была названа им транспортной единицей количества движения, сокращенно ТЕД (т *км2/мин).

КЛ. Королева, в свою очередь, предложила некоторое "транспортное действие", которое определялось как произведение числа тонно-километров на скорость. В этом случае единицей транспортной работы является произведение числа тонно-километров на скорость. На это "транспортное действие" и относились все затраты.

Г. Поттгофф* пишет об этом:

"Для того чтобы одновременно учесть массу, путь и скорость, вводится показатель транспортного действия ML2/T. как произведение транспортной работы ML и скорости L/T, или же как производительность транспорта ML/T, умноженная на путь L. На железных дорогах Советского Союза эта величина использовалась как показатель работы в диспетчерской службе. Показатели, обозначенные как транспортные единицы, сравниваются с себестоимостью и позволяют быстро определять экономию. Показатель транспортного действия оправдал себя также при сравнительном рассмотрении транспортных самолетов и при сравнении эффективности различных транспортных средств. Его можно использовать при оценке мероприятий по рационализации работы".

Таким образом, в обоих случаях тонно-километры уже не являются равноправными, а имеют коэффициент, пропорциональной скорости. При увеличении скорости в два раза при том же числе тонно-километров ТЕДы и "транспортное действие" считаются в два раза большими.

Если сравнивать транспортную работу, выраженную в единицах, предложенных Винниченко и Королевой, и в транах, то можно видеть - различие состоит в том, что в первом случае число тонно-километров входит пропорционально скорости, а во втором - квадрату скорости.

Вернемся к нашему примеру со стандартным составом.

Вес состава 3000 т, расстояние 600 км. В первом случае скорость 60 км/ч, а во втором случае - 30 км/ч.

Общее число тонно-километров в первом и втором случаях одно и то же и равно 3000 *600 = 1 800 000 т *км.

Однако сомножитель в первом случае будет (60 км/ч)2 = 3600, а во втором случае (30 км/ч)2 = 900. Здесь мы видим, что полезный эффект от скорости во втором случае в четыре раза меньше, чем в первом.

В методах Винниченко и Королевой эти два примера различаются транспортной работой только в два раза (табл. 2).

Проведенное рассмотрение показывает, что показатель полезной работы транспорта включает в себя такую привычную характеристику, как количество тонно-километров. Но эта характеристика недостаточна для правильной оценки работы транспорта.

Введение новой единицы измерения работы транспорта - трана - позволяет не только оценивать эффективность железнодорожного транспорта, но и сопоставлять производительность транспортных систем на киловатт установленной мощности. При измерении объема работы в тонно-километрах, когда мы пренебрегаем скоростью доставки, некоторые виды транспорта считаются "дешевыми", а некоторые "дорогими".

Таблица 2

Транспортная работа в различных единицах измерения

Типичным примером "дешевой" транспортной системы является трубопроводный транспорт как транспорт непрерывного действия. При вычислении работы трубопроводного транспорта мы должны вычислить работу в тонно-километрах и полученную величину умножить на квадрат скорости движения газа или нефти по трубопроводу. Если принять за единицу скорости транспортировки величину 5 км/ч, то полученную работу в тонно-километрах нам нужно умножить на квадрат скорости. Значит, вместо одного тонно-километра получим работу транспортировки, равную 25 гранам.

Допустим, что мы хотим увеличить "пропускную способность" трубопровода. Это можно сделать, если увеличить скорость движения до 10 км/ч. Теперь, поскольку длина трубопровода осталась без изменений, а количество тонн нефти, переданных через трубопровод, удвоилось, работа, "измеренная" в тонно-километрах, также удвоилась. Добавляя сомножитель, который характеризует скорость доставки в квадрате, получим увеличение "транспортной мощности" в восемь раз. Пропорционально этой величине и должны быть увеличены мощность компрессорных станций, расход энергии на перекачку и износ оборудования.

Зная, какой "ценой" оплачивается увеличение скорости доставки при увеличении скорости движения технических средств, обратим внимание на другие факторы, являющиеся причиной несоответствия скорости доставки действительной скорости перемещения груза. Такие факторы, как снижение времени на погрузку и выгрузку, на оформление проездных документов и т. п., могут увеличить скорость доставки, не требуя оплаты увеличения транспортной услуги по кубическому закону.

Изображая на рис. 6 и 7 технические возможности транспорта в виде полной мощности двигателей наличных транспортных средств, мы на отметке, соответствующей технической скорости в 60 км/ч, найдем полную мощность имеющейся транспортной системы. На отметке, соответствующей реальной скорости доставки, найдем фактическую мощность транспортной системы. Разность между техническими и реальными возможное" тями и будет представлять "дефекты" системы управления транспортом. Это будут "внутренние резервы" совершенствования всей системы управления транспортом.

 

5.3. ПРЕДЕЛЬНЫЕ ТЕХНИЧЕСКИЕ ВОЗМОЖНОСТИ

До сих пор наше внимание было сосредоточено на предельных технических возможностях транспортной системы, которые определялись только техническими возможностями тяги или подвижного состава. Фиксируя внимание на предельных технических возможностях тяги, мы стремились показать, что в любом в производственном процессе всегда существует верхний предел возможного объема производства, который ограничен физической мощностью используемых технических средств.

Эта связь между мощностью и скоростью процесса (частным случаем которого является любой производственный процесс) вытекает из закона сохранения энергии.

Когда какое-то количество энергии перешло от одной части системы к другой, мы фиксируем некоторое изменение. Очевидно, что чем выше скорость этого перехода энергии (а мерой скорости перехода энергии и является величина мощности), тем быстрее система переходит в новое состояние. При нулевом потреблении мощности никакой транспортный процесс не возможен.

С другой стороны, полная величина всех возможностей по техническим средствам сама является ограниченной величиной суммарного энергопотребления. Это означает, что любая подсистема общественного производства образует часть от общего энергопотребления всей системы общественного производства. Предельные технические возможности транспортной системы могут определяться через эту величину полного энергопотребления. Само полное энергопотребление на нужды транспорта включает как энергопотребление тяги или подвижного состава, так и энергопотребление на изготовление тяги и подвижного состава, ремонт и прокладку новых путей, погрузочно-разгрузочные механизмы и т. д.

Прирост фактической услуги со стороны транспортной системы допускает маневр этим общим энергопотреблением, выделяя большую или меньшую часть на тягу, а оставшуюся часть на прочие обеспечивающие нужды.

Необходимым элементом анализа технических возможностей транспортной системы является соизмерение энергетических затрат на тягу и тех же самых энергетических затрат на "обеспечивающие" нужды. Разумеется, что к числу "обеспечивающих" служб относится и использование вычислительной техники для управления транспортным процессом. Что оказывается экономичнее: создание дополнительной тяги или использование вычислительных машин для управления транспортным процессом?

Таким же образом ставится вопрос: что выгоднее в экономическом смысле - увеличение тяги или строительство подъездных путей? Увеличение тяги или выпуск дополнительных погруэочно-разгрузочных средств?

Ответ на вопросы, что выгоднее в экономическом смысле, неявно предполагает, что мы располагаем научно-разработанной системой цен. В этом случае все затраты и все результаты выражаются через одну и ту же единицу измерения - рубли. Проблема ценообразования пока еще далека от своего решения, и это приводит к необходимости решения той же задачи через другие единицы измерения. Такой измеритель можно найти в результате анализа суммарного энергопотребления. Фактически речь идет о дополнении наших планов системой энергетического баланса всего общественного производства. Такой баланс представляет собой связующее звено между техническими возможностями общественного производства и финансовым бюджетом народного хозяйства.

Энергетический баланс системы общественного производства указывает нам величины, которые не попадали в поле зрения традиционного экономического анализа. Рассматривая перспективную программу развития транспорта, ориентированную на удвоение производительности труда, т. е. на интервал порядка 15 лет, мы обнаруживаем потребность в точном знании времени жизни используемых технических средств. Классический подход всегда фиксирует наше внимание на общественно необходимом времени, которое требуется на изготовление того или иного технического средства. Взгляд в будущее показывает, что требуется для каждого технического средства еще одно время - полное время жизни этого же технического средства. Простейшим примером такого показателя явилась. величина "ходимости шин". Некоторые шинные заводы, при сохранении той же себестоимости, увеличили "время жизни" шин. Второй пример такого же типа относится к двигателестроению. Известно, что некоторые предприятия увеличивают моторесурс двигателей. Это означает, что двигатель той же мощности может проработать большее время без потреби ности в ремонте. Заметим, что моторесурс двигателя измеряется 6-8 тыс. ч. Это означает, что за интервал времени порядка 15 лет подобный ресурс будет выработан около 10 раз! Как найти оценку, пользуясь которой можно определить, когда этот двигатель уже не следует отправлять в очередной ремонт?

Предельные технические возможности, как ясно из изложенного, включают в себя предельную производительность полностью исправного технического средства, но не ограничиваются только этой величиной. Предельные технические возможности рассматривают еще и времена жизни соответствующих технических средств. Чем выше надежность, например, технических средств тяги, тем меньшая часть физической мощности транспортной системы будет расходоваться на поддержание той же самой технической возможности.

Здесь мы встречаемся с вычленением условия поддержания предельной технической возможности транспортной системы. Это условие поддержания предельной технической возможности транспортной системы является не чем иным, как элементом простого воспроизводства. Равенство скоростей выбытия технических средств и скоростей их пополнения и определяет понятие простого воспроизводства. К сожалению, все пополнение технических средств (что существенно для машинной информационной системы) для нужд транспорта до сих пор носит название "капиталовложений". Тем самым мы утрачиваем весьма важный компонент, отделяющий процесс поддержания предельных технических возможностей транспорта от процесса увеличения предельных технических возможностей системы транспортировки. Исправить это положение можно введением понятия времени жизни соответствующего технического средства.

Мы уже отмечали насущную потребность во введении второй "временной" оценки, соответствующей гарантированному сроку службы, или времени жизни. Подобно тому как общественно необходимое время на изготовление того или иного предмета определяется не только физическим временем на процесс изготовления, а включает в себя и общественное время, которое образует переносную стоимость капиталовложений, так и гарантированное время жизни определяется не календарным временем, а временем экономического использования. Выше мы приводили такое понятие, как моторесурс двигателя. Можно считать, что при непрерывном использовании полной мощности дизеля он может проработать 6-8 тыс. ч. Однако если этот же дизель используется только 8 ч в сутки, то его календарное время жизни оказьюается равным трем годам.

Предельные технические возможности транспортной системы можно считать сохраняющимися, когда обеспечивается равенство скоростей выбытия и новых поступлений. Сохранение предельных технических возможностей на постоянном уровне кардинальным образом отличается от "сохранения" некоторого предмета на складе.

Сохранение предельных технических возможностей всей системы железнодорожного транспорта осуществляется за счет дополнительных работ по замене подвижного состава, восстановлению пути, логруэочно-разгру-зочных механизмов, кадров. Принимая численность занятых на железнодорожном транспорте, равной 3,5 млн чел., и максимальное время работы 40 лет, мы получаем потребность в "восстановлении" численности работающих 87 500 чел./год. Если же время работы на транспорте окажется равным только 35 лет, то простое "восстановление" кадрового состава железнодорожного транспорта потребует 100 тыс. чел./год.

Подобный процесс замены подвижного состава, погруэочно-разгрузоч-ных механизмов и т. д. соответствует традиционной схеме простого воспроизводства. Изменение технических средств (увеличение их надежности или долговечности) приводит к тому, что "скорость выбытия" уменьшается и соответствующее "восстановление" требуется в меньших размерах. Отражением этого процесса в стоимостном выражении и является величина амортизации. Поскольку величина амортизации вытекает из технических характеристик, норматив амортизации не может не зависеть от разработки и фактической эксплуатации технических средств.

Включение в рассмотрение предельных технических возможностей всей транспортной системы схемы амортизации приводит к выделению в системе железнодорожного транспорта полной совокупности технических средств, которые характеризуют предельную производительность технической системы. До сих пор еще имеется рассогласование между нормой амортизации и фактическим использованием технических средств. Природа амортизационных отчислений такова, что стоимость капиталовложений "переносится" лишь на фактическую услугу транспорта. Если техническое средство по той или иной причине не используется, а амортизационные отчисления идут, то наблюдается эффект снижения фондом отдачи, но из этого факта не следуют практические рекомендации. Такие практические рекомендации следуют из прямого рассмотрения жизненного цикла технического средства, а для большинства применений из использованного ранее понятия времени удвоения.

Фиксируя предельные технические возможности тяги за один год, мы найдем мощность на поддержание тяги в течение года, а от этой величины можем перейти к расчету дополнительной мощности на поддержание постоянной величины мощности тяги.

Для графического представления соотношений между эксплуатационными затратами, амортизацией, ремонтом и фактическим использованием технических средств рассмотрим эти соотношения по отношению к выпуску тепловозов. Положим, что за один год мы производим тепловозы с общей тягой мощностью в 3 млн кВт. Общие капиталовложения в 1 кВт тяги тепловоза составляют около 90 руб. Это дает затраты на производство тепловозной тяги за 1 год порядка 270 млн руб.

Для получения этих же величин, но выраженных в терминах мощности, мы ранее обозначили связь между денежными единицами и киловатт-часом соотношением: 1 кВт * ч = 1 коп, т. е. 100 кВт *ч = 1 руб.

Суммарные затраты энергии на выпуск всех тепловозов за 1 год теперь будут равны 270 млн руб. = 27 млрд кВт o ч. Поскольку в году 8760 ч, мощность на производство этих тепловозов за 1 час составляет 3,1 млн кВт. Эта мощность потребляется системой железнодорожного транспорта на выпуск тепловозов, но не входит в мощность, потребляемую тягой на фактических перевозках. Именно эта мощность и "переносится" в форме амортизационных отчислений в виде некоторой доли. Величина же этой доли зависит от надежности самих технических средств. Если время жизни тепловоза равно 5 лет, то доля составит 600 тыс. кВт. Если время жизни тепловоза 10 лет, то соответствующая доля составит 300 тыс. кВт.

Формальное установление доли амортизационных отчислений не стимулирует разработчиков технических средств к созданию более экономичной тяги. В первой части нашей работы мы рассматривали экономическую эффективность капиталовложений по их влиянию на темпы роста производительности труда в системе общественного производства. Теперь мы имеем возможность использовать эти данные для установления связи между надежностью, амортизацией, ремонтом и эксплуатационными затратами по парку годового выпуска тепловозов. Для этой цели и затраты, и "результаты" мы будем выражать параллельно - в денежных единицах и в единицах мощности, которые образуют "незримый фундамент" экономической надстройки.

Чтобы пояснить процесс установления связи между денежными единицами и единицами мощности (измеряющей предельные технические возможности) , напомним различные функции денег. Мы встречаемся не просто с различными функциями денег, а с тремя различными величинами. Если за основную единицу принять деньги как сокровище, то единица измерения будет просто рубль. В тот момент, когда мы начинаем рассматривать деньги как средство платежа, мы встречаемся со скоростью. Непрерывное следование платежей во времени приводит нас к величине денежного потока. Принимая единицу денежного потока в виде рубля в час, мы замечаем, что суммировать потоки и запасы мы не имеем права. Кроме названных функций денег, есть и такая, как самовозрастающая стоимость - капитал. Этой функции соответствует новая величина, которая может рассматриваться как изменение денежного потока за единицу времени. Она обычно измеряется в виде ежегодного процента роста денежного потока.

Соотношение между денежной (рубль) и энергетической (киловатт-час) единицами является соотношением между измерениями в функции сокровища такой функцией мы встречаемся при определении товарного запаса, или объема капиталовложений.

С функцией денежного потока мы встречаемся в виде потока затрат: на производственный процесс, выплату заработной платы (рубли в месяц), скорость продаж (рубли проданного за месяц) и т. д.

Этой функции денежного потока и соответствует либо потребляемая (поток затрат), либо выходная мощность (в виде потока продаж). Подобно тому как денежный поток имеет размерность деньги за единицу времени энергетический поток в единицу времени соответствует некоторой величине мощности. Денежному потоку с размерностью рубли в час соответствует мощность в киловатт-часах в час, где часы в числителе и знаменателе сокращаются и мы получаем мощность в киловаттах.

Денежный поток в виде 1 руб./ч соответствует мощности в 100 кВт. В этом смысле 1 млн кВт соответствует "выпуску" продукции со скоростью 10 00 руб./ч.

Положим, что годовой бюджет страны 200 млрд руб./год, это соответствует "часовому потоку" 2 *1011 : 8760 = 23 млн руб./ч. Переходя от часового денежного потока к эквивалентной мощности, мы получим, что эта величина денежного потока соответствует мощности всей системы общественного производства 2, 3 млрд кВт. Если фактическая величина имеющейся в общественном производстве мощности на самом деле не такова, то будет обнаружено некоторое несоответствие масштабов. Если мощности окажутся меньше, то покупательная способность рубля будет ниже. Если мощности окажутся больше, то покупательная способность рубля окажется выше, чем следует из номинала.

Эти несоответствия и открывают механизм девальвации и ревальвации при использовании в качестве измерителя денежных единиц.

Рассмотрим темпы роста как "денежного потока", так и мощности на одного занятого в системе общественного производства. Последняя величина и является первым приближением к понятию "темп роста производительности труда в системе общественного производства".

Традиционное выражение прироста общественного богатства как прироста годового бюджета, измеряемого в процентах в год, и соответствует темпу роста мощности в системе общественного производства. Этот темп роста мощности зависит от того, как мы используем имеющиеся мощности: если используем плохо, то темп будет маленький, если хорошо - то высоким.

Наиболее полное использование технических мощностей и является той базой, на которую опирается темп роста производительности труда в системе общественного производства.

Завершая данный подраздел, приведем соотношения трех экономических (деньги, денежный поток, темп роста денежного потока) и соответствующих им физических (энерия, мощность и темп роста мощности) величин:

1. Деньги (как сокровище, запас) 1 руб.== 100 кВт*ч
2. Денежный поток 1 руб./ч == 100 к Вт
3. Темп роста денежного потока 1%/год= 1%/год




5.4. СВЯЗЬ ЭФФЕКТИВНОСТИ С ПОЛНОТОЙ ИСПОЛЬЗОВАНИЯ ТЕХНИЧЕСКИХ ВОЗМОЖНОСТЕЙ

Рассмотрим связь между предельными техническими возможностями и экономической эффективностью при изготовлении и использовании тепловозов. Положим, что мы изготовляем за один год тепловозы с общей мощностью 3 млн кВт. Исходя из действующей системы цен на тепловозы, мы можем вычислить капиталовложения в каждый киловатт установленной мощности в тяговом хозяйстве железной дороги. Эта величина на 1 кВт установленной мощности тяги составляет 90 руб. Общая стоимость всего годового выпуска составляет 270 млн руб.

Воспользуемся принятым соотношением 1 руб.= 100 кВт * ч.

Выпуск тепловозов за год соответствует тому, что народное хозяйство израсходовало 27 млрд кВт * ч. В результате деления этой величины суммарных энергетических затрат на число часов в году мы получим потребление энергии тепловозостроительными заводами в один час, т. е. мощность, потребляемую на выпуск тепловозов.

Общая величина потребляемой мощности составляет

27 *109 : 8760 = 3.1 млн кВт.

Это соотношение между мощностью и годовыми затратами на производство тепловозов следует из того, что каждый миллион киловатт при использовании на протяжении 8760 ч в году дает 8.76 млрд кВт*ч, что соответствует 87,6 млн руб. в год.

Изготовленные тепловозы сами являются источниками мощности, используемой на перемещение грузов. В этом смысле каждый установленный киловатт тяги в принципе может за 8760 ч в году совершить полезную работу тяги на 8760 кВт * ч. Эти 8760 кВт * ч тяги есть фактический вклад железнодорожного транспорта в систему общественного производства. Если их также считать по прежнему правилу, то это дает "выпуск" в виде 87,6 руб./год.

Однако чтобы эти 8760 ч установленный киловатт фактически проработал, нам необходимо расходовать топливо, нести расходы на заработную плату обслуживающему персоналу и т. д. Этот годовой расход может быть выражен как рублями за год, так и эквивалентной величиной мощности, как бы расходуемой на собственные нужды (последний показатель используется на электрических станциях). Принимая во внимание, что мы имеем новый тепловоз, можем вычислить эксплуатационные затраты на один киловатт установленной мощности в предположении, что техническая мощность дизеля используется полностью на протяжении всего года.

Расход топлива составляет порядка 200 г/ (кВт * ч). Это означает, что расход горючего на 1 кВт составит 1,8 т/год. Весь парк локомотивов потребует 5,4 млн т топлива в год. Проводя несложные вычисления, получим величину эксплуатационных затрат в год около 105 млн руб.

Переходя от годовой суммы эксплуатационных затрат к эквивалентной ей величине в кВт * ч, получим годовой расход 10,5 млрд кВт * ч. Переходя от годового к часовому расходу будем иметь:

10,5 *109 : 8760 = 1,2 млн кВт

Рис. 8. Зависимость срока окупаемости от полноты использования технических средств

Рассмотривая идеальные условия эксплуатации дизельной тяги, найдем что для получения мощности тяги в 3 млн кВт нам необходимо расходовать на эксплуатацию 1,2 млн кВт.

Обратим внимание, что мы не учитываем необходимости выполнения ремонта и приобретения запасных частей.

Полученные нами данные достаточны для вычисления эффективности по действующей инструкции, т.е. для вычисления срока окупаемости.

На рис. 8 представлены соответствующие графики.

В интервале времени, который кончается на отметке 1 год, мы представляем стоимость капиталовложений на изготовление локомотивов с общей мощностью 3 млн кВт. Общая сумма капиталовложений равна 270 млн руб., что соответствует в единицах энергии 27 млрд кВт * ч. Начиная с первого года мы вступаем в эксплуатационный период. При выходной мощности тяги 3 млн кВт мы несем эксплуатационные затраты, равные 105 млн руб./год, т.е. расходуем мощность в 1,2 млн кВт. Разность между выходной и потребляемой мощностью и соответствует "выпуску" транспортной продукции, равной 1,8 млн кВт. Переходя от мощности в кВт к денежному выражению, найдем (по цене 1 коп. за 1 кВт -ч) "доход" от выпуска в 15,8 млрд кВт * ч/год, или 158 млн руб./год. Находим на графике место, где годовой доход равен сумме капиталовложений, т.е. 270 млн руб,

Нетрудно видеть, что срок окупаемости будет равен около 1,7 года.

Рассмотрим теперь влияние на срок окупаемости полноты использования предельных технических возможностей. Представим себе, что полные технические возможности (в виде тяги в 3 млн кВт) используются только на 2/3, т.е. выходная мощность тяги равна только 2 млн кВт. В этом случае эксплуатационные расходы также сократятся до 2/3 и составят не 1,2 млн кВт, а только 800 тыс. кВт, что соответствует годовому расходу на эксплуатацию 70,1 млн руб. Выходная мощность, т.е. скорость "выпуска" транспортной продукции, теперь составляет 1,2 млн кВт, т.е. 105,1 млн руб./год. Срок окупаемости составит 270 : 105,1 =2,6 года. Рассмотрим третий случай, когда парк локомотивов используется на 1/3, т.е, выходная мощность тяги равна только 1 млн кВт. В этом случае эксплуатационные расходы сократятся до 400 тыс. кВт, т.е. до величины 35 млн руб,/год. Срок окупаемости в этом случае будет равен 270 : 52,5 =5,1 года.

Проведенные простые расчеты показывают, что срок окупаемости локомотива, хотя и зависит от технических характеристик самого локомотива, но в основном определяется техническим режимом его эксплуатации. Имеющаяся связь между предельными техническими возможностями тяги и традиционной экономической характеристикой - величиной фондоот-дачи - не была бы замечена" если бы мы не перешли к более удобным единицам измерения*.

Проведенные расчеты можно интерпретировать и иным способом. Вычисляя себестоимость одного киловатта установленной мощности, мы неявно предполагали, что этот киловатт фактически является источником мощности. Если имеющийся киловатт не работает, то здесь мы имеем дело с так называемым нескладируемым ресурсом. Нельзя "вернуть" назад тот час, который уже прошел, если этот киловатт не использовался. Это является безвозвратной потерей. Если мощность локомотивного парка используется только на 66%, мы можем считать, что у нас "увеличились" капиталовложения в фактический киловатт. Поскольку вместо 3 млн кВт используемая нами мощность составляет 2 млн кВт, а суммарные капиталовложения остались теми же, т.е, 270 млн руб., то на фактически используемый киловатт теперь приходится не 90, а 135 руб. При использовании же 33% на фактический киловатт приходится не 90, а 270 руб,

Проведенное нами рассмотрение не дает ответа на вопрос о времени жизни локомотивов, т.е. не дает указания, когда локомотив должен быть снят с эксплуатации. И это не случайно. Как показано в первой части, это возможно только в том случае, когда, кроме приведенных в расчете срока окупаемости, трех функций, в рассмотрение будут приняты еще две функции времени. Мы имеем в виду функцию нарастания простоев по причине износа оборудования и функцию нарастания затрат на запасные части и ремонт.

На рис. 9 воспроизведены три функции времени, которые были приведены на рис. 8: функция затрат на изготовление парка локомотивов с общей мощностью на ободе колеса в 3 млн кВт; функция "выходной мощности" в 3 млн кВт, получаемая в предположении работы локомотива 8760 ч в году; функции эксплуатационных затрат в 1,2 млн кВт, получаемая в предположении использования локомотива 8760 ч/год.

Обозначим функцию капиталовложений f1 (t), интеграл которой от 0 до 1 является константой и равен величине капиталовложений в изготовление локомотивов с общей мощностью 3 млн кВт:

Обозначим функцию выходной мощности f2(t). Поскольку эта функция принимается нами для полностью исправного локомотива, она представлена как постоянная функция, интеграл которой растет линейно с течением времени.

Р и с. 9. Диаграмма ежегодного темпа роста производительности труда F(t)

 

Обозначим функцию потребляемой мощности fз(t). Поскольку эта функция принимается для полностью исправного локомотива, то, подобно функции выходной мощности, она постоянна, а ее интеграл растет линейно с течением времени.

Эти три функции и исчерпывают исходные данные при вычислении срока окупаемости. Две новые функции, которыми необходимо пополнить расчет эффективности, - это функция нарастания простоев по причине неисправности локомотива и функция нарастания затрат на ремонт и запасные части.

Известно, что не существует оборудования, которое исправно бесконечно долго. Для нашего примера это означает, что с течением времени начинают возникать различные поломки и со временем нарастает как число видов, так и общая продолжительность простоев по причине неисправности локомотива. Мы не говорим о росте расхода горючего и смазочных веществ при износе любого двигателя. Потребность в получении количественной оценки величины нарастания простоев нашла свое разрешение в разработке теории надежности. Теория надежности и была создана для ответа на вопрос, который поставила экономическая наука.

Обозначим функцию "нарастания поломок" через f4 (t) В этом случае функция "продаж", т,е. функция "выходной мощности" (и соответствующей ей выпуск транспортной продукции), будет равна разности f2(t) - f4(t), которая в каждом интервале времени дает величину простоя оборудования по причине неисправности.

Если рассчитать надежность каждого элемента конструкции локомотива, то^ зная количество и виды неисправностей, можно вычислить увеличение затрат как с учетом "вида ремонта", так и с учетом дополнительных затрат на приобретение конкретных запасных частей к локомотивам. Эту функцию увеличения затрат на "ремонт оборудования и запасные части" обозначим через f5 (t).

Эта функция выражает текущие затраты на эксплуатацию. Поскольку функция капиталовложений отлична от нуля только в интервале времени от начала отсчета до одного года, то ее вклад в текущие эксплуатацией-ные затраты равен нулю.

Как было указано в первой части, эффективность капиталовложений, т.е, влияние решений на темпы роста производительности трупа, вычисляется как величина темпа роста производительности труда в системе общественного производства. Эта величина измеряется в процентах в год.

симости от использования предельных технических возможностей.

Внимательное рассмотрение графиков и сопровождающих их расчетных таблиц показывает:

1. По ежегодному темпу роста можно судить о полноте использования предельных технических возможностей:

при использовании 100% - темп роста 10,46%/год;

при использовании 66% - темп роста 7,46%/год;

при использовании 33% - темп роста 4,09%/год.

2. Во всех случаях падение темпа роста начинается еще до начала существенного значения функции поломок. Это означает, что интенсивная работа ремонтных служб возможна лишь тогда, когда мы далеко зашли за Максимальное "время жизни" локомотива.

3. Численное значение "времени жизни" локомотива определяется интервалом времени от начала эксплуатации до момента максимального темпа роста производительности труда, т,е. до момента, когда функция F(t) имеет максимум. Проведенные расчеты могут служить примером для вычисления экономической эффективности в других случаях,

Теперь мы можем значительно лучше выяснить связь между полнотой использования технических средств и влиянием качества управления на темпы роста производительности труда в системе общественного производства. Остановимся коротко на некоторых положениях относительно эффективности электрической тяги.

В приведенных расчетах мы рассматривали "выходную мощность" локомотивов в киловаттах, предполагая эксплуатационные затраты. При использовании электровозной тяги мы не можем рассчитывать, что каждый киловатт на входе в электровоз и будет соответствовать киловатту в форме тяги, так как коэффициент полезного действия электровоза не равен 100%. При расчете капиталовложений в электровозную тягу мы определили затраты на 1 кВт мощности, равные 35 руб./кВт. Однако, если говорить о полном экономическом расчете, то в электровозе имеется лишь преобразователь электрической энергии в тягу, а для питания электровоза народное хозяйство должно дать еще 1 кВт электрической мощности. Если капиталовложения в электрическую станцию составляют порядка 130 руб./кВт, то общие народнохозяйственные затраты на 1 кВт электрической тяги будут равны сумме капиталовложений в киловатт мощности электростанции (130 руб./кВт) и плюс в киловатт преобразователя на электровозе (35 руб./кВт). Общая сумма капиталовложений в 1 кВт электрической тяги окажется равной 165 руб./кВт. Полученная величина почти в 2 раза больше, чем капиталовложения в 1 кВт тяги в тепловозах. Видимость экономической эффективности весьма существенно зависит от "цены" киловатт-часа. Мы полагаем, что увеличение "цены" за киловатт-час очень быстро покажет, что эта выгодность электрической тяги является относительной.

Для выполнения же услуг транспорта совершенно несущественно, какой вид тяги, а важна величина тяги в киловаттах. Очевидно, что выгодна та форма тяги, где киловатт полезной мощности тяги обладает минимальной себестоимостью.

 

5.5. ЭФФЕКТИВНОСТЬ ТЯГИ И ВЕЛИЧИНА РУКОВОДЯЩЕГО УКЛОНА

При вычислении экономической эффективности перемещения груза по горизонтали мы используем транспортную мощность, которая пропорциональна массе груза и кубу скорости. Это правило не имеет смысла, когда движение груза осуществляется не по горизонтали, а по вертикали (вверх).

Рис. 10. График функции F(t) при 100%-ном использовании технических возможностей
Рис. 11. График функции F(t) при 66%-ном использовании технических возможностей
Рис. 12. График функции F(t) при 33%-ном использовании технических возможностей

В этом случае величина потребляемой мощности определяется произведением массы груза на скорость подъема. Различие, которое наблюдается при вычислении мощности при движении горизонтально и вертикально, уже давно стало предметом обсуждения.

Еще в 1926 г. советским инженером Д.А. Штанге* было предложено оценивать услуги транспорта по величине механической мощности тяги. Он впервые поставил вопрос о соизмерении результатов при различных условиях пути.

Выше мы ввели представление об идеальном грузовом составе, который перемещается со скоростью 60 км/ч. Используя полную мощность в 4000 кВт, он совершает за один час транспортную работу, которая равна 1,62*103 тран/(ч* кВт).

Общая масса нашего идеального грузового состава равна 4000 т, а его же масса нетто - 3000 т.

Очевидно, что если этот состав идет с той же самой скоростью, но уже не по горизонтали, а по руководящему уклону в К%о, то нам понадобится дополнительная мощность, которую можно получить добавляя еще один локомотив, используемый на подталкивание. Эта дополнительная мощность прямо пропорциональна массе состава брутто, скорости движения, величине руководящего уклона.

Принимая массу состава Р (в тыс. т), скорость движения V (в км/ч), руководящий уклон К (в°/оо)> можно дать выражение для дополнительной мощности, используемой на подталкивание, кВт:

Поскольку идеальный грузовой состав имеет массу брутто 4000 т, двигается со скоростью 60 км/ч, дополнительная мощность будет расти прямо пропорционально величине руководящего уклона.

Нетрудно показать, что уже руководящий уклон порядка б°/оо потребует дополнительную тягу еще в 4000 кВт. Действительно:

Очевидно, что если руководящий уклон окажется в 18°/оо то при двойной тяге два локомотива с общей мощностью в 8000 кВт смогут вести указанный грузовой состав со скоростью лишь 30 км/ч. Для сохранения постоянства скорости нам понадобилась бы мощность 16.000 кВт (табл. 6).

Поскольку затраты горючего и износ двигателей пропорциональны величине используемой мощности, мы можем сравнивать эффективность капиталовложений в изменение руководящего уклона пути и тех же самых капиталовложений в увеличение мощности парка локомотивов. Обратим внимание на изменение коэффициента пересчета мощности тяги в транспортную работу за час, измеряемую в тран/ (ч * кВт).

Для горизонтального движения идеального грузового состава мы нашли эту величину (по физической мощности) : 1,62 * 103 тран/(ч * кВт).

В рассмотренном примере для выполнения той же самой транспортной работы за 1 ч нам понадобилась мощность тяги в 2 раза больше. Это означает, что теперь коэффициент перевода мощности тяги в транспортную мощность уменьшился в 2 раза и стал равен 8,1 * 102 тран/(ч * кВт).

Поскольку конечной целью является увеличение производительности труда в два раза, то мы можем достичь этого, как видно из всего изложенного, либо увеличением энерговооруженности труда, т.е. увеличением числа киловатт на одного работающего, либо увеличением коэффициента совершенства технологии, роль которого и играет коэффициент перевода абстрактной мощности в киловаттах в конкретную, т.е. транспортную мощность, измеряемую в транах в час.

Увеличение руководящего уклона увеличивает необходимую мощность на ту же самую величину транспортной мощности, т.е. уменьшает коэффициент совершенства технологии в транспортном процессе. Поскольку связь между разовыми и текущими эксплуатационными затратами подробно рассмотрена в предыдущем подразделе, можно оценить совершенствование путевого хозяйства по его вкладу в темп роста производительности труда в системе общественного производства.

Рассмотрение связи эффективности использования транспортных средств с величиной руководящего уклона представляет значительный методологический интерес. Движение грузового состава по пути с некоторой величиной руководящего уклона можно разбить на два: по горизонтали и по вертикали. Каждое из этих движений потребляет мощность, но законы, определяющие величину мощности различные. В движении по вертикали мощность равна произведению массы на ориентированную вверх скорость, а в движении по горизонтали мощность равна произведению массы на ориентированную по горизонтали скорость, возведенную в куб.

Таким образом, основным фактором, определяющим экономическую эффективность системы транспортировки грузов является полнота использования технических возможностей. Она определяется по отношению к возможной производительности.

Каждый вид простоя технических средств оказывает отрицательное влияние на темпы роста производительности труда в системе общественного производства. В экономических категориях - это снижение фондоотда-чи. Влияние решений на темпы роста производительности труда не может быть определено по методу вычисления срока окупаемости.

Конкретная программа роста производительности труда в системе транспортировки грузов требует разработки конкретных мероприятий, которые обеспечат рост производительности труда за счет: более полного использования предельных технических возможностей; более высоких уровня энерговооруженности труда на каждого занятого в системе транспортировки грузов и коэффициента совершенства технологии, связывающего энергопотребление с полезной работой транспорта, выражаемой в транах.

Поскольку мы полагаем, что рост производительности труда будет осуществляться без изменения численности работающих, то увеличить услугу транспорта при этом условии в среднем за один час можно лишь за счет указанных факторов.

Контроль за изменением численных характеристик по указанным пунк-гам и составляет методологическую основу автоматизированной системы управления транспортным процессом.

 

Г л а в а 6

МЕТОДОЛОГИЧЕСКИЕ ОСНОВЫ ФОРМИРОВАНИЯ
КОМПЛЕКСНОЙ ЦЕЛЕВОЙ ПРОГРАММЫ РАЗВИТИЯ
ЖЕЛЕЗНОДОРОЖНОГО ТРАНСПОРТА

Гигантская сеть железных дорог, распределение транспортной мощности в пространстве и времени, возможные временные диспропорции по месту и времени приводят к тому, что имеющиеся мощности оказываются не полностью используемыми. Применение вычислительных машин целесообразно только тогда, когда оно обеспечивает лучшее использование имеющихся технических средств. Это тот основной пункт, который отличает современный подход к управлению традиционного подхода. Вычислительные машины обеспечивают только одно положение: лучшее согласование имеющихся технических средств с общественной потребностью в перевозках как в пространстве, так и во времени. Это согласование отражается графиком доставки грузов.

Очевидно, что такой график состоит из двух элементов: заказ - как точный план того, что, где и когда должно быть перевезено, и расписание - как точный план того, что, где и когда обеспечено техническими средствами транспорта. Заказ лежит за пределами системы железнодорожного транспорта, и дефекты заказа являются дефектами другой системы управления (системы управления материально-техническим снабжением). Дефекты расписания являются дефектами системы управления железнодорожным транспортом. Хотя составление расписания и представляет собой весьма сложную проблему, ее решение зависит от двух участников. Система управления железнодорожными перевозками будет считаться хорошей, если она обеспечивает эффективное расписание, но не может нести ответственность за низкое качество заказа. Мы принимаем, что заказ на перевозку грузов выполнен правильно.

Правильность составления заказа на перевозки устанавливается материальным и энергетическим анализами каждого предприятия, которое в соответствии с планом работы за год, квартал, месяц, декаду, сутки должно отгрузить свою продукцию для других предприятий. Очевидно, что в плане работы предприятия на те же периоды имеется план выпуска продукции как по номенклатуре, так и по массе. Этот план выпуска продукции и является планом по номенклатуре грузов, который передается на транспорт. На часть грузов, которые будут доставлены по железной дороге, и может быть составлен заказ на перевозку готовой продукции системой железнодорожного транспорта. Более того, каждое предприятие получает указание, кому и когда оно должно отгрузить свою продукцию, как по номенклатуре, так и по массе. Это означает, что каждое предприятие в соответствии с планом выпуска формирует заказ на железнодорожную перевозку, имея точные сведения о графике отправлений. График отправлений содержит следующие сведения.

1. Когда будет отправлен каждый груз потребителю.

2. Кому (место назначения) будет отправлен каждый груз.

3. Что (номенклатура груза) будет отправлено потребителю.

4. Сколько (масса груза) будет отправлено потребителю.

Перечисленные сведения уже имеются у каждого клиента, который подлежит обслуживанию системой железнодорожных перевозок. В этом списке сведений, которые формируют заказ на перевозки, отсутствует только одна позиция - требуемая скорость доставки. Есть такие грузы, для которых мы должны точно контролировать время пребывания груза в пути. Указание на время, которое груз должен находиться в пути, есть указание на необходимую скорость доставки. Последняя величина может определяться по расстоянию между пунктом отправления и пунктом назначения (делением этого расстояния на время, которое груз должен находиться в пути). Теперь наш заказ на услугу железнодорожного транспорта включает в план перевозок следующие позиции:

1. Где будет погружен груз (станция отправления).

2. Когда будет отправлен груз потребителю.

3. Кому (место назначения) будет отправлен груз.

4. Что (номенклатура груза) будет отправлено потребителю.

5. Сколько (масса груза) будет отправлено потребителю.

6. Какова скорость доставки, требуемая для данного груза (время в пути, или точность выполнения графика доставки). Отсутствие указанных характеристик заказа лишает возможности составить план перевозок, который есть не что иное, как расписание перевозок.

В условиях правильно составленного заказа на железнодорожные перевозки имеется возможность с помощью комплекса машинных систем для управления системой железнодорожного транспорта составить расписание перевозок. Составление правильного расписания и формирует узловую проблему. Она состоит из двух частей: располагаем ли мы на каждой станции отправления и на каждой станции назначения необходимым набором погрузочно-разгрузочных средств; располагаем ли мы на каждом интервале движения необходимой мощностью тяги (и подвижным составом). Как первая, так и вторая части должны быть решены для каждого интервала времени по часам.

Такое согласование заказа народного хозяйства с расписанием перевозок стало возможным лишь в настоящее время благодаря появлению мощной вычислительной техники. Вычислительные центры отдельных дорог должны проделать эту работу, разбивая ее по соответствующим отделениям дорог. На основании такого анализа на уровень министерства приходят сведения, на каких дорогах и в каких отделениях дорог производственные мощности (как по погрузочно-разгрузочным работам, так и по мощности тяги) находятся в диспропорции по отношению к заказу на перевозки. Очевидно, что это дает возможность руководителю своевременно осуществить переброску технических средств в те моменты времени, когда производственные мощности не справляются с графиком заказа.

Наличие диспропорций по отношению к заказам народного хозяйства, которые возникают в данный момент, приводит нас к выводу о необходимости разработки долговременной комплексной программы развития транспорта, в которой на каждой дороге, в каждом отделении дороги имеющиеся производственные мощности находятся в полном соответствии с потребностями народного хозяйства в услугах железнодорожного транспорта.

Наши будущие проблемы будут связаны с проблемами роста производительности труда, с отбором направлений развития, которые обеспечивают наиболее высокие темпы этого роста. Если эти проблемы сегодня "забиваются текучкой", то это логическое следствие не совсем правильного использования вычислительной техники.

Обратим внимание, что мы начинаем анализ проблем совершенствования системы управления с технических проблем. Только после завершения анализа технических проблем мы считаем возможным говорить об экономическом анализе. Это вызвано тем, что существует ряд "рекомендаций", которые оказывают отрицательное влияние на деятельность транспорта.

Так, сделано заключение, что экономить горючее и электроэнергию -это хорошо. Но за счет чего должна осуществляться эта экономия? Мы можем получить максимальную экономию, если вообще перестанем возить грузы. Остановив все транспортные средства, можно получать премию за "экономию горючего". Если бы мы предложили экономить горючее при фиксированных скорости движения и массе состава, то получили бы совсем другой результат. Экономия горючего будет наблюдаться лишь у тех машинистов, которые хорошо ухаживают за своими механизмами, правильно их отрегулировали, хорошо используют неровности пути. Поскольку в условие премий за экономию горючего названные требования (заданные масса состава и скорость движения) не входят, то мы "стимулируем" снижение фондоотдачи, так как расход горючего пропорционален массе груза и кубу скорости движения.

Установим соответствие заказа народного хозяйства производственной мощности транспортной системы путем распределения как в пространстве, так и во времени. Итак, если имеется заказ, то как именно устанавливается возможность или невозможность его выполнения?

Ответ на этот вопрос и составляет два правила: правило вычисления требуемой производственной мощности и правило вычисления имеющейся производственной мощности. Эти два правила дают возможность сопоставлять потребность народного хозяйства и возможность ее удовлетворения по месту (где требуется данная мощность) и по времени (когда требуется данная мощность). Эти два правила инвариантны, т.е. имеют силу как для единичного процесса перевозки любым видом транспорта, так и для множества таких процессов. Только в этом случае мы можем говорйть, что им знаем закон, который верен для любой транспортной системы.

Универсальность такого правила и предъявляет особые требования к составу используемых переменных: переменные этого правила должны быть независимы как от вида конкретных технических средств, используемых в перевозочном процессе, так и от количества этих средств. В силу названного обстоятельства нам приходится выражать как потребность, так и возможность в терминах массы, номенклатуры груза, мест отправления, назначения, времени отправления, прибытия. Последние четыре характеристики, встречающиеся парами, определяют две разности: разность мест отправления и назначения определяет расстояние перевозки, а разность времен отправления и прибытия определяет время груза в пути. Последние разности определяют только одно отношение - скорость доставки. Последнее отношение - скорость доставки - и дает возможность (при известной массе груза) вычислять потребную и возможную транспортную мощности.

Заметим, что наличие номенклатуры груза является требованием, ко- ^ торое предопределяет только одну особенную характеристику в подвижном составе - вид вагона. Поэтому вся номенклатура "свертывается" до числа типов вагонов. С другой стороны, номенклатура груза предопределяет особенность погрузочно-разгрузочных средств. В силу последнего обстоятельства номенклатура "свертывается" до вычисления производственной мощности погрузочно-разгрузочных средств. Связь же номенклатуры с тарифами и предопределяется этими техническими характеристиками, к которым может быть добавлено лишь то, что относится к обеспечению "сохранности" груза. Таким образом, приняв во внимание все указанные факторы, мы получим основание для введения тарифов, которые действительно определены народнохозяйственными затратами, т.е. общественно необходимыми затратами труда.

 

6.1. ПЛАН МАТЕРИАЛЬНО-ТЕХНИЧЕСКОГО СНАБЖЕНИЯ КАК ПЛАН ПЕРЕВОЗОК

В первой части настоящей работы нами показано, что на любой стадии развития общественного производства существует такая характеристика, как темп роста производительности труда в системе общественного производства как целого. При этом любая система управления должна обладать способностью обеспечивать сравнение принимаемых решений по их влиянию на темпы роста производительности труда в системе общественного производства. Это означает, что не каждое увеличение скорости выпуска продукции (даже при неизменной численности занятых) является увеличением производительности труда. В данной главе мы преследуем только одну цель: показать, что в рамках целостной системы общественного производства невозможно оптимизировать только одну отрасль, т.е. игнорировать связность всей системы общественного производства. Наличие связности всей системы общественного производства приводит к тому, что одни и те же исходные данные принадлежат не одной частной системе управления, а и другим системам. В силу названного обстоятельства и система управления железнодорожными перевозками содержит те же самые данные" что и система материально-технического снабжения.

Рассмотрим комплект документов, который заполняется в элементарном акте железнодорожной перевозки. Этот акт назьюается "отправка" Комплект документов, который сопровождает каждую отправку, содержит сведения, на 90% повторяющие данные наряда. Фактически почти каждый наряд системы материально-технического снабжения является документом который система перевозок обязана заполнять под новым именем отправки. Может ли какое-либо предприятие сформировать отправку, если для этой отправки не сформирован наряд? Если последним документом в системе материально-технического снабжения служит наряд, то он является одновременно первым документом системы транспортных услуг. Мы сознательно выделили систему транспортных услуг, так как даже тогда, когда не прибегают к услугам железнодорожного транспорта (внутри одного города). наряд материально-технического снабжения является отправкой в системе.

Приведенный конкретный пример показывает, что целостный анализ системы общественного производства приводит к формированию целей в отраслевых системах, которые соответствуют общественным интересам. Именно этот особенный элемент, по замыслу автора, и должен был отличать настоящую работу от многих других работ, которые посвящены автоматизированным системам управления транспортом.

Разветвленная система общественного производства приводит к целому ряду трудностей в системе планирования. Предмет, изготовленный в одном месте, удовлетворяет общественную потребность в другом месте. На языке классической политической экономии этот предмет в месте изготовления обладает "меновой" стоимостью, но не обладает "потребительской" стоимостью. Процесс перевозки такого предмета увеличивает на некоторую величину его "меновую" стоимость, но благодаря перемещению доставленный на место предмет приобретает ранее отсутствовавшую "потребительскую" стоимость.

Здесь и возникает основной вопрос: что лучше - изготовить продукт на месте или его привезти? Добавка к меновой стоимости состоит из затрат на перевозку в форме тарифов, которые берутся из тарифного справочника. Полученный результат будет ответом на поставленный выше вопрос, что лучше при одном условии, если тарифы отражают общественно необходимые затраты общественного труда на перевозку. К сожалению, последнее условие еще не удовлетворяется.

Экономические показатели общественного производства в целом складываются из некоторых минимальных данных об "элементарных актах". Только в результате обработки данных по всем "элементарным актам" мы и составим представление о целом. Выбор "элементарного акта" является выбором своеобразной клеточки в системе общественного произведетва. Если бы мы исходили из интересов только системы железнодорожных перевозок, то могли бы остановить свое внимание на таком "элементарном акте", как отправка. Если мы хотим рассматривать целостную систему, в которой "элементарный акт" отправки порождается "элементарным актом" наряда на производство и поставку, то мы должны связать каждый документ отправки с каждым документом наряда. Исходным документом во всей системе общественного производства оказывается "элементарный акт" в форме наряда.

Обратим внимание на то, что и сам наряд присутствует во всех явлениях общественной жизни в двух формах: в форме наряда на изготовление и в Аооме наряда на поставку. Действительно ли мы имеем дело с двумя формами наряда? Очевидно, нет. Невозможно выписать наряд на поставку, если ему не предшествовал наряд на изготовление. Связь между нарядом на изготовление и на поставку есть не что иное, как связь между планирующим органом и органом, распределяющим материальные ресурсы.

Термин "наряд" имеет много различных значений: он может звучать и как задание, и как наказ, и как указание делать то-то. Все эти значения отражают цель данной работы, гарантирующую каждому исполнителю, что его результат удовлетворяет ту или иную общественную потребность.

В первой части мы определили коэффициент связи с общественным производством. Именно наряд, осуществляя эту связь, включает в себя не только заказ на изготовление чего-то, но и указание - для кого это нужно. Последний элемент отсутствует в такой, например, форме наряда, как отработка детали на токарном станке. Но этот элемент заявляет о себе "в полный голос", когда речь идет о наряде-заказе*.

Вернемся к нашим исходным терминам "элементарного акта". Мы будем говорить о двух видах информационных потоков. Информационный поток заказов опускается сверху вниз до элементарных исполнителей. Если каждый исполнитель способен выполнить заказ в заданные сроки, то обратный информационный поток дает нам "способность выполнить заказ" в форме системы нарядов. Эта система элементарных нарядов и образует само понятие "наряд", имеющее в системе общественного производства вид плана. Система взаимных поставок результатов и образует систему нарядов-заказов, т.е. не только план производства, но и план материально-технического снабжения. Конкретизированная система нарядов-заказов, передаваемая в систему транспортировки грузов, является заказом системы общественного производства на услугу системы транспортировки грузов.

Фактически все формы документов, которые входят в систему материально-технического снабжения, являются одновременно системой документов услуг транспорта.

Проведенное рассмотрение всей совокупности нарядов-заказов, которое включает как наряды на изготовление, так и наряды на перемещение, отражает сущность системы общественного планирования. Общее количество таких нарядов-заказов кажется необозримым: если взять всю совокупность нарядов и всевозможных заданий, то их количество измеряется миллиардами во всей системе общественного производства. Эта подавляющая своим объемом масса документов в системе общественного производства и формирует общественную потребность в машинных информа. ционных системах. Как преодолеть сложность возникающих проблем?

Первый путь - рассмотрение механизма общественного производства со всеми связями как целостной системы. При этом ставится основная цель: исключить из системы заказы, которые не удовлетворяют никакой общественной потребности. Достижение этой цели - сократить общественно бесполезные работы. Совокупность всех нарядов-заказов в этом случае является средством для повышения производительности труда в системе общественного производства. Унификация документов, их многократное использование, машинная обработка, способность выявлять общественно-бесполезные работы - все это лишь средства для получения наиболее высоких темпов роста производительности труда в системе общественного производства.

Второй путь - это путь "самоорганизации". Предлагаются изменения того или иного конкретного элемента во всей огромной системе общественного производства без выявления роли этого элемента в системе.

Мы выбираем первый путь - последовательное совершенствование системы общественного производства на базе использования программно-целевого планирования, опирающегося на поддержку мощных машинных информационных систем.

Основное требование к машинной информационной системе - автоматически обеспечивать нахождение таких работ, которые не удовлетворяют никакой общественной потребности. Это и является научной основой унификации первичной документации. Фиксируя элементарный акт общественной деятельности в форме наряда-заказа, мы должны предусмотреть формирование из этих элементов такого плана, в котором отсутствуют бесполезные работы. Такое средство формирования плана возникло лишь около 20 лет тому назад. Этим средством является формализованное представление любого плана действий в форме сетевого изображения, часто называемого сетевым планированием. Рассмотренный наряд-заказ представляет собой в сетевом изображении "работу" + "связь". Термин "работа" охватывает то или иное общественно полезное действие до получения конкретного результата. Термин "связь" охватывает действие, которое обеспечивает передачу конкретного результата точно указанному конкретному потребителю. Отсутствие конкретного потребителя на результат данной работы является нарушением связи между элементами общественного производства, предметом возникновения невязок (диспропорций, нарушений) системы планирования. Устранение этого явления и есть конкретное проявление совершенствования планирования.

Унифицированная система нарядов-заказов, предназначенная для установления всех связей между всеми работами в системе общественного производства с целью устранения ненужных работ, составляет основу программно-целевого планирования. Сам наряд-заказ может рассматриваться как "элементарный акт" из "работы" и "связи" при сетевом изображении планов.

 

6.2. СИСТЕМА МАТЕРИАЛЬНО-ТЕХНИЧЕСКОГО СНАБЖЕНИЯ КАК СИСТЕМА УСТАНОВЛЕНИЯ СВЯЗЕЙ

Систему материально-технического снабжения, как и систему транспортировки грузов, можно рассматривать как систему соединения производителей и потребителей. Первую систему можно рассматривать как информационную, которая устанавливает связь между потребителем и изготовителем на бумаге (в том смысле, что она формирует документ, на основании которого осуществляется то или иное перемещение материального объекта). Вторая система - транспортная - обеспечивает физическое перемещение материального объекта от производителя к потребителю.

Имея представление о размерах и сложности существующей системы материально-технического обеспечения, можно представить себе те средства с помощью которых осуществляется два элементарных действия: установление связи и ликвидация связи. Очевидно, что каждое действие как по установлению связи, так и по ликвидации связи довольно просто выглядит в системе материально-технического снабжения: в документах наряда-заказа изменяется либо поставщик, либо получатель. Совсем иначе выглядит это же самое изменение в системе транспортировки грузов: здесь это изменение влечет за собой требование к изменению структуры и размещению технических средств либо для транспортировки грузов, либо погру-зочно-разгрузочных машин и механизмов. Учитывая, что в системе материально-технического снабжения отсутствует информация о размещении технических средств в системе транспорта, можно ожидать, что изменение связей в системе материально-технического снабжения может приводить к возникновению перегрузок в той или иной части транспортной системы. Это означает, что "изменение связи" в системе материально-технического снабжения способно создавать излишние трудности в системе транспортировки.

Зная механизм установления и ликвидации связей в системе общественного производства, мы можем обнаружить причины возникновения невязок, которые вредно влияют на темпы развития. В этом смысле проектирование автоматизированных систем управления может рассматриваться как проектирование "коммутатора" общественных связей. Такое проектирование предъявляет весьма жесткие требования к системе математического обеспечения. Математический аппарат достаточно хорошо может описывать системы с постоянными связями, т.е. с такими связями, которые неизменны во времени. Системы, связи которых не зависят от времени, принято называть склерономными. Наоборот, те динамические системы, связи в которых изменяются с течением времени, относятся к классу рео-номных систем. Рассматривая систему материально-технического снабжения как систему изменения связей, мы обращаемся к математическому описанию реономных систем. Мы вынуждены были дать точное название классу систем, для которых готовим соответствующее описание. Дело в том, что большинство работ по математическим методам планирования принято начинать с такого утверждения: "Допустим, что поставщики и потребители известны". Следует отметить, что сам результат установления потребителей и поставщиков и составляет само существо планирования. Этот же результат и состоит в самом факте установления как поставщиков, так и потребителей.

Фактически данный вопрос относится к нашему умению записывать математически отдельно систему наличия связи от системы того, что именно и в каком количестве и в какое время должно быть поставлено по данной связи. Способность тензорной методологии Г. Крона фиксировать отдельно "систему связей" (в форме "тензора соединения") и отдельно величины потоков, которыми нагружены эти связи, и потребовала указания в общеметодологической части данной работы инструмента в виде тензорного анализа сетей. Хотя работы Г. Крона посвящены изменению "коммутации" электрических сетей, разработанный инструмент оказывается пригодным и для нашего "коммутатора" общественных связей.

Системы с переменными связями часто приводят к динамическим системам, которые описываются неинтегрируемыми уравнениями Пфаффа. Такие системы принято называть неголономными динамическими системами. Сравнение нашей системы материально-технического обеспечения и системы транспортировки грузов с этим классом систем показывает, что известные математические трудности их описания являются теми же трудностями, с которыми встречаются математики, работающие с неголономными, реономными системами. Класс систем, в котором тензорные методы Г. Крона дают полезные результаты, ограничен системами, которые характеризуются постоянством мощности. Последнее для нашего случая означает, что можно как в системе материально-технического снабжения, так и в системе транспортировки грузов выделить часть систем, для которой это положение приемлемо. Практически такое положение имеет место лишь при простом воспроизводстве. Этот вывод выделяет в проекте будущей системы информационного обеспечения управления ту часть, которая соответствует материально-техническому снабжению и транспортировке грузов при простом воспроизводстве, которая характеризуется относительно стабильными связями и относительно стабильными грузопотоками.

Общественное производство, обеспечивающее рост и развитие, наоборот, является причиной возмущений при простом воспроизводстве. Всякое изменение технологии, которое приводит к росту производительности труда в системе общественного производства, требует изменения технологических связей.

Указанное расчленение системы общественного производства часто игнорируется при проектировании реальных систем. Эта потеря указанного членения чрезвычайно затрудняет работу с массивом нарядов-заказов: массив нарядов-заказов претерпевает подобное членение - система нарядов-заказов простого воспроизводства и система нарядов-заказов развития системы общественного производства.

Рассмотрим подробнее это расчленение системы материально-технического снабжения на две части: на относительно-постоянную (соответствующую простому воспроизводству) и на относительно-переменную (соответствующую росту и развитию общественного производства). Первая часть соответствует тому, что практика планирования называет "длительными хозяйственными связями". Хотя такие связи и представляются "длительными", рассмотрим вопрос об их продолжительности. Анализ показывает, что длительность таких связей соответствует длительности выпуска одного и того же изделия. Достаточно принять гипотезу, что в системе* общественного производства вообще не изготовляется ничего нового, как все связи станут абсолютными, т.е. неизменными во времени. Наложение на систему общественного производства требования о неизменности производственных связей влечет за собой требование: запретить производство новой продукции. Всякое конструктивное изменение, например в авто мобиле, тепловозе, электровозе состоит в том, что в некоторых материалах потребность исчезает, но взамен появляется потребность в новых материалах. Это следствие научно-технического прогресса оказывается в противоречии с системой длительных хозяйственных связей и превращается в своеобразный тормоз во внедрении нового. Всякое новшество в системе общественного производства является причиной нарушения старой системы длительных связей. В математических методах планирования требование сохранения длительных связей следует из гипотезы о постоянстве технологических коэффициентов. Задача линейного программирования весьма успешно решается только тогда, когда эти коэффициенты постоянны. Отсюда и возникает математическое требование: если бы все технологические коэффициенты были постоянными, то можно было бы составить оптимальный долговременный план производства. Это требование вызывается нашим умением решать задачи с постоянными коэффициентами (т.е. в системах с постоянными связями) и отсутствием этого умения решать задачи, когда связи становятся переменными. Устанавливая причину изменения длительных хозяйственных связей за счет научно-технических усовершенствований, мы не можем выдавать субъективное желание упростить математическое описание системы связей в общественном производстве за объективное требование правильного описания. Это тем более верно, что программно-целевое планирование как раз и является инструментом, который разрешает возникающее противоречие.

Теперь вместо длительных хозяйственных связей рассмотрим быстроиз-меняющийся компонент связей. Очевидно, что это должен быть какой-то разовый, одиночный наряд-заказ. Откуда он может появиться в системе общественного производства? Откуда вообще могут появляться такого рода заказы? Рассмотрев этот случай одиночного возмущения системы общественного производства, мы можем найти ответ на вопрос об источнике всех возможных возмущений. Если изменение коммутации общественных связей в производстве автомобиля, тепловоза, электровоза возникало под влиянием изменения конструкции изделия, то разовый заказ является следствием идеи, замысла отдельного исследователя. Поскольку такая идея возникает в голове отдельного человека, то ясно, что, когда составляли заявки на материально-техническое обеспечение, такой заявки не было. Причинами, требующими изменения системы общественных связей, являются новые идеи.

После анализа причин возмущений системы общественных связей в общественном производстве может создаваться впечатление, что перспективное планирование невозможно.

Действительно, невозможно предугадать то, что еще никто не придумал. Но сколько-нибудь значимая для общества идея или замысел фиксируются в общественном производстве в форме заявки на изобретение или открытие. Это уже не случайная мысль, а документ, находящийся в некоторой части информационной системы общественного производства. Например, сколько-нибудь существенное изменение грузопотока всегда является логическим следствием внедрения того или иного изобретения. Таким образом, это изменение может быть включено в план материально-технического снабжения как результат изменения технологии. От принятия к реализации до того момента, когда изобретение введено в систему общественного производства, проходит заметный срок. Это означает, что наряду с длительными хозяйственными связями существует система изменения длительных хозяйственных связей, которая располагает специфической информационной базой. Этой базой является план внедрения новой техники, план создания нового, план всех элементов роста и развития всей системы общественного производства.

Проведенное разделение системы материально-технического обеспечения на две части имеет смысл не только потому, что оно отделяет простое воспроизводство от роста и развития системы общественного производства, но и потому, что имеются два различных источника информации: один - это система длительных хозяйственных связей, сохраняющихся технологических процессов; другой - это информация о намечаемых изменениях длительных хозяйственных связей, которые вызываются техническими усовершенствованиями и изобретениями.

Только тесная связь системы материально-технического снабжения с этими двумя информационными системами и позволяет сформировать заказ на систему фактических перевозок, т.е. на систему физической транспортировки материалов от поставщиков потребителям.

Факт расчленения системы нарядов-заказов в системе общественного производства может служить исходным пунктом для формирования эффективного плана перевозок. Системе длительных хозяйственных связей соответствует система относительно стабильных грузопотоков, а системе "создания нового" - переменный компонент перевозочного процесса. Недостаточная широта охвата системой программно-целевого планирования общественного производства приводит к задержке формирования в планах материально-технического снабжения "переменного" компонента снабжения, а следовательно, и "переменного" компонента плана перевозок.

Таким образом, анализ систем сохранения и изменения связей в общественном производстве показывает, что, во-первых, значительная часть трудностей оптимизации транспортного процесса лежит за рамками системы управления железнодорожными перевозками; во-вторых, система железнодорожного транспорта сама содержит подсистему материально-технического обеспечения (проект которой может опираться на результаты проведенного анализа).

Требование к сохранению длительных хозяйственных связей имеет естественные границы, за пределами которых оно может нанести ущерб развитию общественного производства. Требование оперативного изменения связей и является основным требованием к машинной информационной системе.

Транспортные потоки, увеличивающие затраты общественно необходимого времени, подлежат сравнению с затратами общественно необходимого времени при изготовлении продукции на месте. Два фактора ограничивают целесообразность перевозок по отношению к затратам труда на месте: предельное расстояние, больше которого транспортировка груза оказывается нецелесообразной; предельная скорость доставки, выше которой транспортировка груза оказывается нецелесообразной.

Совместный учет этих факторов и составляет предмет научной обоснованности заказа на транспортировку.

 

6.3. АВТОМАТИЗАЦИЯ СИСТЕМЫ УПРАВЛЕНИЯ

При создании автоматизированных систем управления наблюдается трудность синтеза систем оперативного управления транспортным процессом и системы, связанной с долгосрочной программой транспорта. Эта же трудность встречается в любом производственном процессе, приобретая весьма своеобразнее формы. При производстве, скажем, автомобилей на большом автозаводе возникает трудность оперативного управления текущим производством (балансирование конвейера по критическому изделию) и перспективной программой перевода производства на новую марку автомашины. Очевидно, что постановка новой марки автомобиля на конвейерное производство на какое-то время приведет к переходному процессу освоения нового производства. Природа этой трудности объясняется "длиной" планов: перспективная программа развития представляет собой план на 12-15 лет, а система оперативного управления имеет план, продолжительность которого измеряется сутками, неделями и не превосходит одного года. Реализация долгосрочной программы предполагает на каждой стадии проектирование изменений в системе оперативного управления уже изменившимся производственным процессом.

Перспективная программа развития системы железнодорожного транспорта, ориентированная на значительный интервал времени (порядка 12- 15 лет), предполагает не только существование адекватной системы управления текущим транспортным процессом, но и системы управления созданием, внедрением и снятием с эксплуатации технических средств. Если принять базовый темп роста производительности труда в системе железнодорожного транспорта 5%/год, то мы должны будем сформировать комплексную целевую программу на 15 лет. Если система мероприятий, намеченных такой программой, окажется реализованной не за 15, а за 18 лет, то единственным различием окажется ежегодный темп роста производительности труда - не 5, а 4%/год.

Принятие для формирования комплексной программы развития железнодорожного транспорта интервала 15 лет показывает, что за это время произойдет почти полное обновление основных фондов, почти полная замена всех технических средств транспортировки грузов. При таком подходе могут быть сформированы новые требования и к подвижному составу, и к путевому хозяйству. Эта часть работы должна быть закончена инженерным проектом системы транспортировки грузов, каким он может быть по истечении 15 лет, на основании самых современных технических решений. Такой инженерный проект будущей транспортной системы рассчитывается на увеличение транспортного часового потока в 2 раза при сохранении численности занятых на том же уровне, как это имело место ранее.

Разумеется, что такой проект транспортной системы может рассматриваться как цель комплексной программы перспективного развития железнодорожного транспорта. Сама же комплексная целевая программа содержит полную систему мероприятий, которые должны быть реализованы (т.е. программу железнодорожного и промышленного строительства) для достижения заданного уровня производительности труда к определенному году. В этом фиксированном перечне мероприятий содержится ответ на два вопроса с нужной детальностью: что именно должно быть построено (или сделано) и где именно это должно быть сделано. Достаточно детальные проекты будущих объектов (т.е. технические проекты) могут дать оценку количеству материально-технических и трудовых ресурсов, на основании которой можно ответить на вопрос, сколько именно и чего именно необходимо для воплощения этих рабочих чертежей в соответствующие материальные конструкции.

После завершения этой стадии работы (а частично и во время ее выполнения) осуществляется фиксация персональной ответственности за реализацию тех или иных мероприятий программы. Комплексная программа пополняется списком конкретных лиц, которые ответственны за реализацию тех или иных мероприятий комплексной про граммы. К каждой позиции "что" должно быть сделано указание, кто именно несет персональную ответственность за реализацию этой части программы или подпрограммы.

На этой стадии формирования комплексной программы еще нет ответа на вопрос: когда именно будет реализована та или иная система мероприятий из программы или подпрограммы. Ответ на этот вопрос может быть получен лишь после анализа действующей в данный момент системы транспортировки грузов. Этот анализ узких мест и дает возможность оперативно перераспределить средства между мероприятиями в текущем железнодорожном строительстве.

Ответы на перечисленные вопросы в конкретной целевой программе формируют строку плана в системе управления комплексными программами в системе СКАЛАР. Поскольку общая оценка затрат на реализацию всей программы работ на 15 лет составит несколько миллиардов рублей (или сотни миллиардов киловатт-часов), то при составлении конкретной программы мероприятий с детальностью до 10 млн руб. мы получим около нескольких тысяч строк плана. Такой текстовой документ становится необозримым. Как избежать этого? Данный вопрос уже решен при разработке системы СКАЛАР.

Возникающая ситуация с текстовыми документами в современных системах управления аналогична ситуации, которая встречалась в различных областях человеческой практики: на смену текстовым описаниям пришли различные виды "рабочих чертежей". Этим термином мы обозначаем не только те чертежи, которыми пользуются строители и машиностроители, но и электрические и электронные схемы, различные виды карт - топографические, геологические, гидрографические и т.д. Мы стоим перед необходимостью создания соответствующих карт, позволяющих руководителю оценить организационную обстановку при реализации той или иной крупной комплексной целевой программы.

В системе СКАЛАР это реализуется с помощью символического заместителя в виде кружка с раскрашенными секторами, который "изображает" одну строку плана. Иерархия заданий с конкретныКодовый номер м указанием лица, отвечающего за выполнение задания, с конкретным указанием, что именно должно быть сделано под руководством данного лица, где и когда это должно быть сделано, сколько и каких ресурсов на это отпущено, как именно это будет сделано, и образует строку плана. Этой иерархии заданий соответствует карта хода разработки.

Иерархия заданий фиксирует ответственных за выполнение, т.е. персональный состав руководителей - конкретную систему управления. Система управления и персональный состав руководителей и являются результатом формирования комплексной научной целевой программы. Фактическое создание любой комплексной целевой программы является созданием системы управления.

Далеко не все комплексные целевые программы, используемые в различных отраслях народного хозяйства, удовлетворяют приведенным требованиям. Использование для их обзора соответствующей карты хода разработки со всей очевидностью покажет как сильные, так и слабые стороны любой целевой программы. Тем не менее, как бы ни были велики трудности с формированием целевой программы, удовлетворяющей стандарту, который задается системой СКАЛАР, они должны быть преодолены, так как это заметно сократит количество невязок, которыми порой еще грешат наши комплексные программы.

Стандартное представление плана как иерархии заданий следующее:

№ п/п Кодовый номер КТО ЧТО КОГДА ГДЕ СКОЛЬКО КАК Замечание

 

Символический заместитель каждой строки плана - контрольная точка - показан на рис. 13. Стандартное представление карты хода разработки представлено на рис. 14. Этот же самый комплект документов может быть использован на стадии формирования комплексной целевой программы развития железнодорожного транспорта, ориентированной на рост производительности труда в 2 раза.

Составление плана комплексной программы, поскольку аналога создания таких 15-летних программ по транспорту еще нет, представляет собой достаточно большую и сложную разработку. Управление этой разработкой (с вероятным объемом работ в несколько миллионов рублей) требует создания соответствующей системы управления с такой же фиксацией ответственности разработчиков за каждый элемент разрабатываемой программы.

Управление процессом разработки комплексной целевой програмлмы создает предпосылку дальнейшего развития машинной информационной системы управления развитием всей транспортной системы на перспективу.

Теперь, когда определена форма представления планов, можно обсудить проблему управленческих решений. Поскольку используется конкретная система управления СКАЛАР, то в рамках данной системы управленческое решение приобретает четко очерченные границы: решением называется изменение плана, т.е. изменение записи в той или иной строке плана. Порядок изменения записей в плане, т.е. порядок принятия решений, соответствует "делегированию ответственности".

Поскольку управленческое решение может касаться как любого столбца плана, так и любой его строки, получается стандартный перечень всех возможных решений. Эти решения в рамках системы СКАЛАР распадаются нашесть типов.

Первый тип. Решение по лицу, ответственному за ту или иную часть плана. Это решение состоит в поощрении или наказании ответственного и может завершаться снятием одного и назначением нового ответственного лица за определенную часть плана.

Второй тип. Решение по содержанию части плана - решение по вопросу, что именно должно быть сделано. В этом типе решения находятся технические характеристики заказанного объекта или подсистемы сложного крупного объекта.

Третий тип. Решение по срокам завершения того или иного элемента общего плана, т.е. решение по типу, когда именно это должно быть сделано. В данном типе решений срок выполнения задания может быть либо отдален, либо приближен.

Четвертый тип. Решение по месту - где должен быть сделан тот или иной объект. Может оказаться, что потребность в данном объекте в одном месте отпала, но такой же объект должен быть размещен в другом месте.

Пятый тип. Решение по изменению материально-технического или трудового обеспечения, т.е. решение по типу, сколько именно средств отпущено на решение указанной задачи.

Шестой тип. Решение по изменению метода достижения цели, которое сохраняет ту же самую цель, но изменяет метод ее достижения. Этот тип решения ориентирован на изменение записи "как именно будет достигнут конечный результат".

Этот список возможных решений положительно влияет на ход оперативных совещаний при реализации программы: каждый ответственный предлагает определенное решение по изменению плана, аргументирует правильность предлагаемого решения.

Обратим внимание на важность точного фиксирования конечной цели всей программы: поскольку программа ориентирована на 5%-ный темп роста производительности труда в системе железнодорожного транспорта (или на время удвоения в 15 лет), то любое решение может быть оценено по его влиянию как на темп роста производительности труда, так и на время удвоения.

Заметим, что текущее значение необходимого темпа роста производительности труда в железнодорожном транспорте задается высшими плановыми органами страны в зависимости от величины общественной потребности в услугах железнодорожного транспорта.

Отметим, что фиксация ответственности за порученное дело предопределяет распределение информационных потоков в системе управления в соответствии с ответственностью руководителей. Система управления, т.е. совокупность конкретных лиц, которым дано право принимать определенные решения, подлежит тщательному проектированию. Только в случае, если такая система спроектирована, может ставиться вопрос автоматизации системы управления. Различие между системой управления и ее автоматизацией часто теряется в самом названии - автоматизированная система управления (АСУ). Мы фиксируем это теряющееся различие, отделяя систему управления от совершенно другого процесса - автоматизации. Невозможно автоматизировать стихийно сложившуюся некогда систему управления. Это важно при разработке систем организационного управления.

Информационное обеспечение системы управления транспорта предполагает конструирование системы информационных потоков, обеспечивающее руководителей именно той информацией, которая им нужна для принятия конкретных решений.

В любой системе управления, по нашему мнению, необходимо точно фиксировать количество лиц, которые фактически принимают решения. Одна система управления отличается от другой по следующим признакам, которые мы можем представить в виде списочной структуры.

Первую такую структуру образуют списки руководителей, которые будут получать из машинной информационной системы документы, необходимые для принятия решений. Эта списочная структура содержит фиксированное число лиц. После завершения работы можно установить, что лицо этого списка действительно получает из готовой системы необходимые данные. В этом смысле различие между машинными информационными системами является чисто количественным. Сколько руководителей обслуживает информационная система?

Зафиксировав список руководителей, можно установить по каждому руководителю соответствующий его должностным обязанностям список решений, которые принимает именно этот руководитель. Наша списковая структура представляет на этом этапе "список списков", т.е. образует полный перечень решений, для каждого из них известен решаемый вопрос и лицо, принимающее решение.

Зафиксировав этот "список списков", мы устанавливаем вид документа, содержащего все необходимые и достаточные сведения для принятия решения. Эти сведения образуют графы создаваемого документа.

Работа по составлению списочной структуры завершается "альбомом выходных документов" машинной информационной системы. Этот альбом выходных документов согласуется с соответствующими руководителями и утверждается высшим руководителем.

Для формирования, т.е. для заполнения, выходных документов системы необходимо определить список пунктов, или точек сбора исходных данных. Используя этот список, можно составить для каждого пункта список сведений, которые собираются в этом пункте. Документы, заполняющиеся в этих пунктах, образуют "альбом входных форм". Завершением этой работы служит определение второго этапа работы по конкретной системе управления.

На третьем этапе работы мы рассматриваем список правил, которые позволяют сформировать каждый выходной документ системы по данным, которые собраны в пунктах сбора данных. Описание каждого правила и образует "частный алгоритм" функционирования создаваемой машинной информационной системы.

Четвертый этап работы состоит в обосновании целесообразности формирования некоторых выходных документов информационной системы не с помощью людей аппарата управления, а с помощью вычислительной машины.

Описанная последовательность конструирования организации управления является необходимым элементом создания всякой машинной информационной системы. Имевшие место попытки обойти эти этапы работы привели к созданию ряда машинных систем, которые оказались неэффективными.

Следовательно, при создании машинной информационной системы предполагается, что более слабые формы организационной работы должны предшествовать созданию конструкции организации. Лишь после того как конструкция организации получила нужное оформление, можно приступить к созданию более сильных (машинных форм) организационных систем.

 

6.4. ГРАФИЧЕСКОЕ ПРЕДСТАВЛЕНИЕ ПЛАНА В ФОРМЕ СЕТЕВОЙ МОДЕЛИ

Описанная в предыдущем подразделе форма плана в виде карты хода разработки используется при представлении самых крупных комплексных программ. Очевидно, что каждое такое мероприятие со стоимостью порядка 10 млн руб. должно иметь план реализации, который более детально описывает этот комплекс работ. Для этих целей хорошо зарекомендовала себя система СПУТНИК.

Фиксируя элементарный объем работ, возлагаемый на ответственного исполнителя работ стоимостью порядка 100000 руб., мы получим фрагмент сети. При общей стоимости работ около 10 млн руб. число таких фрагментов будет 100. Полагая, что каждый руководитель имеет 3-5 таких фрагментов, получим уровень управления работами в 20-30 человек. Такое число руководителей более высокого уровня неуправляемо, поэтому необходим еще один уровень иерархии управления в 6-8 человек. Теперь видно, что разумная иерархия предполагает еще один промежуточный уровень в 2-3 человека, выше которых и располагается руководитель работ по созданию всего комплекса. Общее число руководителей различного уровня при объеме работ порядка 10 млн руб. будет 130-160 человек. Обратим внимание, что это количество руководителей необходимо для нормальной организации работы в рамках систем управления такого типа, как СПУТНИК. Здесь мы имеем 5(!) уровней управления, которые и обеспечивают действительную персональную ответственность.

К сожалению, проверка качества плана с помощью его представления сетевой моделью до сих пор еще не стала нормальной практикой планирования. Очевидно, имеет место доминирование математических "украшений" над существом процесса составления плана. Хотя любой план и может быть изображен сетевой моделью, тем не менее сам процесс составления плана является существенно неформальной, творческой операцией.

Наиболее важным пунктом в освоении техники составления фрагмента плана (т.е. частного плана на 100000 руб.) является умение четко различать два элемента плана: процессы и состояния. Процессу соответствует понятие "работа" и способ представления на сетевой модели плана в виде стрелки. В соответствие каждому процессу ставится длительность работы. Состоянию соответствует понятие "событие", или результат работы. Правильное определение результата работы дает возможность определить в режиме ответа "да" или "нет" - достигнут или не достигнут результат данной работы, т.е. наступило или не наступило соответствующее событие.

Если описание работ, которые необходимо выполнить, соответствует имеющимся традициям, то традиция правильного определения событий еще находится "в процессе становления". Такая традиция еще не у всех сформирована. Это заметно при определении "конечного события", или "конечного результата", который хотя и изображается на сетевой модели плана одним кружком, считается заданным правильно, если составлен "протокол испытаний", являющийся документом "приемки-передачи" результата от исполнителя работ к потребителю этого результата. Такой "протокол испытаний" содержит всю необходимую спецификацию свойств конечного результата, которые важны для его последующего использования. Каждое испытание предполагает наличие у передаваемого изделия определенных свойств, которые не могут появиться у этого изделия, если они не были заданы в плане работ. Каждое свойство передаваемого изделия, важное для потребителя результата, предполагает, что создание этого свойства будет представлено в плане работ исполнителя. Такого рода "осмысливание" конечного результата достигается в процессе переговоров между исполнителем фрагмента плана и получателем конечного результата. В силу названного обстоятельства необходим личный контакт между исполнителем и потребителем результата для составления хорошего плана.

Когда список свойств конечного результата работ в фрагменте плана получен и согласован с потребителем, тогда можно приступить к составлению плана работ в данном фрагменте. Если проигнорировать это обстоятельное условие составления полноценного плана, то легко может возникнуть ситуация, когда сделано не то, что предполагалось получить. Это согласование результатов и обеспечивается документом системы СПУТНИК, который называется "Лист согласования". На нижнем уровне системы управления этот документ представляет собой "Запрос на сетевую документацию".

После досконального изучения содержания конечного результата, или конечного события, по правилу "от конца к началу" начинает составляться список работ, который может иметь еще порядка 50-60 промежуточных результатов, или событий. Известно, что даже для специалистов высокой квалификации приобретение соответствующего навыка работы требует не менее трех-четырех составленных и реализованных фрагментов плана. По отношению к созданию комплексной программы развития железнодорожного транспорта это означает несколько циклов итерации при составлении полного плана работ на разработку комплексной программы. Как раз на разработку комплексной программы, которая и будет конечным событием, необходимо использовать все элементы системы СПУТНИК. Управление разработкой комплексной программы также может осуществляться в рамках той же системы. Переходя к описанию "формальных" документов системы СПУТНИК, еще раз подчеркнем творческий элемент формирования самих планов работы над комплексной программой.



ЧАСТЬ 3

СПИНОРНАЯ ТЕОРИЯ НЕЛИНЕЙНЫХ ТРАНСПОРТНЫХ СИСТЕМ

 

Глава 7
УРАВНЕНИЯ ТРАНСПОРТНЫХ СЕТЕЙ

 

7.1. НЕЛИНЕЙНЫЕ ТРАНСПОРТНЫЕ СИСТЕМЫ
И ПОТРЕБНОСТЬ В АДЕКВАТНОМ
МАТЕМАТИЧЕСКОМ АППАРАТЕ

Традиционная мера услуг транспорта в виде тонно-километров недавно была признана несостоятельной. Предложенная взамен временная мера - измерять услуги транспорта в виде объема груза в тоннах - через некоторое время также обнаружит свою неадекватность. Адекватная мера может быть получена только из закона движения. Этот закон движения не может быть угадан при случайном переборе известных показателей. С точки зрения инженера основной трудностью выделения закона движения транспортных систем является то, что существуют два класса транспортных систем, каждый из которых имеет свой закон движения. Эти два класса транспортных систем никогда не наблюдаются в "чистом" виде, а всегда встречаются (в реальных транспортных системах) совместно. Назовем первый класс движений механикой Ньютона, а второй класс движений механикой Аристотеля-Бернулли. Учитывая, что на Земле мы имеем дело с полем тяготения, которое направлено вертикально, но не имеет составляющей по горизонтали, будем рассматривать механику вертикальных движений как механику Ньютона, а механику горизонтальных движений как механику Аристотеля-Бернулли.

В механике Ньютона, т.е. при транспортировке грузов по вертикали, мы находим выражение для работы и мощности практически без труда: работа по подъему груза весом Р равна произведению веса груза на высоту (расстояние) подъема. Примером такой единицы работы является килограммометр. Если мы поднимаем тонну груза на высоту в один километр, то работа и будет иметь точную меру в виде тонно-километра. Существование такой единицы научно обосновано, но ...для вертикальных движений, т.е. в механике Ньютона. Совершенно очевидно, что мощность при вертикальном движении определяется произведением веса груза, на скорость вертикального движения.

В механике Аристотеля-Бернулли, т.е. в горизонтальном движении, имеет место другой закон движения. Механика Ньютона указывает, что горизонтальное движение тела осуществляется без совершения работы, поскольку горизонтальное движение есть движение по эквипотенциальной поверхности. Работа горизонтального перемещения может быть определена лишь в механике Аристотеля-Бернулли, где для горизонтальных движений мы имеем дело с силой противодействия движению, пропорциональной квадрату скорости движущегося тела. Установившееся движение транспортного средства по горизонтали (т.е. движение по горизонтали с постоянной скоростью) наблюдается только тогда, когда сила тяги (или сила "толкания") транспортного средства равна и противоположна по знаку силе сопротивления.

Здесь и наблюдается кардинальное расхождение с механикой Ньютона: в механике Ньютона мы не различаем покоящееся тело и тело, которое движется с постоянной скоростью по прямой. Как первое, так и в второе не находятся под действием силы. В механике Аристотеля-Бернулли только покоящееся тело не находится под действием силы, а тело, которое движется с постоянной скоростью по прямой, находится под действием силы. Это означает, что для реальных транспортных средств мы имеем дело с движением, которое требует приложения силы при движении с постоянной скоростью. Теперь выражение мощности для горизонтального движения можно найти из произведения силы на скорость перемещения транспортного средства. Но сама сила пропорциональна квадрату скорости, что дает при вычислении мощности выражение, пропорциональное кубу скорости движения транспортного средства. Установив, что расходуемая мощность пропорциональна кубу скорости, можно найти "транспортную" работу в горизонтальном движении как интеграл мощности по времени. Этот интеграл по времени и оказывается (при постоянной скорости движения) пропорциональным квадрату скорости. Исходя из закона движения транспортного средства "транспортная мощность" и "транспортная работа" определяются единицами, которые адекватны этому закону движения.

Рассмотрение "чистых" движений в двух различных "физиках" можно было провести лишь абстрагируясь от "второстепенных" факторов, которые далеко не являются второстепенными в реальных транспортных системах. До сих пор мы разделяли физику на физику вертикальных движений и физику горизонтальных движений. Любое транспортное средство (за исключением речных и морских судов, которые двигаются почти по горизонтали) на подъемах и уклонах железных, автомобильных дорог, трубопроводов, на взлете и посадке самолетов совершает два движения одновременно: по вертикали и по горизонтали. Оба эти движения осуществляются за счет мощности одного и того же двигателя, т.е. полная мощность двигателя расходуется на два движения с различными законами. Здесь мы находим правильное инженерно-экономическое решение об "экономически выгодных" углах уклона: если имеется плохо спрямляемый горизонтальный уклон, то с ростом этого уклона будут расти эксплуатационные расходы на транспортировку груза при том же самом расстоянии между пунктом отправления и пунктом назначения. С другой стороны, неожиданно обнаружилось, что транспортные самолеты (типа Ан-22) обладают значительной величиной -транспортной мощности на один киловатт установленной мощности. Это улучшение характеристик авиационного транспорта находит свое научное объяснение в изменении плотности среды: транспортные средства на поверхности земли встречают газовую среду большей плотности, чем на высоте 8-10 километров. Сила сопротивления остается пропорциональной квадрату скорости транспортного средства независимо от плотности среды, но плотность среды вносит линейный вклад в силу сопротивления.

Наконец (но не в последнюю очередь), реальное движение (т.е. сила сопротивления среды) зависит также и от аэрогидродинамических характеристик транспортного средства. С улучшением этих характеристик сопротивление уменьшается. "Второстепенные" факторы могут быть названы так лишь по отношению к закону движения транспортного средства. Они, накладываясь на реальное движение, и оказались препятствием к выделению закона движения транспортных средств в "чистом виде". Этот закон движения связан с теорией движения тел в средах, где сила сопротивления пропорциональна квадрату скорости. Закон проявляет себя в этом "очищенном" виде при следующих условиях: постоянство аэрогидродинамических характеристик транспортного средства, плотности среды, в которой осуществляется движение; строго горизонтальное движение транспортного средства.

На эти факторы может воздействовать инженер, обеспечивая более совершенные конструкции технических средств. Но ни один инженер не может отменить закон Бернулли, согласно которому сила сопротивления среды пропорциональна квадрату скорости движущегося тела.

В сложном взаимодействии двух видов физики (вертикального и горизонтального движения) при наличии столь же заметного влияния аэрогидродинамических характеристик и плотности среды и состояла главная трудность при нахождении меры движения для измерения услуг в системах транспортировки грузов.

Теперь можно снять одно упрощение, которое мы сделали по отношению к механике вертикальных движений. Мы полагали, что при движении тела вертикально вверх на него действует только сила тяжести. На самом деле в этом движении на тело действуют две силы: сила тяготения и сила Бернулли, т.е. точное решение движения тела по прямой вертикально демонстрирует сложение этих сил. На этом учете действия двух сил и основаны все так называемые "баллистические кривые", которые не являются точными параболами из-за движения тела в сопротивляющейся среде.

Выделяя закон движения Бернулли как закон движения транспортных средств, можно использовать этот закон для нахождения адекватной меры услуг транспорта. Эта мера "транспортной работы" внутренне присуща данному типу движения и не может быть отменена декретом, как нельзя декретом закрыть Америку. Объективные закономерности природы, которые находят свое выражение в физических законах, являются теми научными аргументами, которые приняты в науке. Попытка заменить их теми или иными соображениями "по поводу..." есть прямая дорога к волюнтаризму, созданию машинных "дезинформационных" систем вместо информационных систем для руководителей систем транспортировки грузов.

В начале 1970-х годов один из авторов (совместно с P.О. Бартини) предложил систему величин, которые могут быть физическими мерами тех или иных форм движения (табл. 7). Приводя здесь эту таблицу, обращаем внимание на появление названий двух величин, которых не было в ранних публикациях*. Эти величины теперь названы "транспортная мощность" и "транспортная работа".

Поскольку таблица физических величин, предложенная в 1973 г., содержит известные физические законы, но не содержит тех мер, которые нужны для установления адекватной меры услуг транспортных систем, предпринято исследование, завершенное введением "транспортной мощности" и "транспортной работы". Таблица физических величин совершенно ясно показала, что нет известных физических величин, которые необходимы для оценки транспортных систем, но есть такие клетки таблицы, которые могут быть использованы для решения задачи. Использование закона Бернулли позволило идентифицировать нужные клетки таблицы в качестве мер для транспортных систем.

Линейная транспортная задача возникает из эмпирически устанавливаемых тарифных ставок на перевозки и в зависимости от установления этих ставок является физической, а не экономической задачей. Она становится инженерно-экономической, если сами тарифные ставки устанавливаются с помощью адекватной физической теории. Поскольку уравнение состояния при движении транспортного средства нелинейно (сила тяги пропорциональна квадрату скорости движения), то вся транспортная сеть описывается системой нелинейных уравнений. Для решения транспортных задач в терминах трана необходим адекватный математический аппарат, изложению которого и посвящается настоящая часть.

В подразд. 7.2 излагается линейное приближение транспортной задачи на языке электрических сетей, впервые предложенное Г. Кроном. Использование дополнительной информации в виде электрической сети, соответствующей системе линейных уравнений, помогает при расчете больших транспортных сетей по частям. На электрической сети становятся наглядными силы связи, возникающие при расчленении системы на части, учет которых необходим при соединении решений подсистем в полное решение.

В подразд. 7.3 описываются недостатки итерационных методов расчета нелинейных сетей, связанные с неединственностью решения соответствующих систем уравнений.

Метод Эйлера-Сильвестра-Кронекера решения систем нелинейных алгебраических уравнений, который позволяет найти все решения, изложен в подразд. 7.4. Однако этот метод исключительно громоздок и не допускает машинной реализации.

Глава 8 посвящена методу решения систем нелинейных уравнений, основанному на спинорной линеаризации уравнений, при которой не происходит потери решений. Каждое решение спинорной системы уравнений является решением исходной нелинейной системы. Метод использует аппарат теории ассоциативных алгебр и допускает машинную реализацию.

 

7.2. ЛИНЕЙНОЕ ПРИБЛИЖЕНИЕ ТРАНСПОРТНОЙ ЗАДАЧИ

Транспортная задача как задача линейного программирования формулируется следующим образом: в данных m пунктах производится некото

при котором общая стоимость

(7.1)

минимальна, при ограничениях

(7.2)

Универсальным методом решения задач линейного программирования является симплекс-метод, который состоит из алгоритма отыскания какого-нибудь опорного среди решений системы (7.2) и алгоритма последовательного перехода от полученного уже опорного решения к новому, для которого форма (7.1) имеет большее (меньшее) значение. Этот процесс продолжается до получения оптимального решения.

Основу вычислительной схемы симплекс-метода составляют методы Гаусса и Жордана исключения неизвестных в системах линейных уравнений.

Линейная транспортная задача в такой постановке применяется, например, для минимизации порожнего пробега автомобильного транспорта.


Интерпретация задач линейного программирования в терминах теории электрических сетей* принадлежит Г. Крону. Задачи линейного программирования могут быть решены построением эквивалентных электрических цепей. На вопрос о том, может ли эта аналогия между математическим программированием и свойствами электрических сетей добавить что-либо существенное в области программирования Дж.Б.Деннис* отвечал сравнением подходов специалиста в области теории операций и специалиста-электротехника. Первый почти всегда использует термины минимизации или максимизации при наличии ограничений. Электротехник же просто изучает распределение токов и напряжений, которое удовлетворяет условиям, наложенным свойствами сети. Поэтому наиболее важная особенность электрической аналогии состоит в том, что она дает физическую модель задачи математического программирования как системы условий, которые должны быть удовлетворены (формулировка Лагранжа), а не обычную геометрическую картину минимизации функции на ограниченном множестве.

Однако при более детальном анализе аналогии между задачами линейного программирования и задачами теории электрических сетей выясняется, что число величин в обычной электрической сети меньше, чем требуется для решения транспортной задачи. Подход Г. Крона к транспортной задаче отличается от других подходов использованием понятия ортогональной сети, число величин в которой достаточно для решения линейной транспортной задачи.

Физическими элементами сети у Крона являются катушки и узлы, а также их комбинации - контуры (замкнутые сети) и узловые пары (любые два узла, расположенные в одной и той же независимой подсети) . Число узловых пар сети равно числу узлов минус число подсетей, а число катушек, образующих сеть, равно сумме чисел контуров и узловых пар.

Сеть можно рассматривать как совокупность контуров, когда пере

туров. При узловом анализе устанавливается уравнение тока

Второй закон Кирхгофа о равенстве суммы сил токов в каждом узле записывается так:

Ортогональный анализ Г. Крона состоит в рассмотрении сети как совокупности контуров и узловых пар, а не как совокупности или конту-

равно сумме чисел контуров и узловых пар.

На основе понятия ортогональной сети Крон* формулирует постулат инвариантности мощности: входная е * i и выходная Е *I мощности должны быть инвариантны при всех способах соединения и возбуждения п катушек. Этот постулат дает возможность построить несингулярную матрицу преобразования С, имеющую n строк и столбцов для всех n-катушечных сетей, что позволяет преобразовывать любую n-катушечную сеть в любую другую n-катушечную сеть. В контурной сети n катушек образуют k контуров и п известных напряжений е последовательно соединено с каждой отдельной катушкой. Поскольку известно только k токов отклика i', при получении k уравнений е' =z'i'n известных напряжений на катушках е заменяются k приложенными контурными напряжениями е' с помощью е' = Сtе. В узловой сети п катушек образуют (n-k) узловых пар и имеется n известных приложенных токов I (или токов,

В 1969 г. в некрологе, посвященном Г. Крону, в журнале "Электричество" ученый характеризуется как "основоположник тензорного и матричного анализа электрических цепей и машин, создатель обобщенной теории электрических машин". В Японии под руководством профессора К.Кондо с 1954 г. действует "Исследовательская ассоциация прикладной геометрии", выпустившая четыре тома мемуаров, в которых работы Крона характеризуются как эпохальные, являющиеся основой для создания в дальнейшем единой теории конструирования инженерных систем*. Создавая теорию инженерных систем, Г. Крон работал с уравнениями, символы которых должны быть физически измеряемыми величинами. Этим и объясняется "тензорность" его теории, поскольку символ "тензор" наиболее близок к измеряемой физической величине.

Для физически измеряемых величин характерна двойственность. Напри-

них заменить на двойственные. Принцип двойственности сетей у Крона тесно связан с принципом двойственности проективной геометрии. Основой для этого является введенное Кроном понятие воображаемой катушки. Воображаемой катушкой он называет безымпедансную или безадмит-тансную ветвь с известным приложенным напряжением или с известным действующим током. Присутствие воображаемых катушек требует большего числа координатных осей, чем это необходимо. Эти дополнительные оси вводятся для того, чтобы можно было обращаться с сетью как с контурной или узловой (без потери решений), а не как с ортогональной, имеющей более сложное уравнение состояния. Возможным это становится из-за того, что воображаемые катушки не нарушают режима работы сети. С их помощью закрытый контур можно превратить в открытый и наоборот. Можно считать, что любой открытый контур закрыт воображаемой катушкой, имеющей неизвестное воздействующее Е и нулевой i(рис. 15). Любой закрытый контур можно рассматривать как открытый, в разрыве кото. рого имеется воображаемая катушка с неизвестным i в узлах и нулевым Е (рис.16).

Каждая ортогональная сеть после введения воображаемых катушек становится эквивалентной чистоконтурной сети, в которой напряжение приложено не только последовательно с действительными катушками, но и последовательно с некоторыми из воображаемых катушек. Соответственно ортогональная сеть эквивалентна чисто узловой сети, в которой токи воздействуют не только параллельно каждой действительной катушке но и параллельно некоторым воображаемым катушкам.

Можно поэтому сделать вывод о том, что Крон располагает сеть не в обычном аффинном пространстве, а в проективном, где аналогом прямой является окружность, а параллельные пересекаются в бесконечно удаленной точке, физическая модель которой у Крона - воображаемая катушка.

Понятие ортогональной сети и постулат инвариантности мощности (линейной формы) позволяют найти несингулярную матрицу преобразования Сaa', для любых двух n-катушечных сетей независимо от того, сколько контуров, узловых пар и подсетей имеет каждая из них. Поэтому различные уравнения поведения всех п-катушечных сетей не являются независимыми и могут быть преобразованы друг в друга с помощью Сaa'. Эта эквивалентность всех и-катушечных сетей и позволяет называть тензорный анализ сетей единой теорией конструирования инженерных сетей.

Возможность преобразования величин одной сети в величины другой позволяет проводить анализ сети в наиболее простом виде n-катушечной сети а', а затем преобразовывать это решение в решение заданной а, зная матрицу преобразования Сaa'.

Общая форма простейшей контурной сети представлена на рис. 17, а общая форма простейшей узловой сети - на рис. 18.

Инвариантность линейной формы е * i для ортогональных сетей теперь выглядит, так сказать, естественной, поскольку каждую ортогональную сеть можно рассматривать как чистоконтурную, а из-за присутствия воображаемых катушек все катушки будут короткозамкнутыми на себя. Поэтому е * i остается инвариантной независимо от того, как соединены катушки.

обратная к целочисленной матрице будет целочисленной, это возможно, если

 


но из-за совпадения начала и конца путей в точке О. Такая совокупность путей уже образует группу и называется фундаментальной группой.

Чисто контурную сеть также можно представить рисунком, аналогичным рис. 22, а для двух катушек - рис. 23.

Целые числа в Сaa', не равные ± 1, появляющиеся в ортогональном анализе, соответствуют определенному выбору контуров в данной чисто контурной сети. Например, если выбрать в сети на рис. 9 в качестве независимых

Р и с. 23. Сеть из двух катушек

поскольку уравнения (7.3) относительно неизвестных решить нельзя (перепутываются физические и нефизические величины). По этой же причине в ортогональном анализе для получения решений необходимо пользоваться прямоугольной матрицей С.

Транспортная задача в терминах электрических сетей формулируется Г. Кроном следующим образом.

Количество товаров, получаемых и отгружаемых N пунктами, задается некоторой строкой М. N пунктов связаны k маршрутами, задаваемыми некоторым графом. Стоимость транспортировки и хранения на складах единицы товара задается соответственно строками C1 и C2. Задача состоит в том, чтобы, минимизируя полную стоимость транспортировки и хранения товаров, выбрать из k возможных небольшое число маршрутов, и определить количество грузов, которое должно быть послано по каждому из выбранных маршрутов.

Электрическая модель основывается на аналогии между товарными потоками в транспортной задаче о перевозках и токами в электрических сетях, стоимостью и приложенным напряжением. Транспортным ценам по k маршрутам соответствуют k импедансов. Простейшая сеть имеет следующие свойства: 1) каждая катушка имеет единичный импеданс; 2) каждой катушке ставится в соответствие четыре скаляра: Е, е, I, i; 3) последовательно с катушками, которые соответствуют маршрутам,

токи соответствуют величинам получаемых и отгружаемых товаров

Квадратная матрица преобразования A01 от системы координат 0 к системе координат 1 получается из соотношений между "старыми" и "новыми" напряжениями:

Строки матрицы А показывают, из каких токов складывается полный ток в каждой катушке. Столбцы показывают, какие напряжения входят в каждый контур и в пару узлов.

Исходные выражения задачи линейного программирования

таким образом, в электрической терминологии соответствуют формулам:

Переход от неравенств к равенствам производится с помощью введения дополнительных переменных.

Симплексный метод Данцига эквивалентен последовательности ортогональных преобразований. Его общность обусловлена добавлением системы единичных векторов к заданным выражениям. Крон показывает, что прямоугольные таблицы симплексного метода соответствуют важнейшим основным частям квадратной матрицы соединений Аt. Однако симплексный метод использует лишь простейшие представления о контурах и парах узлов. Введение Кроном ортогональных переменных позволило оптимизировать по частям электрическую модель, представляющую заданную транспортную сеть.

Когда изучается большая система (сеть), ей ставится в сооответствие система уравнений, например I = YE. Пусть задача заключается в обра-

Пусть теперь транспортная задача решается по частям, для чего транспортная сеть расчленяется на части. Задача решается отдельно для этих подсетей и сети пересечений. Получение оптимального решения состоит в многократной оптимизации каждой из подсетей и сети пересечений, это необходимо для учета взаимодействия (n+1)-x меньших сетей. Как и при оптимизации без расчленения, оптимизируемая величина на каждом шаге оптимизации с расчленением монотонно возрастает, стремясь к конечному значению.

 

7.3. ИТЕРАЦИОННЫЕ МЕТОДЫ РАСЧЕТА НЕЛИНЕЙНЫХ СЕТЕЙ

При решении транспортных задач иногда пользуются гидравлической аналогией. При этом под транспортной сетью понимают некоторый связный граф с заданной на каждой дуге графа величиной (размерной) потока, насыщающего ветви графа*. Аналогия состоит в том, что по дугам транспортной сети предполагается движение некоторой несжимаемой жидкости. Дуги могут пропускать "жидкость" только в одном направлении и в количестве, не превышающем их пропускной способности. Для потока выполняется закон сохранения, выражаемый тем требованием, что вся жидкость, движущаяся по транспортной сети, вытекает из входа сети и столько же стекает в выход.

Задача теории транспортных сетей формулируется следующим образом: на данной транспортной сети построить поток наибольшей величины. Однако описание работы транспорта в терминах физически измеряемых величин (гранах) показывает, что эта аналогия не является случайной.

Рассмотрим установившееся движение жидкости. Массовый расход определяется формулой

где v - скорость движения жидкости; р - плотность, в нашем случае ли" нейная. Кинетическая энергия жидкости в объеме, равном расходу потока:

где а - поправочный коэффициент, учитывающий сопротивление движения жидкости. Потери напора выражаются формулой

h-T/M.

Мощность по определению есть величина

Кирхгофа. Согласно первому закону, для каждого j-го узла

По второму закону для каждого m-го контура Эти линейные соотношения замыкает нелинейная, как правило квадратичная, связь между расходом и напором. Для каждой i-й ветви

ника - аналог ЭДС в электрических сетях.

Нелинейные задачи качественно отличаются от линейных. Можно было бы привести множество примеров, иллюстрирующих это положение. Приведем лишь один*.

Ферми, Паста и Уламом в 1953 г. изучалось колебание струны с закрепленными концами в случае, когда силы между элементами струны в дополнение к обычным линейным членам, возникающим из-за упругости, содержат еще слагаемые, квадратичные относительно смещений. Линейная задача имеет хорошо известные периодические решения. Присутствие дополнительных членов дает со временем "перемешивание" состояний, в которых может находиться линейная система.

Уравнение в частных производных, описывающее такую струну, заменялось на конечное число обыкновенных дифференциальных уравнений. Континуум точек струны заменялся на 64 точки. Уравнения имели вид

где а - коэффициент квадратичного члена в выражении силы между соседними материальными точками. Отправляясь от струны в простом начальном положении, Ферми, Паста и Улам ставили своей целью увидеть, как благодаря нелинейным силам, возмущающим периодическое линейное решение, струна будет принимать все более и более сложные формы и как при t ->оо полная энергия струны будет распределяться на все частоты. Следует отметить, что а был выбран так, что даже в момент максимального смешивания нелинейное слагаемое силы было мало по сравнению с линейным членом. Но тем не менее результат этого исследования очень удивил авторов. Вместо постепенного непрерывного потока энергии от первой частоты к более высоким во всех задачах обнаруживалось совершенно иное. В начале действительно наблюдался постепенный рост энергии в высших частотах. Позже, однако, это постепенное распределение энергии по последовательно увеличивающимся частотам прекращалось. Вместо него начинала преобладать одна или другая частота. В определенный момент времени на некоторой частоте сосредоточивалось больше энергии, чем во всех остальных. Вместо постепенного увеличения энергии во все более высоких частотах ею в основном обменивались только некоторые из частот. Этот эксперимент Ферми, Паста и Улама по наблюдению солитонов предшествовал открытию метода обратной задачи рассеяния.

Для нелинейных сетей, уравнения на ветвях которых вида (7.5), требование малости Si недопустимо и к тем более необычным (по сравнению с обычным случаем) явлениям приводит анализ систем нелинейных уравнений, соответствующих таким сетям. В нелинейных сетях по отношению к расходам не выполняется принцип суперпозиции. Это означает, что соответствующие системы уравнений не обладают аддитивными свойствами, в силу которых для линейных систем можно, приравнивая расходы в отдельных ветвях нулю, получать частные решения, а общее решение представлять как сумму частных.

Матричное выражение для уравнения (7.5) легко записать так:

где

Имея матричные формулы для законов Кирхгофа, можно получить уравнение для соединенной сети


ных произведений компонентов вектора расхода в каждой строке уравнения. Появление этих попарных произведений и является выражением нарушения принципа суперпозиции. Если бы можно было исключить попарные произведения и оставить только квадратичные члены, сети с уравнением состояния (7.5) превратились бы в линейные сети. 4

Методы расчета нелинейных сетей разбиваются на три основные группы:

1) метод линеаризации - метод Ньютона и его модификации; 2) градиентные методы; 3) методы нелинейного программирования.

Система уравнений, описывающая сеть, формируется по законам Кирхгофа. Для контуров они, например, будут иметь вид

или в векторной форме

(7.6)

Решение системы уравнений (7.6) методом Ньютона весьма трудоемко. Но несмотря на это, применение метода Ньютона во многих случаях оправдано, ибо он сходится значительно быстрее, например, градиентных методов, если только начальное приближение выбрано достаточно близко к искомой точке. Итерационный процесс решения нелинейной задачи подобен процессу решения линейной задачи. Пусть система квадратичных уравнений решается методом последовательных приближений, причем для вектора-решения известно k-e приближение

Если к каждому элементу матрицы v добавить некоторую поправку, то при соответствующем выборе этих поправок вектор-функция h (v) может стать равной нулю:

(7.7)


членами разложения, имеем

где - матрица Якоби;

Тогда из (7.7) получается система линейных алгебраических уравнений

(7.8)

неизвестными в которой служат поправки, составляющие матрицу е(k), а матрица постоянных коэффициентов представляется матрицей Якоби. Но при этом поправки, найденные из уравнения (7.8), позволяют вычислить не корни выражения (7.7), а лишь следующие приближения к истинным значениям этих корней:

(7.9)

из-за того что вектор-функция приближенно представлялась линейными членами бесконечного ряда. Для того чтобы найти корни и, приходится выполнить расчеты ряда приближений, пользуясь (7.8) и (7.9), т.е. использовать итерационный метод расчета. При каждой итерации приходится заново вычислять матрицу Якоби, находя значения частных производных при значениях переменных, найденных при предыдущей итерации. Соответственно приходится при каждой итерации вычислять

которая тем лучше отвечает реальным условиям, чем ближе начальное приближене v(0) к матрице корней системы нелинейных уравнений.

Градиентные методы, методы минимизации основываются на введении вспомогательной функции для системы уравнений (7.6):

Однако для того, чтобы воспользоваться этими вычислительными методами, необходимо еще раз составить систему уравнений (7.6). Трудность заключается в том, что определение направлений потоков для нелинейных сетей (в отличие от линейного случая) представляет самостоятельную задачу. Сходимость последовательных приближений зависит от правильно выбранного направления потоков в сети, а скорость сходимости - близостью к истинному решению начального приближения. Но для нелинейных сетей направления определяются величинами потоков, а численные значения решений зависят от выбранных направлений. Чтобы разорвать этот порочный круг, В.Я. Хасилев* предложил предварительно линеаризовать сеть и найти у такой линейной сети направления потоков и начальное приближение для построения итерационного процесса решения системы квадратичных уравнений.

Пусть задана сеть с квадратичной нелинейностью на участках (рис. 24).

Система уравнений для этой сети имеет вид

(7.10)

Или после исключения из v3:

(7.11)(7.12)

Система линеаризованных по Хасилеву уравнений получается приравни-
(7.13)

Аналогично линеаризуется система (7.10):

(7.14)

Из уравнений (7.13) или (7.14) находятся направления так, как это делается для линейных сетей, и начальные числовые приближения. Затем с помощью этих начальных приближений строится вычислительный процесс по методу Ньютона.

Однако несмотря на то что во многих случаях линеаризация Хасилева дает правильные предсказания направлений, а значит, сходимость вычислительного процесса возможна, имеется много случаев, когда направления определяются неправильно. Это видно хотя бы из того, что решения линеаризованных систем уравнений зависят от того, когда система линеаризуется - до или после исключения некоторых неизвестных. Видно, что системы (7.13) и (7.14) различны, а значит, имеется область, где они дают несовпадающие направления и тем более различные числовые значения решений.

С другой стороны, вычислительный процесс расходится при большом разбросе сопротивлений, например для сети приведенной на рис. 25, когда хотя требования надежности гидравлической сети приводят именно к таким разбросам сопротивлений.

Другим недостатком итеративных методов является невозможность расчета по частям и эквивалента рования, что особенно важно при расчетах больших сетей.

Что касается метода минимизации, то для него также имеется проблема нахождения направлений (иначе можно попасть в относительный минимум). К тому же неэкономно решать замкнутую систему, уравнений методами линейного и нелинейного программирования.

Чтобы избавиться от проблемы нахождения направлений (точнее, свести ее к "линейному" случаю), заменяют квадратичную зависимость (7.10) на

(7.15)

При этом достигается нечетность, используемая так же, как в теории линейных сетей. Однако пропадает возможность доказать сходимость метода Ньютона и вообще построить процесс минимизации для зависимости (7.15) из-за отсутствия вторых производных. Правда, для некоторых авторов этой проблемы не существует, так как они для доказательства единственности решения системы (7.6) с зависимостью (7.15) бесстрашно используют матрицу Гесса вторых производных.

 

7.4. МЕТОД ЭЙЛЕРА-СИЛЬВЕСТРА-КРОНЕКЕРА РЕШЕНИЯ СИСТЕМЫ УРАВНЕНИЙ

Систему уравнений (7.10) довольно легко решить, исключая неизвестные. Таким образом, можно получить биквадратное уравнение на одну неизвестную.. Если бы можно было делать исключение не только в таком простом случае, но и в общем случае п уравнений, то мы получили бы гарантированную точность решения постольку, поскольку точность решения уравнения на одну неизвестную большой степени гарантируется, например, при использовании метода дихотомии. При этом вообще исчезает проблема поиска начального приближения.

Теория исключения неизвестных в системе полиномов была предложена Эйлером и Кронекером на основе понятия результанта Сильвестра. Пусть сначала имеются два полинома

Условия существования общего решения уравнений f= 0, g =0 состоят в том, что оба полинома f, g должны иметь общий непостоянный множитель
(7.16)

где h (х) - степени не выше чем m - 1, k (x) - степени не выше чем n - 1. и по крайней мере один из полиномов h, k не исчезает тождественно. Положим

(7.17)

Подставляя в (7.16) h(x) и k(x) из (7.17) и сравнивая слева и справа коэффициенты при одинаковых степенях, получим следующую систему


(7.18)

(7.19)

R=0 (7.20)

Задача общей теории исключения состоит в том, чтобы по крайней мере теоретически (практически этот метод вычисления корней непомерно громоздок) определить все решения произвольной системы алгебраических уравнений

Как мы уже отмечали, приведенный метод исключения очень громоздок. Ван-дер-Варден из-за отсутствия возможности практически находить, корни системы алгебраических уравнений значительно сократил изложение метода исключения Эйлера -Сильвестра-Кронекера во втором издании своей книги, ограничившись иллюстрацией этого метода для решения системы двух уравнений.

Решим методом исключения систему уравнений (7.10), соответствующую сети приведенной на рис. 24. Результант системы (7.10) по формуле (7.19)

Из уравнения

(7.22)(7.23)

находятся еще четыре корня.

Недостатки метода заключаются в невозможности его машинной реализации для больших систем уравнений, невозможности применения к системам уравнений вида (7.6) уравнения состояния (7.15). Громоздкость усугубляется еще тем, что, например, из (7.22) и (7.23) мы нашли восемь корней, но удовлетворяют только четыре. Найти эту четверку

 

7.5. ПРИМЕР ВОССТАНОВЛЕНИЯ ЛИНЕЙНОСТИ П.А.М. ДИРАКОМ

С вычислительной точки зрения метод Крона можно рассматривать как тензорное обобщение метода исключения неизвестных в системах линейных уравнений Гаусса.

Однако для систем нелинейных алгебраических уравнений (СНАУ) метода исключения, пригодного для машинной реализации и расчета по частям, нет. Для квадратичных систем уравнений причина отсутствия такого метода в появлении попарных произведений неизвестных.

В 1928 г. Дираком был использован очень интересный прием корректного устранения попарных произведений.

Релятивистская функция Гамильтона для свободной частицы приводит к волновому уравнению для электрона


которое лоренц-инвариантно. Однако вид уравнения (7.25) не согласуется с общими положениями квантовой теории, поскольку оно квадратично относительно t. Общая форма уравнений движения в квантовой механике получается из принципа суперпозиции, согласно которому уравнения должны быть линейны по t.

Дирак предложил уравнение для электрона

(7.26)

 

Гл ав а 8
СПИНОРНОЕ ВОССТАНОВЛЕНИЕ ЛИНЕЙНОСТИ
СИСТЕМ НЕЛИНЕЙНЫХ УРАВНЕНИЙ

8.1. АЛГЕБРА АЛЬТЕРНИОНОВ И МНОГОМЕРНЫЕ СПИНОРЫ

Создание исчисления, позволяющего оперировать геометрическими величинами по правилам алгебры, издавна было целью исследования многих математиков. Об этом мечтал еще Лейбниц, этого пытался добиться Карно. Но действительную работу в этом направлении впервые сделал У.Р. Гамильтон, открыв в 1843 г. кватернионы, обобщающие комплексные числа. Его исследования по кватернионам изложены в двух книгах "Лекции о кватернионах" (Lectures on Quaternions, 1853) и посмертной "Основы теории кватернионов" (Elements of Quaternions, 1866). Существенным для теории кватернионов является отказ от коммутативности произведения. В 1844 г. Г. Грасман ввел понятие внешнего, а затем и внутреннего произведения для мультивекторов. У.К. Клиффорду удалось в 1878 г. объединить эти две разные схемы в рамках единой алгебры, охватывающей и обычное векторное исчисление в пространстве трех измерений.

Алгебры альтернионов с четным числом образующих не содержат ненулевых двусторонних идеалов, отличных от самой алгебры (т. е. являются простыми)**. Но простая ассоциативная алгебра изоморфна матричной алгебре***. Это означает, что уравнения (8.2) имеют решения в виде

(8.3)

где Е- единичная матрица.

Перечислим некого рые общие свойства системы матриц

где В - матрица, соответствующая вектору, называется спинором*. Теория спиноров я-мерных пространств была открыта Э. Картаном в 1913 г. Переоткрыты спиноры были Ван-дер-Варденом в 1928 г. в связи с физическими исследованиями Дирака. Основное свойство матрицы В заключается в том, что квадрат матрицы В, соответствующей вектору, равен скалярному квадрату этого вектора, т. е. некоторой квадратичной форме.

Из этого определения спинора немедленно следует тесная связь теории спиноров с теорией алгебр альтернионов, поскольку отсюда следует соотношение (8.3) для матриц, соответствующих взаимно перпендикулярным единичным ортам вектора х. Ненулевой спинор называется простым , если ранг системы уравнений (8.17) равен n + 1 (если вектор, соответствующий матрице В является n-мерным). Эти уравнения определяют тогда изотропную плоскость, так как если вектор х удовлетворяет этим уравнениям, то

Поэтому

 

8.2. АЛЬТЕРНИОННЫЙ МЕТОД ИСКЛЮЧЕНИЯ НЕИЗВЕСТНЫХ
В СИСТЕМАХ НЕЛИНЕЙНЫХ АЛГЕБРАИЧЕСКИХ УРАВНЕНИЙ

Конструктивное применение алгебры альтернионов и теории спиноров в квантовой теории нашли Паули и Дирак. Однако свойство простых спиноров образовывать алгебраическое многообразие, определяемое линейно-независимыми квадратичными уравнениями, позволяет найти способ решения систем квадратичных уравнений.

Рассмотрим сначала систему квадратичных уравнений, задаваемых сетевыми законами Кирхгофа:

(8.18) (8.19)

где а и b номера контуров и узлов соответственно. Нелинейность, а именно квадратичная нелинейность вводится квадратичным законом между "расходом" и "напором":

(8.20)

Трудности расчета сети, описываемой системой уравнений (8.18)- (8.20), заключаются, как уже отмечалось, в появлении попарных произведений расходов ветвей. Устранить эту проблему может самый грубый и радикальный прием - замена зависимости (8.20) на линейную

что в большинстве случаев является недопустимым, поскольку нелинейные системы и сети качественно отличаются от линейных.

Тем не менее восстановить линейность по "расходу" можно без потери общности. Линеаризовать систему (7.18) можно точно, т. е. так, что каждое решение такой линеаризованной системы будет решением исходных квадратичных уравнений.

Перепишем систему (8.18)- (8.19) в виде

(8.21) (8.22)

где

(8.23)


С точки зрения теории спиноров переход от (8.18), (8.19) к (8.21) довольно понятен. Однако на этот переход можно взглянуть несколько иначе. Можно сказать, что мы извлекли квадратный корень из уравнения (8.18), причем такой, что символически

более мощный, чем первый. Это легко понять, поскольку здесь довольно естественно формулируется задача извлечения корня третьей степени из третьей формы, и вообще w-й степени из п-и. формы.

Пусть на участке сети закон выражается теперь произвольной аналитической функцией f. Разложив в ряд Тейлора, функцию можно аппроксимировать с заданной точностью многочленом

Сеть описывается системой уравнений (8.18), поскольку законы Кирхгофа справедливы и для линейных сетей, и для нелинейных при любом характере изменения во времени токов и напряжений. Используя алгебру, обобщающую алгебру альтернионов:

можно восстановить линейность уравнений (8.18) по v:

(8.26)

произведений, получаемых циклической перестановкой сомножителей Лa. Нетрудно проверить, что если умножить слева (8.26) (n - 1) раз на выражение

то получим (8.18).

Для случая

например, определяющее соотношение (8.25) имеет вид

Для уравнения состояния на участке h - sv4 = 0:

При квадратичной нелинейности из (8.25) получается, как легко видеть, алгебра альтернионов.

В качестве первого примера альтернионного анализа приведем расчет сети, изображенной на рис. 24. Уравнения, соответствующие этой сети, даются системой (7.10). Соответствующая системе (7.10) линеаризованная система уравнений имеет вид

(8.27) (8.28)





решений, устраняя тем самым проблему их формирования, которая имелась в методе Эйлера-Сильвестра-Кронекера.

Обратные альтернионные элементы к тем выражениям, которые нужно обращать при исключении неизвестных, находятся достаточно легко: умножим данное выражение на такое же, но в котором изменены знаки у слагаемых, содержащих альтернионы некоторого контура. В результате произведение не будет содержать матриц. Продолжая этот процесс, можно исключить все альтернионы, получить некоторое скалярное выражение.


личин, участвующих в расчетах, позволяет в некотором смысле решать задачу по частям. Это ясно из того, что задачу расчета сетей в альтернионном анализе можно сформулировать как задачу обращения матрицы. Например, для сети на рис. 24, уравнения которой можно переписать в виде

задача состоит в обращении матрицы /\. Но матрицы можно обращать по частям. Существенно новым, отличным от линейного случая, является то, что полученные уравнения из-за некоммутативности величин будут уравнениями на собственные значения. Возможность решения по частям позволяет резко уменьшить размерность матриц, представляющих альтернионы.

Представление альтернионов матрицами весьма удобно для машинной реализации расчета. Однако результат исключения неизвестных в системах квадратичных уравнений не зависит от матричного представления. Для получения характеристического уравнения важны не сами альтернионные матрицы, а их перестановочные свойства. Механизм действия альтернионов заключается в том, что они устраняют попарные произведения за счет присущей им антикоммутации. При квадрировании уравнения типа

(8.36)

Аналогично из первого уравнения системы (8.27), (8.28), выразим

и подставим во второе:

(8.38)

Ясно, что если в (8.27), (8.28) имеются альтернионы с одинаковыми индексами, то после квадрирования (8.38) не получится (8.37). Коммутация слагаемых в (8.21) приведет к тому, что останутся некоторые попарные произведения.

Система альтернионных уравнений (8.21),,8.22) после подстановки узловых соотношений в контурные примет вид

При возведении в квадрат (8.39) независимо от количества ветвей в этом контуре получится уравнение первого контура второго порядка. Второе уравнение запишем как

(8.40)


подстановкой (8.39) в (8.40), исчезают не все альтернионные слагаемые после квадрирования. При квадрировании этого уравнения исчезают альтернионы второго контура, т.е. альтернионы, принадлежащие альтернионному уравнению второго контура. В уравнении

При этом исчезают альтернионы первого контура. Продолжая этот процесс, можно убедиться, что каждое новое квадратичное уравнение приводит к дополнительному квадрированию. Число необходимых квад-рирований равно количеству контуров k. Порядок характеристического уравнения тогда равен 2k. Общее количество решений (вообще говоря, комплексных) 2k , что согласуется с теоремой Безу, согласно которой число корней системы нелинейных алгебраических уравнений равно произведению степеней уравнений. Это показывает, что каждое решение (8.18), (8.19) есть решение (8.21), (8.22), поскольку не появляются дополнительные решения, а каждое решение (8.21), (8.22) есть решение (8.18), (8.19).

Если некоторые va не удовлетворяют требованию действительности и положительности, то в соответствующих ветвях надо изменить направление, а в системе альтернионных уравнений

и внести это изменение в соответствующее характеристическое уравнение. Направления потоков также можно определять по методу Хасилева, имея в виду замечания, сделанные в подразд. 8.3.

Можно добиться нечетности hi, используя представление (7.15). Однако для расчета квадратичных сетей на ЭВМ более удобно представлять hi в виде (8.20), но ограничить область ее существования. Для этого необходимо предположить, что расходы всегда являются величинами неотрицательными ( va >= 0). Выражение для узлового закона Кирхгофа тогда имеет вид

щем соотношении алгебры альтернионов (8. 23) позволяет проводить спинорную линеаризацию уравнений с модульной зависимостью (7.15) на участках. Пусть, например, неизвестны направления на участках сети, представленной на рис. 24. Система альтернионных уравнений в этом случае имеет вид

(8.42)

Исключение неизвестных в уравнениях типа (8.42) совершается так же, как и прежде. Из-за нечетности (7,15) системы вида (8.42) имеют только один действительный положительный кортеж решений.

Алгебра альтернионов позволяет при квадрировании оставлять квадраты и устранять попарные произведения. Можно построить алгебру, обладающую противоположным действием, а именно оставлять попарные произведения и убирать квадраты. Обозначим элементы этой алгебры через Тогда определяющее соотношение алгебры, согласно (8.25) для билинейной нелинейности, будет иметь вид


Нильпотентные альтернионы (8.43) позволяют проводить спинорную линеаризацию сетевых квадратичных уравнений после подстановки линейных узловых соотношений в контурные, а также сетей, содержащих линейные участки.

Исследование алгебр общего вида (8.25) и нахождение их матричных представлений представляет довольно трудную задачу, хотя бы потому. что нет удовлетворительной теории многомерных матриц, необходимой для (8.25). Начальные представления о многомерных матрицах дают работы Н.П. Соколова*. Но свертка, согласно которой, например, произведение двух кубических матриц также будет кубической, не дает возможности использовать развитие теории многомерных матриц Соколова для (8.25). ляет обойтись альтернионами. Рассмотрим теперь кубическое уравнение как вырожденный случай уравнения четвертой степени, что объясняется теми же причинами, по которым мы рассматривали линейное уравнение как вырожденный случай квадратичного:

(8.50)

Первая спинорная линеаризация

с помощью свойства кронекеровского произведения матриц, как это мы уже делали в (8.33). Из (8.51) можно выразить x и подставить в следующее уравнение, если решается система кубических уравнений. В окончательных

чает введение в сеть воображаемых катушек. Только в отличие от кроновского случая они будут нелинейными. Так, для линейной сети альтернионная воображаемая катушка будет катушкой, уравнение состояния которой квадратично по току.

Приведем в заключение этого, раздела процедуру формирования систем сетевых альтернионных уравнений с помощью матрицы соединений С. Определим альтернионный корень из матрицы, опять используя понятие прямого произведения матрицы А m-го порядка и матрицы В n-го порядка. Прямое произведение A и В определяется как блочная матрица

Учитывая такое определение альтернионного корня из матрицы/найдем уравнение для соединенных катушек

 

8.3. НЕЛИНЕЙНАЯ ДИАКОПТИКА

Выполнение принципа суперпозиции для линейных систем является основанием для решения по частям соответствующих систем линейных уравнений. Методы исключения неизвестных Гаусса и Жордана легко обобщаются для блочных матриц. На языке линейного программирования расчет по частям был предложен Дж. Данцигом* и получил название метода декомпозиции; на языке сетей - Г. Кроном. Крон назвал исследование больших систем по частям диакоптикой.

Рассмотрим указанные методы на примере обращения матрицы. Пусть нужно решить систему линейных уравнений относительно х. Система имеет вид

Ах = В.

Решив систему (8.1), получим

(8.54)

разбивается на подсети, уравнения которых имеют вид

(8.56)

 

Матрица z4 имеет число строк и столбцов, равное числу разомкнутых контуров (разделенных катушек). Обратную к ней легче вычислить, поскольку она имеет порядок меньший, чем исходная матрица Z.

Использование методов декомпозиции позволяет обратить матрицу например (2000 Х 2000) за несколько секунд*. Понятно поэтому желание некоторых авторов** привлечь идеи декомпозиции для решения систем нелинейных алгебраических уравнений, описывающих нелинейные сети. СНАУ представляется в виде совокупности нелинейных алгебраических уравнений. Вместо решения СНАУ, имеющей большую размерность, решается ряд СНАУ меньших размерностей. Подсистемы решаются методом Ньютона. Такой подход "в лоб" наталкивается, однако, на ту трудность, что нарушается теорема Абеля, запрещающая получать решение в радикалах для уравнения на одну неизвестную степени n >= 5. Действительно, представим систему из 10 уравнений с квадратичной нелинейностью, например, в виде совокупности подсистем, каждая из которых состоит из двух уравнений. Такие подсистемы имеют решения в радикалах, поскольку по теореме Безу соответствующие корни определяются из уравнения 4-й степени. Таким образом, получается, что и общее решение можно получить в радикалах, а значит, уравнение 1024-й степени разрешимо "радикалах.

СНАУ нельзя решать по частям так, как это понимается для систем линейных алгебраических уравнений. Нелинейные сети невозможно рассчитывать по частям потому, что нельзя разбить систему на части так, чтобы эти части были изолированными. Для иллюстрации этого положения в курсах электротехники приводят пример квадратичной зави-

случае одновременного воздействия обеих составляющих и зависит от характера каждой из них. Для нелинейных сетей не удается предсказать результат воздействия суммы сигналов, если известны результаты воздействия каждой компоненты. Расчленяя систему на части, не удается добиться изолированности из-за слагаемого , в которое входят переменные двух подсистем. Наличие попарных произведений не допускает и расчленения матриц на подматрицы.

При спинорной линеаризации попарные произведения устраняются, причем так, что не происходит потери решений. Система альтернионных уравнений представляется в виде

(8.57)

где /\ - матрица альтернионных импедансов. Первый этап решения (8.57) состоит в обращении блочной матрицы /\. Ясно, эта подзадача может решаться по частям. Поскольку при этом подматрицы считаются "изолированными", то для представления альтернионов, являющихся компонентами матрицы /\, можно обойтись матрицами меньшего порядка. Например, если матрицу обращать по формулам (8.54), то для альтернионов

матрице /\ они были 32-го порядка. При обращении альтернионных матриц по частям порядки матриц, представляющих альтернионы, уменьшаются столь же быстро, как они возрастают при увеличении числа участков сети.

Спинорный метод исключения неизвестных в СНАУ позволяет переформулировать исходную задачу решения системы уравнений в терминах задачи на собственные значения. Метод решения по частям задач на собственные значения предложил Г. Крон**. Процесс решения по частям следующий. Пусть имеется уравнение на собственные значения

(8.58)

Вычисление собственных значений начинается с того, что сеть, соответствующая узловому уравнению (8.58), разделяется на подсистемы. Затем вычисляются собственные значения и собственные векторы любым известным способом. Уравнение состояния каждой подсистемы

Тогда искомый импеданс сети (скаляр) определяется по формуле

собственными значениями исходного уравнения. Матрица импедансов сети пересечений z4 имеет те же собственные значения, что и соединенная система. Решение по частям задачи на собственные значения имеет своим результатом формирование характеристического многочлена. Порядок этого многочлена совпадает с порядком многочлена, получаемого без расчленения. Именно поэтому при таком подходе не получается противоречия с теоремой Абеля.

Метод диакоптики позволяет укрупнять сеть, заменять большую сеть на сеть пересечений. Сеть пересечений - это эквивалент исходной полной системы, но описываемый значительно меньшим числом переменных. Можно сказать, что сеть пересечений - это сжатая исходная большая сеть. Возникает естественный вопрос: можно ли сжимать сеть, содержащую нелинейные элементы? Альтернионный анализ позволяет ответить на этот вопрос следующим образом. Пусть имеется подсеть с одним входом и одним выходом. Можно легко показать, что формула для последовательного соединения квадратичных сопротивлений имеет вид

Для параллельного соединения

Гораздо сложнее случай последовательно-параллельного соединения. Возьмем в качестве примера сеть, изображенную на рис. 27. Требуется найти эффективное сопротивление мостика, если известны сопротивления участков.

Система альтернионных уравнений имеет вид

(8.59)

Исключая неизвестные, получим

Подставляя эти выражения в третье уравнение (8_59), находим уравнения, определяющие эффективное сопротивление


После квадрирования получается уравнение 8-го порядка на

Если подсистема имеет входов-выходов больше двух, положение еще сложнее. Рассмотрим преобразование треугольника в эквивалентную 3-звезду (рис. 28). Условия эквивалентности имеют вид

(8.60)

Система альтернионных уравнений, соответствующих (8.60):

Верхний индекс обозначает принадлежность альтерниона к соответствующему контуру. Ранее эта принадлежность обозначалась знаком ~. Альтернионы разных контуров коммутируют между собой по способу составления, использующего свойство прямого произведения матриц (8.33).

Из третьего, четвертого и пятого уравнений системы (8.60) находим v2, v1:

Подставляем эти выражения в первое и второе уравнения:


(8.63)
(8.64)
(8.65)


или после сокращений

Это требование будет выполняться, если,

(8.66)

Условие (8.66) является ограничением, накладываемым на преобразования треугольника в эквивалентную 3-звезду для квадратичных сетейм Если бы такие преобразования можно было совершать всегда, то с помощью (8.62), (8.64) и (8.65) можно уменьшить число контуров в нелинейной сети, а значит, уменьшить порядок соответствующих характеристических уравнений. Но поскольку эквивалентирование возможно, вообще говоря, только приближенное, противоречия с теоремой Абеля не получается. Преобразование треугольника в 3-звезду возможно, если контуры в сети выбрать так, что сопротивления будут удовлетворять условию (8.66).

Сопротивления эквивалентной звезды определяются из формул (8.62), (8.64) и (8.65). Квадрирование (8.62), например, приводит к характе-

Аналогично можно получить формулы преобразования n-угольника в эквивалентную n-звезду. Преобразования эти будут ограничены соответст* вующими условиями на сопротивления.

Альтернионный метод анализа, обладающий гарантированной сходимостью, позволяет вести непрерывный процесс оптимизации сетей. Оптимизация по частям, как и в теории линейных сетей, предполагает многократный пересчет, при котором оптимизируемая величина монотонно возрастает (убывает). Ситуация здесь такая же, как при расчете сетей с регулируемыми параметрами. Основной метод расчета сетей с квадратичной нелинейностью с регулируемыми параметрами состоит в том, что она многократно пересчитывается как квадратичная сеть с сосредоточенными параметрами*. Ясно, что если нет гарантированной сходимости вычислительного процесса, то процесс такого многократного пересчета невозможен.

 

8.4. ИСКЛЮЧЕНИЕ НЕИЗВЕСТНЫХ В СИСТЕМАХ УРАВНЕНИЙ,
ОПИСЫВАЮЩИХ НЕСТАЦИОНАРНЫЕ РЕЖИМЫ ТРАНСПОРТНЫХ СЕТЕЙ

Необходимо определить наименьшее Г, при котором можно осуществить перевозку в нужном объеме. Режим снабжения не предполагается стационарным. Планируемые перевозки как бы "накладываются" на уже имеющиеся стационарные потоки, поэтому для реализации их выделяется в каждую единицу времени лишь ограниченное количество средств передви-

нарнои транспортной задачей.

Нестационарная транспортная задача в терминах грана моделируется неустановившимся движением жидкости в трубах. Основное уравнение неустановившегося движения жидкости на участке сети имеет вид***.

(8.67)

Трубопроводная система описывается уравнениями

(8.68)

где а - скорость звука. При решении системы (8.68) нелинейный член, определяющий силы трения, линеаризуется:

Способы определения коэффициентов разработаны И.М. Чарным****. Имеется аналогия с распространением электрического тока вдоль кабеля с распределенными параметрами: емкость С, самоиндукция L и омическое сопротивление R, описываемыми уравнениями

Для решения таких уравнений применяются конечно-разностные методы.

Оценка применения моделей с сосредоточенными параметрами для нестационарных квадратичных систем имеется в работе С.Г. Щербакова*. Нестационарные сети с сосредоточенными параметрами описываются системами обыкновенных дифференциальных уравнений, для распространения электрического тока - системами линейных уравнений, составляемыми по законам Кирхгофа:

(8.69)

Систему линейных обыкновенных дифференциальных уравнений с постоянными коэффициентами можно свести к одному уравнению. Сведение это осуществляется методом исключения, аналогичным тому, который имеется в теории линейных алгебраических уравнений.

Перепишем систему (8.69) в виде

(8.70)

где р = d/dt. Число уравнений системы (8.70) равно числу неизвестных. Применение к системе (8.70) метода исключения предполагает, что неизвестные функции ik имеют достаточное число производных, как и заданные функции еj(t). Рассмотрим матрицу

(8.71)

С учетом (8.72) равенство перепишется в виде

(8.73)

Полученная система (8.73) обладает тем свойством, что каждая .неизвестная функция is входит лишь в одно уравнение (8.73).

Система уравнений, описывающая квадратичную сеть с сосредоточенными параметрами, составляется по законам Кирхгофа с уравнением состояния (8.67). Применение спинорного корня \/~ к таким уравнениям позволяет построить метод исключения неизвестных в системах обыкновенных дифференциальных уравнений с квадратичной нелинейностью. Например, для сети, приведенной на рис. 24, с уравнением состояния каждой ветви (8.61) система уравнений имеет вид

Соответствующая альтернативная система

(8.74)

где

Система (8.74) легко переписывается в матричном виде

(8.75)

Исключение неизвестных для (8.75) совершается аналогично тому, как это делается для (8.70). Новым является то, что выражения, получаемые после исключения, необходимо квадрировать.



Приложение 1

СРАВНИТЕЛЬНАЯ ТРАНСПОРТНАЯ МОЩНОСТЬ
ТЕХНИЧЕСКИХ СРЕДСТВ
И ИХ СВЯЗЬ С АБСТРАКТНОЙ МОЩНОСТЬЮ

Вычисляемая транспортная мощность с учетом конкретного груза и скорости движения технических средств представляет собой конкретную мощность транспортной системы. Отнесение конкретной мощности на единицу мощности двигательной установки переводит ее в абстрактную мощность.

Рассмотренный нами пример движения грузового состава массой нетто в 1500 т со скоростью 50 км/ч дал нам конкретную мощность 1 875 000 тран/ч. Если движение состава осуществляется двигательной установкой с мощностью 4000 кВт, то можно найти количество транов в час на 1 кВт мощности двигателя. Для рассмотренного примера эта величина составляет около 470 тран/ (ч * кВт).

Сделаем оценку для других транспортных средств. Рассмотрим автомобиль ГАЗ-51. Его грузоподъемность 2,5 т, техническая скорость 75 км/ч. За один час автомобиль (при максимальном использовании двигателя) может обеспечить 187,5 т * км; его относительная скорость 75:10 = 7,5; транспортная мощность 187,5 * (7,5)2 = 10550 тран/ч; мощность двигателя равна 70 л.с. = 51,5 кВт. Разделив транспортную мощность на мощность двигателя, получим

10 550:51,5 " 205 тран/(ч * кВт).

Хотя мы и обнаруживаем, что на киловатт установленной мощности здесь получается "транспортная мощность" меньшая, чем на железной дороге, но она не столь резко отличается, как разница в "себестоимости".

Рассмотрим подобное соотношение для различных судов.

1. Корабль А. Грузоподъемность 5000 т. Техническая скорость 26 км/ч, мощность двигателя 2500 кВт.

Транспортная мощность (часовой объем)

5000*26= 130 000 т* км/ч;

квадрат относительной скорости

(26:10)2=6,76;

общая транспортная мощность

130 000 * 6,76 = 878 800 тран/ч.

Разделим транспортную мощность на мощность двигательной установки:

878 800 : 2500 = 352 тран/ (ч * кВт).

2. Корабль Б. Грузоподъемность 13 000 т; скорость 34 км/ч; мощность двигательной установки 9570 кВт.

Транспортная мощность (часовой объем)

13 000 *34 = 442 000 т* км/ч;

квадрат относительной скорости

(34:10)2=11,56;

общая транспортная мощность

442 000 *11,56 = 5 110 000 тран/ч.

Разделим транспортную мощность на мощность двигательной установки:

5 110 000 : 9570 =534 тран/ (ч *кВт).

Полученная величина превосходит удельную транспортную мощности железнодорожного транспорта (хотя она нами несколько занижена).

Рассмотрим самолет Ан-22.

Грузоподъемность 80 т; скорость 740 км/ч; мощность двигателей 45 000 кВт.

Часовой объем

80 *740 = 59200 т *км/ч;

квадрат относительной скорости

(740:10)2=5476;

общая транспортная мощность

59200*5476=325*106 тран/ч.

Разделим транспортную мощность на мощность двигательной установки:

325*106 :45*103 =7200 тран/ (ч *кВт).

Этот показатель свидетельствует о хорошей конструкции аппарата.

Приведенные примеры расчета удельной мощности двигателя на единицу транспортной мощности дают возможность увидеть и нечто отличное от указанной величины. Поменяв в знаменателе местами час и киловатт, обнаруживаем, что рассчитанные показатели есть не что иное, как расход энергии (в кВт *ч) на работу транспорта (в тран). Здесь для нас и открывается возможность измерять удельный расход энергии на выполнение той или иной услуги транспорта.

Близость расходных величин показывает, что для поддерживания транспортного потока заданной величины, который удовлетворяет нужды народы ного хозяйства, мы должны использовать мощность. Конечно, в данном случае мы говорим о расходе мощности только на передвижение технических средств. Другой, связанный поток мощности, идет на поддерживание технических средств в работоспособном состоянии.

Нормируя расход мощности на выполнение одной и той же работы, мы и приближаемся к выражению уровня производительности труда, которую дает выражение (2.17). Уровень производительности труда измеряется полезной мощностью, которая идет на удовлетворение потребностей народного хозяйства. Постоянный уровень скорости удовлетворения общественных потребностей при постоянной численности занятых в системе транспортировки грузов и дает нам выражение абстрактной мощности на одного занятого в транспорте.

Все показатели оказываются приведенными к одному выражению, которое и дает нам возможность планировать темп роста производительности труда в системе общественного производства, не используя стоимость. Заметим, что соизмеримость различных видов потребностей, как и возможностей, предполагает известную нам заранее физическую величину, а именно мощность. Размерность нужной нам физической величины мы нашли из выражения уровня производительности труда в системе общественного производства, как целого.

Отношение полезной мощности транспортной системы к численности всех занятых в системе транспортировки грузов дает нам выражение для относительной производительности труда в системе транспорта. Такая относительная производительность труда не обязательно равна уровню производительности труда во всей системе общественного производства в целом, а следовательно, мы исключаем локальный темп роста производительности труда как характеристику системы общественного производства. Здесь мы встречаемся с наиболее ярким примером диалектики - то, что является верным для целого (т.е. для общественного производства), может оказаться неверным для любой его части. Уровень производительности труда относится к понятиям, которые относятся к целому, что запрещает их применение к отдельной части. Например, иногда говорят о росте производительности труда автослесарей. Уровень производительности труда для них измеряют числом тонно-километров на одного рабочего. Нетрудно видеть, что этот показатель можно сделать "быстрорастущим": достаточно оставить одного автослесаря и все тонно-километры автопредприятия отнести на одного автослесаря. Дикость такой меры бросается в глаза каждому человеку, но... такой "показатель" существует и вычисляется.

В силу того, что важнейший показатель - темп роста производительности труда в системе общественного производства - кое-кто "конкретизировал" до "рабочего места", мы и встречаемся с парадоксальной ситуацией - отсутствием "сквозного критерия эффективности". На место производительности труда пришло эмпирическое выражение "выработка в рублях на одного занятого". Последнюю величину нельзя считать производительностью труда.

 


Приложение 2

СИСТЕМА СПУТНИК

При разработке системы СПУТНИК предполагалась возможность принадлежности исполнителей обшей программы работ к различным министерствам и ведомствам, т.е. возможность подчинения исполнителей работ как целевым руководителям, ответственным за достижение отдельных подцелей обшей программы работ, так и руководителям подразделений в соответствующих ведомствах, через которые идет финансирование тех или иных элементов работы.

Создание обшей программы работ, исполнители которых имеют различную ведомственную подчиненность, предполагало "прорастание" целевой структуры программы через подразделения различных ведомств. Организационная структура целевой программы порождается системой целей (или подцелей), где за достижение каждой цели отвечает целевой руководитель. На нижнем уровне управления находится целевой руководитель нижнего уровня, называемый ответственным исполнителем работ. Только ответственные исполнители работ представляют в службу сетевого планирования и управления списки работ и их изображение в виде сетевых моделей.

Сетевые модели очень больших планов, имеющие в своем составе сотни и тысячи работ, громоздки и не дают ясного представления о положении дела в разработке. Система СКАЛАР была получена из системы СПУТНИК как укрупненное изображение плана работ по программе. Более того, переход от системы СКАЛАР к системе-СПУТНИК осуществляется легче, чем освоение сразу такой сложной системы, как СПУТНИК.

Тем не менее только в рамках сетевых моделей планов достигается ясное понимание такого элемента плана, как "критический путь" - самая длинная последовательность работ, определяющая минимальное время достижения цели всей программы. Критический путь в символическом изображении плана работ в виде сетевой модели является аналогом основного звена, ухватившись за которое и удается держать в руках всю цепь событий, т.е. осуществлять квалифицированное управление программой. Подобно тому как нахождение основного звена цепи событий требует полноты анализа обстановки, так и для нахождения критического пути предъявляется требование полноты плана.

Вопрос о критическом пути является вопросом о полноте плана. План называется полным, когда в нем перечислены все работы, которые необходимы для достижения конечной цели программы. Пока планы работ содержат десятки и несколько сотен работ, возможна эмпирическая проверка полноты плана. Положение меняется, когда в плане содержатся тысячи и десятки тысяч работ. Для таких планов не существует другого способа для нахождения критического пути, как сетевое представление плана.

Система СПУТНИК представляет собой последовательность процедур - четких предписаний тех шагов, которые необходимы для получения плана, обеспечивающих полноту плана и возможность вычисления критического пути, т.е. управляет составлением плана работ для крупных целевых программ. Действительно, если крупная целевая программа включает в себя сотни тысяч работ, то сам процесс формирования такой программы требует наличия соответствующей системы управления.

Каждый документ, который имеет в заголовке слово "программа", должен содержать ответы на следующие два вопроса: является ли данный документ полным списком всех работ, необходимых для достижения конечной цели программы; известна ли последовательность работ, от которой зависит минимальное время на выполнение всей программы?

Таким образом, для формирования целевых программ необходима система управления, которая обеспечивает получение полного плана работ. Роль такой системы управления и играет система СПУТНИК. Трудность ее освоения становится меньше, если мы не забываем о необходимости получения полного плана и нахождения критического пути в полном плане работ по программе. При ознакомлении с процедурами системы СПУТНИК обратим внимание не только на положительную сторону каждой процедуры и каждого элемента процедуры, но и на отрицательную сторону -- укажем те "организационные сбои", которые будут наблюдаться при исключении или неправильном выполнении каждой процедуры.

ПРОЦЕДУРЫ В СИСТЕМЕ СПУТНИК

На рис. П. 1 приведена блок-схема системы СПУТНИК. Все процедуры этой системы разбиты на две группы: процедуры, используемые на стадии планирования, и процедуры, используемые на стадии управления программой.

Процедуры устроены по единой типовой схеме (рис. П. 2). Элементами процедуры являются: цель процедуры; ответственный исполнитель; документы на входе процедуры; состав процедуры, порядок выполнения процедуры; документы на выходе процедуры.

В рамках системы СПУТНИК принято 13 организационных процедур, из которых 9 выполняются на стадии планирования, а 4 - на стадии управления реализацией программы.

На стадии планирования формируются целевая программа, определяющая, как предполагается достичь цель, и целевая структура управления реализацией этой программы.

В рамках организационного механизма системы СПУТНИК управление представляет собой многократно повторяющийся циклический процесс, направленный на поддержание целевой структуры.

ПЛАНИРОВАНИЕ В СИСТЕМЕ СПУТНИК

Процедура 1 связана с получением руководителем подразделения задания на разработку целевой комплексной программы.

Целью процедуры является назначение целевого руководителя высшего уровня. Если функцию целевого руководства программой не принимает руководитель подразделения высшего уровня, процедура повторяется на следующих уровнях руководства до тех пор, пока задание дойдет до руководителя такого уровня, который не передает все задание на нижестоящие уровни. Он и оказывается целевым руководителем высшего уровня (ЦРо). Назначение ЦРо сопровождается созданием специальной службы - службы планирования на цель (СПЦ), руководитель которой является одновременно первым заместителем целевого руководителя высшего уровня. Не исключен и другой исход процедуры: руководитель не считает возможным выполнить данное задание и возвращает его заказчику, указывая мотив отказа.

Целью процедуры 2 является разбиение задания на подзадания и передача ответственности за их выполнение на подчиненных.

Рис. П.2. Форма представления процедуры

Первым процедуру 1 выполняет ЦР. В результате возникает следующий уровень целевых руководителей. Процедура повторяется на более низких уровнях столько раз, сколько необходимо до выдачи конкретных заданий ответственным исполнителям работ.

После выполнения процедуры 2 СПЦ получает следующие документы: дерево целей; дерево ответственных лиц; листы согласования по всем уровням разработки.

Разбиение задачи на части целевым руководителем любого уровня должно удовлетворять следующим требованиям: сумма составных частей задания после их выполнения должна образовать общее решение целевой задачи; количество частей, получившееся в результате одного членения, не должно превышать 3-5; при разбиении задачи за целевым руководителем лично не должно остаться ни одной части задания; поскольку разбиение задачи подобно разрезанию будущей системы на части, связи между которыми должны быть восстановлены при согласованиях, разрез должен пересекать минимум связей. Разорванные связи должны фиксироваться в листе согласования (ЛС; табл. П. 1).

В листе согласования указывается: результат работы, за которую несет ответственность данный целевой руководитель; кому выдается этот результат; какие исходные материалы необходимы для того, чтобы данная работа была начата; от кого необходимо получить эти исходные материалы. Формирование листов согласования идет методом последовательных приближений, начиная с целевого руководителя высшего уровня и кончая целевым руководителем низшего уровня - ответственным исполнителем работ, при этом листы согласования каждого последующего уровня как бы детализируют листы согласования предыдущего уровня.

При проведении процедуры 2 до 80% разорванных связей могут быть зарегистрированы до низшего уровня. Листы согласования, заполняемые на разных уровнях дерева целевых руководителей, обеспечивают в дальнейшем естественное течение процедуры 3.

В процедуре 3 имеются все компоненты процедуры 2, однако в ней формируется первый документ информационной системы СПУТНИК --запрос на сетевую документацию (ЗСД; табл. П. 2). Для ЦР, участвующего в выполнении процедуры 3, ее содержание мало чем отличается от процедуры 2, разница лишь в том, что разбиение задачи на подзадачи происходит на последнем уровне дерева ответственных лиц. В результате выполнения этой процедуры появляются ответственные исполнители работ - целевые руководители нижнего уровня. Они не проводят дальнейшего членения задания, а составляют список работ. Ответственным исполнителям работ выдается задание в форме ЗСД (выдает документ СПЦ)

Шифр организации
Шифр подразделения
Шифр ОИР
Тел.

Таблица П.1

Лист согласования

РЕЗУЛЬТАТЫ
№ п/п
принимаемые
№ п/п
выдаваемые
шифр поставщика краткое описание шифр получателя краткое описание

 

Шифр организации
Шифр подразделения
Шифр ОИР
Тел.

Таблица П.2

Запрос на сетевую документацию

 
РЕЗУЛЬТАТЫ
№ п/п
принимаемые
№ п/п
выдаваемые
шифр поставщика краткое описание шифр поставщика краткое описание

Качество выполнения процедуры 3 предопределяет действенность двух последующих процедур.

Процедура 4 выполняется ответственным исполнителем работ. Цель процедуры - составление исходных планов работ на элементарные цели, т.е. частных сетей. Прежде всего ответственный исполнитель работ оценивает, правильно ли сформулирована задача. Задача считается сформулированной правильно, если из названия темы вытекает список работ, необходимый для достижения конечного результата.

Начало работы ответственного исполнителя работ связано с заполнением СПЦ "Запроса на сетевую документацию", содержащего сведения о том: от кого и какие именно результаты должен получить данный ответственный исполнитель, кому и в каком виде ответственный исполнитель должен передать результаты своей работы. Получив этот документ, ответственный исполнитель работ должен отослать службе планов на цель два документа: сеть части темы (СЧТ); исходные данные по работам (ИДР; табл. П. 3).

Таблица П. 3

Шифр организации
Шифр подразделения
Шифр ОИР
Тел.

Исходные данные по работам

№ п/п
Шифр поставщика
(получателя)
Код следования
результата
Шифры событий
Краткое описание
работы
Оценка
длительности
начало конец

Должна быть проделана следующая работа: написать полный список работ, необходимых для получения результатов, выдаваемых на сторону, написать список связей между работами; изобразить свой план в виде сети; оценить продолжительность всех работ; дать ходы всем событиям сети. Частная сеть ответственного исполнителя работ в отличие от полной сети может иметь несколько начальных и конечных событий.

На стадии составления частных сетей целесообразно провести предварительное согласование по всем граничным событиям частной сети, т.е. по получаемым поставкам и выдаваемым результатам. (Оценка длительности работ ответственным исполнителем уже к этому моменту проведена.) Цель предварительного согласования - урегулировать все необходимые технические характеристики поставок и выдаваемых результатов непосредственно ответственными исполнителями, а также обсудить и установить сроки всех граничных событий.' Проведя первичное согласование, ответственный исполнитель заполняет и отправляет в СПЦ частные сети и ИДР.

В результате выполнения процедуры 4 ответственный исполнитель может составить заявки в службы обеспечения, так как после построения сетевой модели плана он уже ориентируется в том, что ему нужно для выполнения работы и в каком количестве.

Процедура 5. Цель процедуры - "сшивание" частных сетей в полную сетевую модель разработки. Процедура 5 выполняется службой планирования на цель.

Когда СПЦ соберет частные сети и исходные данные по работам от всех ответственных исполнителей, ее сотрудники начинают объединять разорванные частные сети сначала во фрагменты, полученные целевыми. руководителями одного уровня.

Если здесь не возникает никаких неувязок, то сеть укрупняется вплоть до получения полной сетевой модели разработки.

Если проведение процедуры 5 оказалось невозможным из-за неувязки некоторых элементарных сетей, возникает необходимость в процедуре 6.

Процедура 6 - это процедура согласования. Цель этой процедуры - устранить неувязки плана, возникающие при сшивании частных планов в полную сеть. Обычно согласование происходит между двумя ответственными исполнителями, но иногда оно выполняется на заседании группы анализа разработки или на заседании группы высшего руководства. Процедура согласования дает возможность разрешения конфликтных ситуаций на более низком уровне - уровне ответственных исполнителей. Каждый из ответственных исполнителей, участвующих в согласовании. должен иметь на руках два списка: список поставок, которые он должен передать другому ответственному исполнителю; список результатов, которые ответственный исполнитель хочет получить от другого исполнителя.

Ход процедуры можно разбить на два этапа: установление полного списка связей для согласования; согласование по отдельным позициям этого списка.

Согласование считается проведенным эффективно, если обе стороны договорились по всем позициям списка связей. При отсутствии согласования на уровне ответственных исполнителей оно может быть проведено на более высоком уровне целевого руководства.

Процедура 6 после успешного выполнения возвращает нас к процедуре 5, которая описана выше. Последовательное выполнение процедур 6 и 5 приводит к получению полного сетевого графика работ по цели, который не содержит забытых и лишних работ.

Процедура 7 осуществляется СПЦ и сводится к вычислению продолжительности всех путей полученной сети. По величине критического пути устанавливается ожидаемая продолжительность работ по цели. Устанавливается, от каких именно работ зависит общая продолжительность работ. Устанавливается продолжительность работ по подкритическим путям (т.е. по путям, которые близки к продолжительности критического пути). Результатом выполнения процедуры 7 является получение проекта плана-графика работ, поступающего на вход процедуры 8.

Процедура 8 - это процедура рассмотрения руководителем подразделения представленного проекта плана-графика. Полученный план-график (проект) может удовлетворять требованиям заказчика, а может и не удовлетворять. В соответствии с этим возможны следующие исходы этой процедуры.

1. Руководитель подразделения РПо производит сравнение расчетной продолжительности работ с директивным сроком по данной теме. Если полученная продолжительность соответствует директивному сроку, руководитель издает приказ о начале работ, фиксируя дату начала. Фиксация даты начала дает возможность СПЦ сформировать из проекта плана-графика календарный план-график работ.

2. Расчетная продолжительность работ превышает директивные сроки. Приказ о начале работ не может быть подписан. В этом случае вступает в действие процедура 9.

Процедура 9 представляет собой еще одно решение руководителя подразделения высшего уровня. Здесь должна быть установлена либо необходимость повторения процедур планирования и составления графика с целью сократить продолжительность работ, либо невозможность реализации задания при заданных технических характеристиках. Иногда эту процедуру называют процедурой оптимизации проекта плана-графика. Выполнение этой процедуры осуществляется руководителем с использованием рекомендаций СПЦ. Результатом данной процедуры может явиться решение либо о перераспределении ресурсов, либо об изменении технического решения. В этом случае осуществляется возврат к процедуре 2 - пересмотр всего плана решения проблемы с соответствующими изменениями по всем частям темы или к процедуре 1. которая может завершиться назначением другого целевого руководителя высшего уровня по данному тематическому заданию. Результатом процедуры 9 может быть также решение о возвращении задания заказчику на предмет изменения технических характеристик.

УПРАВЛЕНИЕ В СИСТЕМЕ СПУТНИК

Первый цикл управления запускается приказом о начале работ, фиксирующим дату начала разработки, что позволяет получить из сетевого графика календарный план-график.

Целью процедуры 21 (см. рис. П. 1) является преобразование сетевого графика в календарный и доведение соответствующих его частей до исполнителей. Ответственность за выполнение этой процедуры несет служба планирования на цель.

Можно выделить два этапа при реализации процедуры. На первом этапе СПЦ готовит два документа: состояние работ по цели (табл. П. 4) - для целевых руководителей и состояние работ по подразделению (табл. П. 5) -для руководителей подразделений.

Содержание этих документов составляют списки работ с малым резервом времени, которые фиксируют внимание руководителей на возможных будущих затруднениях, что позволяет своевременно принимать решения. Правило отбора подкритических путей (путей с малым резервом времени) устанавливается решением руководителя разработки, а резерв времени колеблется от 5 до 13% от срока выполнения всего задания.

Отсутствие в документах, передаваемых руководителям службой планирования на цель, работ, которые лежат за пределами подкритической зоны, не означает, что они выпали из-под контроля системы СПУТНИК. Они регулярно контролируются, но в поле зрения руководителей попадают только тогда, когда по ним наметится существенное отставание и они окажутся в подкритической зоне.

На втором этапе процедуры 21 формируется запрос данных о работах (ЗДР; табл. П. 6). В этом документе, отправляемом ответственным исполнителем работ, содержится список работ, по которым они должны отчитаться.

ЗДР высылается через неделю после рассылки документов СРЦ и СРП, раз в две недели. Благодаря временному разрыву руководители смогут обсудить с ответственными исполнителями все изменения плана и выдать соответствующие его изменения через запрос на изменение сети (ЗИС; табл. П. 7), формируемый в процедуре 24.

 

Таблица П. 4

Шифр организации
Шифр подразделения
Шифр ЦР
Тел.

Состояние работ по цели (СРЦ)

Из ЗДР
№ п/п
Шифр поставщика (получателя)
Код следования или результата
Шифр событий
Краткое описание работ
Оценка деятельности
Дата по графику
Резерв (прлный) окончания работы
Примечание
начало
конец
1
2
3
4
5
6
7
8
9
10
11
12

 

Таблица П. 5

Шифр организации
Шифр подразделения
Шифр РП
Тел.

Состояние работ по подраздлению (СРЦ)

Из ЗДР
№ п/п
Шифр поставщика (получателя)
Код следования или результата
Шифр событий
Краткое описание работ
Оценка деятельности
Дата по графику
Резерв (прлный) окончания работы
Примечание
начало
конец
1
2
3
4
5
6
7
8
9
10
11
12

 

Таблица П. 6

Шифр организации
Шифр подразделения
Шифр ОИР
Тел.

Запрос данных о работах

Из ЗДР
Завершение работы (дата по графику) Резерв (полный) окончания работы Код изме-
нений
Фактическая дата
Приме-
чание
№ п/п
Шифр поставщика (получателя)
Код следования результата
Шифр событий
Краткое описание работ
Оценка деятельности
начало
конец
начало
конец
1
2
3
4
5
6
7
8
9
10
11
12
13
14
15

 

Таблица П. 7

Шифр организации
Шифр подразделения
Шифр ОИР
Тел.

Запрос на изменение сети

Что было в ЗДР
Что желательно иметь
№ п/п
Шифр поставщика (получателя)
Код следования результата
Шифр событий
Краткое описание работ
Оценка деятельности
Дата по графику
Резерв (полный) окончания работы
начало
конец
1
2
3
4
5
6
7
8
9
10
11
12

 

Таблица П. 8

Шифр организации
Шифр подразделения
Шифр ОИР
Тел.

Изменение рабочей сети

Что было в ИДР
Код изме-
нения
Что должно быть в ИДР
Согласовано
Шифр поставщика (получателя)
Код следования результата
Шифр событий
Шифр поставщика (получателя)
Код следования результата
Шифр событий
Краткое описание работы
Оценка длитель-
ности
Шифр
Под-
пись
начало
конец
начало
конец
1
2
3
4
5
6
7
8
9
10
11
12
13
14
15

Процедура 21, запускающая процедуры 24 и 11, считается выполненной, если все участники разработки получили информацию о принятом календарном плане-графике.

Процедура 24 представляет собой согласованное решение целевых руководителей и руководителей подразделений, реализующее возможность сократить срок выполнения задания. Процедура может представлять собой решение группы анализа разработки того или иного уровня или согласованное решение руководителя подразделения с целевым руководителем. Содержанием процедуры является перераспределение ресурсов. Заканчивается она выдачей документа - запроса на изменение сети, который и является основанием для изменения рабочей сети (ИРС; табл. П. 8).

Решения доводятся до соответствующих ответственных исполнителей работы, являются основанием для изменения общего плана-графика.

Процедура 22, преследующая цель отразить фактическое состояние работ по программе, реализуется ответственными исполнителями после получения ими двух документов: запроса данных о работах и запроса на изменение сети. Цель процедуры - отразить реальное состояние разработки темы, т.е. соответствие хода разработки плану.

Процедура 22 - единственная контрольная операция, обеспечивающая наличие соответствия между календарным планом-графиком руководства и состоянием дел у всех ответственных исполнителей работ.

В запросе данных о работах ответственных исполнителей в графах, соответствующих датам начала и окончания работ, проставляют соответствующие даты. Если не происходит изменений плана, то отчетный документ, заполняемый раз в две недели, передается в СПЦ.

Если ответственный исполнитель получил запрос на изменение сети или произошли изменения в его внутреннем плане, он в графе "ход изменения" запроса данных о работе делает одну из следующих отметок:

1 - работа отменена (не нужна);
2 - новая работа (ее нужно включить);
3 - изменилось содержание работы;
4 - изменилась длительность работы;
5 - изменилось начальное событие;
6 - изменилось конечное событие;
7 - принята поставка результата со стороны.

Эти семь кодовых обозначений описывают все возможные изменения плана-графика. Такие обозначения используются для заполнения другого документа, формируемого ответственным исполнителем, - изменение рабочей сети, где, кроме того, содержательно описываются изменения.

Представление ответственным исполнителем запроса данных о работах и изменения рабочей сети - фундамент всей системы управления. Система не может работать, если кто-то из ответственных исполнителей работ не выдал своевременно соответствующих отчетных документов.

Передача документов ЗДР и ИРС в службу планирования на цель делает возможным запуск следующей процедуры - процедуры 23.

Целью процедуры 23 является проверка полноты и допустимости произведенных изменений и подготовки полученной информации для расчета сети.

В результате выполнения этой технической процедуры службой планирования на цель на утверждение представляется новый календарный план-график, учитывающий изменения, которые произошли за истекшие две недели.

После процедуры 23 снова вводится в действие процедура 21, и цикл управления повторяется столько раз, сколько необходимо для завершения всех работ по теме.

 


ПриложениеЗ

ТЕХНИЧЕСКИЕ СРЕДСТВА ОТОБРАЖЕНИЯ ИНФОРМАЦИИ В СИСТЕМЕ СКАЛАР-2

Средства отображения - это технические средства, предназначенные для представления информации.

Технические средства отображения информации включают в себя карту хода разработки и перфорированный щит.

Карта хода разработки представляет собой обозреваемую структуру из соподчиненных раскрашенных контрольных точек. На карте хода разработки совмещены шесть структур.

1. Распределение персональной ответственности за выполнение темы (кто) - красный сектор.
2. Конструктивная структура комплекса (что) - зеленый сектор.
3. Структура сроков выполнения темы (когда) - синий сектор.
4. Структура кооперации по выполнению темы (где) - коричневый сектор.
5. Структура сметы на выполнение темы (сколько) - желтый сектор.
6. Структура плана выполнения темы (как) - черный сектор.

Карта хода разработки по теме отображает состояние планирования и выполнения темы в целом. Дефекты плана изображаются на карте незакрашенными секторами соответствующих контрольных точек. Если все позиции всех контрольных точек в плане-таблице контрольных точек заполнены, а на карте хода разработки закрашены, то считается, что стадия планирования закончена. Полностью заполненная план-таблица контрольных точек представляет собой полный план на цель, т.е. полный план реализации темы. Пустые графы плана-таблицы контрольных точек свидетельствуют о наличие "дефектов" плана.

Сведения о выполненных заданиях и предложения об изменении плана содержатся в отчете о ходе работ (табл. П9). Отчет о ходе работ представляет собой сводный документ, регламентирующий изменение отображения на карте хода разработки и в плане-таблице контрольных точек. Отчет о ходе работ содержит сведения о том, сколько и каких решений всех шести типов должно быть принято руководителем. Ход реализации отражается на карте хода разработки появлением контрольных точек, закрашенных черным цветом. Точки, требующие решения, отмечаются флажком, цвет которого указывает тип необходимого решения.

Таблица П.9

Отчет о ходе работы

По теме
Шифр организации
Целевой руководитель

Дата засечки

Директивный Ожидаемый
Срок окончания
Объем финансирования

 

 

Должно быть Фактически
Требует решений
сколько № контрольных
карточек
1 Кто
2 Что
3 Когда
4 Где
5 Сколько
6 Как
РЕАЛИЗАЦИЯ

 

 

 

 

 

Подпись

 

График представления данных руководству отображается на перфорированном щите, где каждой теме соответствует лента, которая пересекается белыми сигналами "дат засечки". Длина ленты соответствует директивной продолжительности темы.

Перфорированный щит позволяет обозревать одновременно до 30 тем и ориентирует на регулярность контроля. Перфорированный щит используется как настенный календарь и наглядно показывает: общее число контролируемых заданий и их кодовое название (по числу лент и надписи слева); директивные сроки начала и окончания каждого задания (длиной ленты по календарю); сроки представления "отчета о ходе разработок" (белые сигналы "дат засечки") ответственного за данное задание (по цвету ленты).

Каждой ленте на перфорированном щите в службе планирования на цель соответствуют план-таблица контрольных точек и карта хода разработки.

Технические средства системы СКАЛАР-2 ориентированы на связь с электронно-вычислительной машиной посредством устройств ввода-вывода: с цветным экраном для представления четырех уровней карты хода разработки по кодовому номеру контрольной точки, проектируемой в центр экрана; с черно-белым экраном для представления строк плана-таблицы контрольных точек по кодовым номерам контрольных точек (до 20 строк одновременно)".

Исходная информация по любому заданию хранится в долговременной памяти ЭВМ в форме плана-таблицы контрольных точек и выдается по запросу на телевизионный экран.